1과목: 디지털 전자회로
1. 60[Hz] 정현파 신호가 전파정류기에 입력될 경우 출력신호의 주파수는?
2. 다음 중 스위칭 정전압 회로에 대한 설명으로 틀린것은?
3. 베이스 접지 증폭회로에서 차단주파수가 50[MHz]인 트랜지스터를 이미터 접지로 했을 때의 차단주파수는 얼마인가? (단, β=99라 한다.)
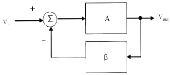
4. 다음과 같은 궤환 증폭회로(부궤환)의 궤환 증폭도(Af)는?
5. 어떤 차동증폭기의 차동이득이 1,000이고 동상이득이 0.1일 때, 이 증폭기의 동상신호제거비(CMRR) 값은?
6. 다음 회로의 종류는?
7. 증폭기와 정궤환 회로를 이용한 발진회로에서 증폭기의 이득을 A, 궤환율을 β라고 할 때, βA>1이면 출력되는 파형은 어떤 현상이 발생하는가?
8. 다음 중 온도 특성이 좋고, 전원이나 부하의 변동에 대하여 비교적 안정도가 좋기 때문에 안정한 주파수의 발생원으로 많이 쓰이는 발진회로는?
9. FM 변조에서 최대 주파수 편이가 80[kHz]일 때 주파수 변조파의 대역폭은 약 얼마인가?
10. FM 검파 방식 중 주파수 변화에 의한 전압 제어 발진기의 제어 신호를 이용하여 복조하는 방식은?
11. 다음 중 주파수 변조에 대한 설명으로 틀린것은?
12. 다음 중 아날로그 신호를 디지털 신호로 변환할 때 양자화 잡음의 경감 대책이 아닌 것은?
13. 다음 중 구형파를 발생시키는 발진기는?
14. 다음 회로에서 Vi > VB일 때, 회로의 출력 파형은 어느 것인가? (단, 다이오드의 VT 값은 무시한다.)




15. 다음 회로에서 Vcc=5[V]일 때 출력 전압은? (단, A=5[V], B=0[V], 다이오드의 VT=0[V]이다.)
16. 다음 그림의 논리 회로에 대한 논리식은?




17. 그림의 회로에서 A=B=0이면 X1과 X2의 값은 각각 얼마인가?
18. 플립플롭 6개로 구성된 계수기가 가질 수 있는 최대 2진 상태 수는?
19. 다음 중 전가산기(Full Adder)를 정확히 설명한 것은?
20. 다음 중 특정 비트의 값을 무조건 0으로 바꾸는 연산은?
2과목: 방송통신 기기
21. 다음 중 방송에 사용될 영상소재를 컴퓨터 영상장치에 의하여 입력받아 스토리지(Storage)에 저장, 인코딩, 방송소재 검색, 미디어관리, 캡처 등의 기능을 수행하는 것은?
22. 임피던스가 25[Ω]인 반파장 안테나와 특성임피던스가 100[Ω]인 선로를 정합하기 위한 임피던스 값은?
23. 다음 스튜디오 설비 중 임계치 이하의 레벨은 통과시키지 않는 것은?
24. 다음 중 야외 음악회와 같이 열린공간에서의 야간 중계시 최상의 영상 제작을 위한 유의사항으로 틀린 것은?
25. 우리나라에서 시행하는 디지털멀티미디어방송인 DMB(Digital Multimedia Broadcasting)의 사용 주파수 대역은?
26. 다음 중 음향조정 설비(Audio Console)의 구성요소와 가장 거리가 먼 것은?
27. 다음 중 디지털 영상신호의 압축방법과 가장 거리가 먼 것은?
28. 다음 중 압축, 복원 표준화 규격이 맞지 않는 것은?
29. 다음 보기 중에서 우리나라 디지털 TV 방송 표준의 규격으로 옳은 것은?
30. 다음 중 위성방송의 특성에 대한 설명으로 옳지 않은 것은?
31. 위성통신에서 사용되는 다중 접속 방식 중 지구국이 증가해도 회선 효율이 양호하고 통화회선마다 고유코드를 할당하여 전송함으로써 지구국 상호간에 혼신 없이 통신이 가능한 방식은?
32. 유선방송(CATV)의 전송분배계에서 사용되는 수동기기(passive element)가 아닌 것은?
33. CATV 시스템에서 분기 단자에 신호를 가했을 때 입력레벨과 간선의 출력단자에서 나오는 출력레벨과의 차에 의해 발생하는 손실은?
34. CATV 전송로에 증폭 기능이 없는 4분배기를 연결하였을 때, 입력에 비해 출력 손실값은 몇 [dB] 감소하는가? (단, 단자 손실값은 제외한다.)
35. IPTV에 대한 설명 중 내용이 바르지 못한 것은?
36. 다음 중 지상파 DMB에 관련된 설명에 해당되는 것은?
37. 다음 중 휘도신호와 색신호를 분리시켜 영상의 화질을 향상시키는데 사용되는 필터는?
38. 다음 중 아날로그 영상 신호의 측정 항목에 따른 증상으로 옳은 것은?
39. 외부 동기를 전혀 걸 수 없는 중계차, 위성, 가정용 아날로그 VTR 등에서 전송되는 영상신호를 스튜디오의 동기 신호 기준에 맞도록 강제적으로 일치시키는 장치를 무엇이라고 하는가?
40. Color의 위상각을 교정 또는 측정하는데 사용하는 계측기는?
3과목: 방송미디어 공학
41. 다음 중 디지털 변조방식과 가장 거리가 먼것은?
42. 뉴미디어가 보급되었을 때 이를 이용할 수 있는 계층과 그렇지 못한 계층 간의 간격이 커짐을 지적한 가설은?
43. 다음 중 케이블 텔레비전의 특징으로 알맞은 것은?
44. 믹싱에서 이펙트가 많이 사용되는데 이펙트를 음의 요소로 분류할 때 속하지 않는 것은?
45. 잔향시간의 설명 중에서 틀린 것은?
46. ATSC TV방식에서 사용되는 변조방식과 1채널당의 대역폭을 옳게 나열한 것은?
47. 컬러TV 방송에서 색차신호 R-Y, B-Y, G-Y 3개를 보내지 않고 R-Y, B-Y 2개의 색차신호만 보내는 이유는 무엇인가?
48. 조명으로 다양한 색상을 표현하기 위해 사용되는 컬러 필터의 종류 중에서 다른 보기의 필터들 보다 상대적으로 습기에 취약하고 찢어지기 쉬우나 색상이 다양하고 값이 저렴하여 많이 이용되었던 것은?
49. 다음 중 적절한 노출을 결정하기 위해 흑백에서의 연속적인 밝기 톤을 10단계의 표본으로 만들어 놓은 것을 지칭하는 용어는?
50. 다음의 오디오 효과기의 기능 중에서 주파수 영역을 변화시키는 것은 무엇인가?
51. 어떤 음을 듣고 있을 때 진폭이 큰 음이 가해지면 원래의 음이 들리지 않는 것을 무엇이라고 하는가?
52. 방송의 디지털화로 인한 현상과 가장 거리가 먼 것은 무엇인가?
53. 다음 중 마이크에서 발생하는 험(Hum)을 방지하기 위한 방법이 아닌 것은?
54. 다음의 문자열을 무손실 압축했을 경우 가능한 압축률은 얼마인가?
55. 전화망을 이용하여 데이터베이스(DB)를 갖춘 센터에 이용자가 희망하는 정보화면을 요구하면 문자나 도형정보가 TV화면에 나타나는 시스템은?
56. 다음 중 디지털TV방송 서비스의 데이터방송표준이 바르게 짝지어진 것은?
57. 아날로그TV의 문자다중방송(Teletext)에 대한 설명으로 적합하지 않은 것은?
58. 다음 중 음향 압축 파일의 종류에 속하지 않는 것은?
59. 주파수가 다른 복수의 대역신호로 분할하여 대역 신호마다 신호의 특성과 중요도에 따라서 부호화 방식이나 비트수 할당 등을 달리하여 부호화 하는 방식은 무엇인가?
60. MPEG 영상 데이터의 계층을 낮은 층부터 올바르게 연결한 것은?
4과목: 방송통신 시스템
61. 다음 중 통신시스템의 구성요소로 옳지 않은 것은?
62. 다음 문장과 같은 조건의 반송파 주파수는?
63. 다음 중 주파수 변조에서 최대주파수편이가 75[kHz]이고 변조신호의 주파수가 15[kHz]일 경우에 FM 주파수의 대역폭으로 옳은 것은?
64. 다음 중 단파방송에 관한 설명으로 틀린 것은?
65. AM 슈퍼헤테로다인 수신기의 구성요소에 대한 설명으로 틀린 것은?
66. 다음 중 AM 표준방송에 대한 설명으로 틀린것은?
67. 다음 중 지상파 디지털방송(DTV) 시스템의 중계기 구성요소로서 변조기의 변조된 IF 신호를 중계기의 채널 주파수로 변환하여 파워앰프의 입력부까지 원하는 신호를 전송해주는 부분을 무엇이라 하는가?
68. 디지털 HDTV 방송시스템의 채널부호화 및 변조를 수행하는 것은?
69. 다음 중 지상파 디지털 방식의 변조방식인 OFDM에 대한 설명으로 옳지 않은 것은?
70. CATV 동축케이블 내의 전자파 속도는? (단, εr=2.3(비투자율), μr=1(비유전율), ε0≒8.855×10-12[F/m], μ0=4π×10-7[H/m])
71. 텔레비전 송신설비 중 VHF 송신 안테나의 종류로 슬롯 안테나(Slot Antenna)계에 해당되는 것은?
72. 다음은 중계유선방송에서 사용 되고있는 용어를 설명한 것으로틀린 것은?
73. 다음은 서비스 지역에 따른 위성의 분류를 나타낸 것이다. 국제위성에 해당되지 않는 것은?
74. 다음은 위성궤도의 종류별 위성고도를 나타낸 것이다. 틀린 것은?
75. TV 방송은 방송기술 발전과 방송환경 변화 및 방송품질 향상에 따라 다양한 형태로 변화하여 왔다. 다음 중 TV 방송의 종류가 아닌 것은?
76. 지상파 DMB에서 사용하는 QPSK 변조방식은 하나의 부호에 몇 개의 비트가 할당되는가?
77. 지상파 DMB방송의 오디오신호 부호화에 대한 설명 중 옳은 것은?
78. 다음 중 송신소 시스템 설계식 고려해야 할 기본조건으로 거리가 먼 것은?
79. 다음 중 방송 제작장비에 대한 특성을 측정하고자 하는 경우 측정항목이 아닌 것은?
80. 오디오신호를 장거리 전송하는 경우, 외부 노이즈에 의한 신호훼손을 방지하기 위해 사용하는 평형신호 회선(Balanced Cable) 구성과 직접적인 관련성이 있는 것은?
5과목: 전자계산기 일반 및 방송설비기준
81. 다음 중 CPU의 개입 없이 메모리와 주변장치 간에 데이터를 전송할 수 있는 것은?
82. 다음 중 플립플롭(Flip-Flop) 회로를 사용하여 만들어진 메모리는?
83. 10진수 -593을 10의 보수와 2의 보수로 옳게 표현한 것은? (단, 10의 보수는 5자리수, 양부호는 0, 음부호는 9로 표현하고, 2의 보수는 12비트, 양부호는 0, 음부호는 1로 표현한다.)
84. 다음 중 제일 먼저 삽입된 데이터가 제일 먼저 출력되는 파일구조는?
85. 메모리관리에서 빈 공간을 관리하는 Free 리스트를 끝까지 탐색하여 요구되는 크기보다 더 크되, 그 차이가 제일 작은 노드를 찾아 할당해주는 방법은?
86. 다음 중 분산 처리 시스템에 대한 설명으로 틀린것은?
87. 다음 중 기계어로 번역된 프로그램은?
88. 다음 중 오퍼레이팅 시스템에서 제어 프로그램에 속하는 것은?
89. 다음 중 레지스터에 대한 설명으로 틀린 것은?
90. 다음 설명으로 옳은 주소 지정방식은?
91. 유선방송국에서 텔레비전 방송신호를 수신하기 위한 수신안테나, 케이블 및 증폭장치 등을 무엇이라 하는가?
92. 방송의 공적 책임과 관계가 없는 것은?
93. 다음 중 방송법의 목적에 해당되지 않는 것은?
94. 방송시설의 효율적 이용을 위하여 방송시설과 그에 부속된 토지·건물 등을 공동으로 구축·이용하도록 권고할 수 있는 기관은 어디인가?
95. 다음 중 정보통신공사업자 이외의 자가 시공할 수 있는 경미한 공사의 범위에 해당 되지 않는 것은?
96. 유선방송신호를 전송하는데 필요한 전송선로 설비 중에서 입력 신호 에너지를 간선에서 지선으로 불균등하게 분리시키는 장치는?
97. 전송·선로설비에 대한 기술기준의 적합여부 확인 등에 관하여 필요한 사항은 무엇으로 정하는가?
98. 유선방송국 설비 등에 관한 기술기준 중 전원설비에 대한 설명으로 가장 적합한 것은?
99. 유선방송국설비의 준공검사는 방송사업의 허가 또는 승인을 얻거나 등록을 한 날부터 얼마 이내에 받아야 하는가?
100. 종합유선방송국 설비에 접속하는 전송선로설비가 동축케이블인 경우의 분계점은?