1과목: 전자회로
1. 트랜지스터를 스위치 회로로 사용할 때 OFF스위치에 적합한 영역은?
2. 다음 PCM 블록도에서 빈칸 A에 들어가는 회로는?
3. 회로에서 Vi = 1V일 때 전류 IL은 몇 mA 인가?
4. 다음 회로의 입력 V1 = 1V와 V2 = 2V에 대한 출력 Vout는 몇 V 인가? (단, R1=R2=1kΩ, R3=R4=5kΩ 이다.)
5. 공진회로에서 공진주파수(f0)와 대역폭(BW) 및 선택도(Q)의 관계식으로 옳은 것은?
6. 다음 회로에서 VB가 2V 이고, V1이 진폭 4V의 정현파일 때, 출력 V2의 파형의 설명으로 가장 적절한 것은?
7. 이미터 폴로어 회로를 2단 구성하여 만든 달링톤 회로의 특징으로 틀린 것은?
8. 다음 중 FET의 특징에 대한 설명 중 틀린 것은?
9. 다음 중 전압 제어 전압 전원(Voltage controlled voltage source) 귀한 구성의 특징으로 틀린 것은?
10. Si 다이오드에 순방향전류를 흐르게 하려면 약 몇 V 이상 전압을 인가해야 하는가?
11. 회로(a)와 입ㆍ출력 전압특성(b)이 다음과 같을 때, 포화영역에서 콜렉터 전류 Ic는 몇 mA 인가? (단, RC = 1 Kohm이다.)
12. 초크 입력형과 비교한 콘덴서 입력형 회로의 특징이 아닌 것은?
13. 다음 정류회로의 파형에 대한 설명 중 옳은 것은?
15. 변압기를 사용하지 않는 전력 증폭회로에서 push-pull 회로의 조건으로 거리가 먼 것은?
16. 펄스 변조방식에 관한 설명 중 틀린 것은?
17. 부귀환 증폭기의 전압이득이
이고, 귀환을 걸지 않을 때 0.2V의 입력으로 출력 10V를 얻었다. 부귀환 증폭기의 귀한율 β의 값은?
18. π형 필터에서 리플 함유율을 작게 하는 방법으로 틀린 것은?
19. 원자핵 주위의 궤도에 있는 전자 중 에너지에 의해 최외각에 있는 가전자를 잃는 과정은?
20. 컬렉터 특성 곡선 상에 그려지는 이상적인 직류 부하선의 설명으로 옳은 것은?
2과목: 전기자기학 및 회로이론
21. 그림과 같이 유전율이 ε(F/m)인 유전체를 넣은 무한장 동축 원통 도체에서 내부 원동도체(A)에 +λ(C/m), 외부 원동 도체(B)에 -λ(C/m)의 전하를 주었을 때 중심축에서 r(m)(a≤r≤b) 떨어진 P점에서의 전속밀도(C/m2)는?




"이다.22. 공기 중에 무한 평면 도체로부터 거리 d(m)인 곳에 점전하 Q(C)가 있을 때, Q와 무한 평면도체 간에 작용하는 힘은 몇 N 인가?




"이다. 이유는 쿨롱 법칙에 따라 전하 Q와 무한 평면도체 간에 작용하는 힘은 다음과 같이 계산할 수 있다.23. 맥스웰(Maxwell)의 전자방정식 중 일반적인 전자계에서 성립하지 않는 식은? (단, D는 전속밀도, B는 자속밀도, E는 전계의 세기, H는 자계의 세기, ρ는 전하밀도, Jc는 전도전류밀도이다.)


" 이다. 이는 안편하게 쓰면 "rot E = - ∂B/∂t"로 쓸 수 있다. 이 식은 전자기파의 전파방향과 자기장의 회전방향이 일치하지 않는 경우에는 성립하지 않는다. 즉, 전자기파가 직선으로 퍼지는 경우에는 이 식이 성립하지 않는다.24. 내구의 반지름이 3cm 이고, 외구의 반지름이 5cm 인 동심 구도체 콘덴서의 외구를 접지하고 내구에 V=1500V의 전위를 가했을 때 내구에 충전되는 전하량은 약 몇 C 인가? (단, 콘덴서 내부는 공기로 채워져 있다.)
25. 그림과 같은 길이가 l, 단면적이 S, 저항률이 ρ인 도체 내의 정상 전류 I가 흐르고 있을 때 옴의 법칙에 의한 도체 양끝 간의 전위차 V는?
26. 진공 중에서 20 nC/m2의 전하밀도를 가진 무한 평면 도체 판이 z=10m에서 x-y 평면과 나란하게 위치해 있을 때 원점에서의 전계의 세기 E(V/m)는? (단, az는 단위벡터이다.)
27. 전자유도에 의해서 회로에 발생하는 기전력에 관한 법칙은?
28. 코일 속을 쇄교하는 자속의 변화에 의해 유도기전력의 크기가 E1만큼 유기되고 있다. 코일의 면적을 2배, 자속밀도의 주파수를 2배로 각각 증가시켰을 때 유도 기전력의 크기가 E2만큼 유기되었다. 유도 기전력의 크기 E1과 E2의 관계는?


29. 도체 표면으로 갈수록 전류밀도가 커지고 중심으로 갈수록 전류밀도가 작아지는 현상을 무엇이라 하는가?
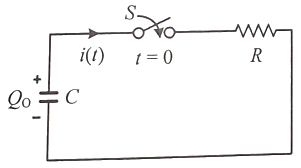
30. 진공 중에 10-10C 의 점전하가 있을 때 점전하로부터 2m 떨어진 점에서의 전계의 세기는 몇 V/m 인가?
31. 다음 회로에서 스위치(S)를 닫았을 때, t초 후에 대한 설명으로 틀린 것은? (단, Qo는 C에 충전되어 있던 전하량이다.)
32. 4단자 회로망의 4단자 정수 중 출력 단락 시 역방향 임피던스를 나타내는 것은?
33. 회로의 전압 및 전류가 V = 10∠60° (V), I = 5∠30° (A) 일 때, 이 회로의 임피던스 Z(Ω)는?
34. 어떤 회로에 가한 전압이 E(V)일 때 흐르는 전류가 I(A)이고 전압, 전류간의 위상차가 π/6 일 때, 다음 중 틀리게 표시된 것은? (단, 전압과 전류는 실효값이다.)



"이 틀리게 표시된 것이다. 무효전력은 전압과 전류간의 위상차로 인해 발생하는 전력으로, "무효전력 = EI*sin(θ)"로 계산된다. 따라서, "무효전력 :
"에서 sin(π/6)이 잘못 표시되어 있다. 실제로는 sin(π/6) = 0.5이므로, "무효전력 :
= EI*0.5"가 되어야 한다.35. 구동점 임피던스 함수에 있어서 극점에 대한 설명으로 틀린 것은?
36. 다음의 이상 변압기에서 V1=100V, N1\200 일 때, V2=12V가 되도록 하는 2차 코일의 수 N2는?
37. 테브난의 정리와 쌍대의 관계에 있는 정리는?
38. 다음 회로를 노튼의 동기회로로 변환할 때, 전류원의 크기와 1Ω에 걸리는 전압은?
39. RLC 직렬회로에서 반전력 주파수 f1, f2가 각각 770 kHz, 810 kHz일 때, 이 공진 회로의 선택도 Q는?
40. Ae-at의 라플라스 변환은?




3과목: 전자계산기일반
41. 다음 그림의 연산 결과는?
42. 전가산기에서 입력 A = 1, B = 1. Cin = 0 일 때, 출력 S(sum)와 Cout(carry out)의 값으로 옳은 것은?
43. 인터럽트를 거는 장치가 자신의 인터럽트 벡터를 데이터 버스에 실어 보냄으로써 CPU가 장치를 알아낼 수 있도록 하는 방식을 무엇이라고 하는 가?
44. 인출 사이클(Fetch Cycle)에서 가장 먼저 이루어지는 마이크로 오퍼레이션은?
45. 10의 보수를 이용하여 72532(M)-3250(N)을 계산하려고 한다. N에 대한 10의 보수는?
46. address line이 16개인 CPU의 직접액세스가 가능한 메모리 공간은 몇 KByte 인가?
47. SRAM에 비해 DRAM의 특징이 아닌 것은?
48. 개인용 컴퓨터(PC)를 구성 및 운용하는데 반드시 필요한 장치가 아닌 것은?
49. 다음 덧셈 명령 가운데 2 주소(address) 명령 형식에 해당하는 것은?
50. 입출력 동작이 시작되어 끝날 때까지 하나의 입출력 장치가 전용으로 쓸 수 있는 채널로서 고속장치에 주로 쓰이는 채널은?
51. C언어에서 사용되는 예약어가 아닌 것은?
52. 마이크로컴퓨터와 마이크로프로세서에 관한 설명 중 틀린 것은?
53. D플립플롭 3개를 이용한 frequency divider의 출력 주파수(fout)와 입력주파수(fin)의 관계는?
54. 어느 컴퓨터의 기억 용량이 1Mbyte이다. 8 bit 단위로 데이터를 저장할 때 필요한 주소 선의 수는?
55. 다음 중 폰 노이만(Von Neumann)형 컴퓨터의 특성이 아닌 것은?
56. 반가산기에서 X = 0, Y = 1을 입력할 때, 출력 올림수(C)와 합(S)은?
57. 다음 중 출력 장치는?
58. 프로그램의 서브루틴 호출과 복귀를 처리할 때 이용되는 것은?
59. 시프트 레지스터(shift register)에 있는 임의의 2진수를 4번 왼쪽으로 자리이동 (shift-left) 하였다. 이 때 결과로 옳은 것은? (단, 새로운 비트는 0 이다.)
60. 10진수 4를 2421 코드로 표현하면?
4과목: 전자계측
61. 증폭기에서 전력이득을 dB로 표현할 때, 식으로 옳은 것은? (단, P1은 입력 전력, P2는 출력 전력이다.)




"이다.
"은 출력 전력이 입력 전력의 10배가 되는 경우이므로, 10dB가 된다.62. 플레밍의 왼손법칙을 이용하여 만든 계기는?
63. 모니터 상에 나타난 변조파형의 최소치 B가 2mm 일 때, 변조도는 90% 이다. 이 때 최대치 A는 몇 mm 인가?
64. 다음 중에서 회로의 전류 측정방법으로 틀린 것은?
65. 다음 회로를 3전압계법으로 부하(RL)의 전력을 측정한 식은?




" 이다.
" : 전압분배 법칙에 따라 RL에 걸리는 전압을 측정한 공식이다.
" : R1에 걸리는 전압을 측정한 공식이다.
" : R2에 걸리는 전압을 측정한 공식이다.
" : 전류계법에서는 부하 저항(RL)을 흐르는 전류(I)를 측정하여 전력(P)을 계산한다. 이 문제에서는 전압계법을 사용하므로 해당 공식은 사용할 수 없다.66. 최대 눈금 50mV, 내부저항 10 Ω의 직류전압계에 590Ω의 배율기를 사용하여 측정할 때 최대 눈금은 몇 V가 되는가?
67. 내부 저항이 무한대인 전압계로 단자 A-B간의 전압을 측정하면 몇 V 인가?
68. 고주파 측정에 가장 적절한 것은?
69. 폭이 10 µs, 주파수가 500 Hz인 Pulse의 전력을 열량계로 측정하여 5W를 얻었다. 이 Pulse의 최대 전력은?
70. 다음 중 상호 인덕턴스를 비교하는 방법으로 가장 적절한 측정법은?
71. 어떤 전파를 레헤르선으로 측정하니 인접한 전압이 최대로 되는 점 사이의 거리가 1.5m 이었다. 이때 주파수는 몇 MHz 인가?
72. 다음 콜라우시 브리지(Kohalraush Bridge)에서 E1과 E2 사이의 저항을 R1(Ω), E2와 E3 사이가 R2(Ω), E3와 E1 사이가 R3(Ω) 이라면 E1은? (단, E1은 피 측정 접지저항, E2, E3는 보조 접지이다.)




" 이다.73. 캠벌법은 주로 무엇을 측정하는가?
74. 다음 중 소인 발진기(sweep oscillator)의 용도로 틀린 것은?
75. 최대 측정값이 20V 이고 내부저항이 5Ω인 전압계에 3mA 전류가 흐른다면 표시전압은?
76. 오실로스코프의 내부 구성도에서 ㉠에 알맞은 것은?
77. 회로 내에서의 두 점에서 신호의 진폭과 위상차를 측정하는 것으로 증폭기의 이득과 위상천이, 4단자망 파라미터 등의 측정에 사용되는 계기는?
78. 다음 중에서 인덕턴스의 측정에 사용되는 브리지의 종류가 아닌 것은?
79. 주파수가 같은 두 입력에 대한 리사쥬 도형을 관찰할 결과 원이 나타난 경우 위상차는 얼마인가?
80. 다음 중 직류 검류계가 아닌 것은?
