1과목: 기계제작법
1. 제품의 허용오차가 ±0.002 ~ ±0.005mm 정도의 정밀도를 갖는 보링머신으로 주로 항온항습실에서 사용하는 보링머신은?
2. 소성가공에서 바우싱거 효과(Bauschinger effect)란 무엇인가?
3. 업셋(up set) 작업에 대하여 올바르게 설명한 것은?
4. 빛의 간섭 현상을 이용한 측정기는?
5. 각도 측정기에 해당 되지 않는 것은?
6. 사인 바(sine bar)의 크기를 나타낸 것 중 맞는 것은?
7. 항오변태곡선(TTT 곡선)과 관계가 먼 것은?
8. 전기도금의 반대현상으로 가공물을 양극, 전기저항이 적은 구리나 아연 등을 음극으로 전해액 속에 전기를 통해 전기를 이용한 화학작용으로 가공물의 표면이 용출되어 필요한 형상을 만드는 가공법은?
9. 호빙 머신의 차동기어장치는 어느 것을 가공할 때 사용하는가?
10. 일반적인 리벳(rivet) 작업용 공구가 아닌 것은?
11. 주물사의 구비 조건으로 거리가 먼 것은?
12. 다음 중 전기저항용접이 아닌 것은?
13. 파텐팅(PARTENTING)이란 무엇인가?
14. 프레스(press)가공에서 압축작업(squeezing operation)이 아닌 것은?
15. 지름 5mm의 드릴로 절삭속도를 80m/min로 하려면 드릴링 머신의 주축회전수는 몇 약 rpm 인가?
16. 소성가공에 해당하지 않는 것은?
17. 다이캐스팅 주조에 대한 설명으로 틀린 것은?
18. 측정오차에서긴 블록게이지와 같이 양끝면이 항상 평행위치를 유지하도록 지지하는 점(S = 0.2113ℓ, ℓ은 전체거리, S는 끝단에서 지지점사이 거리)을 무엇이라고 하는가?
19. 아크 직률용접에서 모재가 양(+)극일 때의 특성이 아닌 것은?
20. 고체 침탄법에서 사용하는 침탄제(A)와 촉진제(B)에 해당하는 것은?
2과목: 재료역학
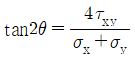
21. 단면의 높이가 30cm, 폭이 15cm 되는 직사각형 단면의 보에서 최대 전단력이 20KN일 때 보 속에 생기는 최대 전단응력은 약 몇 kPa 인가?
22. 그림과 같은 평면 응력요소에서 주평면을 정하는 식 tan2θ는? (단, 여기서 θ는 주각(principal angle)이다.)




23. 그림과 같이 75×125mm인 균일 단면의 목재에 P = 3.5KN의 하중이 작용하고 있따. 경사면에서의 수직응력 σ와 전단응력 τ는 각각 약 몇 kPa 인가?
24. 그림과 같은 직사각형 단면기둥에 e = 2mm인 편심거리에 P = 100KN의 압축하중이 작용할 때 발생하는 최대응력 σmax는 몇 MPa 인가?
25. 그림과 같은 길이 4m, 단면 8cm × 12cm 인 단순보가 균일 분포하중 ω = 4KN/m을 받을 때 최대 굽힘응력을 약 몇 MPa 인가?
26. 그림과 같이 길이 2L인 외팔보의 중앙에 집중하중 P가 작용하면 자유단의 처짐은? (단, 보의 굽힘강성 EI는 일정하고, 자중은 무시한다.)




27. 그림과 같은 동력전달장치에서 모터가 400rpm의 속도로 3kW를 발생시킬 때, 모터 축의 지름이 4cm라면 이 축에 발생하는 비틀림 응력의 최대값은 약 몇 MPa 인가? (단, 축의 굽힘은 고려하지 않는다.)
28. 포와송 비(Poisson's ratio) μ에 대한 설명 중 틀린 것은?
이다.29. 지름 3cm의 연강봉을 17℃에서 벽에 고정한 후 50℃로 가열하였을 때 봉의 끝이 벽에 미치는 힘은 약 몇 kN인가? (단, 탄성계수 E = 210GPa, 선팽창계수 α = 11.5×10-6/℃ 이다.)
30. 그림과 같이 2개의 강선(wire) AC 및 BC에 2000N의 물체를 매달았을 때 강선 AC가 받는 힘은 약 몇 N 인가? (단, A와 B에서의 각도는 각각 40°, 60° 이다.)
31. 그림과 같이 균일분포하중 100N/m와 자유단에 집중하중 200N이 작용할 때의 최대 전단력은 몇 N 인가?
32. 지름 10mm의 재료가 32kN의 전단하중을 받아 0.006 rad의 전단변형률이 생겼다. 이 재료의 전단탄성계수 G값은 약 몇 GPa 인가?
33. 그림과 같이 지름 12mm, 허용 전단응력이 76MPa인 소켓렌치가 있다. 이 렌치에 가할 수 있는 최대 비틀림모멘트 T는 몇 N·m 인가?
34. 길이가 2m 이고, 한 변의 길이가 5cm인 정사각형 단면의 주철재 기둥이 50kN의 압축하중을 받고 있다. 이 기둥의 수축량은 몇 mm 인가? (단, 주철의 탄성계수는 9 MN/cm2 이다.)
35. 원형 단면봉에 40kN의 인장하중이 작용한다. 봉의 인장강도가 420 MPa 이고 안전율을 5라 할 때, 이 봉의 지름은 최소 몇 cm 로 설계해야 하는가?
36. 그림과 같은 2축 응력상태에서 σx = 85 MPa, σy = 45 MPa 이 작용할 때 그 재료 내에 생기는 전단응력의 크기는 몇 MPa 인가?
37. 그림과 같은 평면 도형에서 X축으로부터의 도심 위치
는 얼마인가?
38. 그림과 같이 균일분포 하중을 받는 외팔보의 굽힘모멘트 선도의 모양으로 옳은 것은?




39. 그림과같이 집중하중 1750N을 받는 단순보에서 지점 B에서의 반력은 RB=500N 이다. 이때 지점 A로부터 집중하중의 작용점까지의 거리 L은 몇 m 인가?
40. 탄성한도내에서 인장하중을 받는 봉에 발생한 응력이 2배가 되면 단위 체적당에 저장되는 탄성에너지는 몇 배가 되는가?
3과목: 기계설계 및 기계재료
41. 알루미늄-규소계 합금으로 알팩스라고 하며, 주조성은 좋으나 절삭성이 좋지 않은 것은?
42. Fe-Mn, Fe-Si으로 탈산시킨 것으로 상부에 작은 수축관과 소수의 기포만이 존재하며 탄소 함유량이 0.15~0.3% 정도인 강은?
43. 주철의 마우러의 조직도를 바르게 설명한 것은?
44. 다음 철강 재료 중 담금질 열처리에 의해 경화되지 않는 것은?
45. 다음 중 선팽창계수가 큰 순서로 올바르게 나열된 것은?
46. Fe-C계 상태도에서 3개소의 반응이 있다. 옳게 설명한 것은?
47. 초소성 재료에 대한 설명으로 틀린 것은?
48. Ni에 Cr 13-21%와 Fe 6.5%를 함유한 우수한 내열, 내식성을 가진 합금은?
49. 형상기억합금의 내용과 관계가 먼 것은?
50. 용융 금속이 응고할 때 불순물이 가장 많이 모이는 곳으로 최후에 응고하게 되는 곳은?
51. 유연성 커플링(flexible coupling)의 종류가 아닌 것은?
52. 스프링의 변형에 대한 강성을 나타내는 것에 스프링 상수가 있다. 하중이 W[N] 일 때 변위량을 δ[mm] 라 하면 스프링 상수 k[N/mm]는?




53. 볼나사(ball screw)의 장점에 해당되지 않는 것은?
54. 성크 키의 길이가 150mm, 키에 발생하는 전단하중은 60kN, 키의 너비와 높이와의 관계는 b = 1.5h라고 할 때 허용 전단응력 20MPa라 하면 키의 높이는 약 몇 mm 이상이어야 하는가? (단, b의 키의 너비, h는 키의 높이이다.)
55. 지름 14mm의 연강봉에 8000N의 인장하중이 작용할 때 발생하는 응력은 약 몇 N/mm2 인가?
56. 기계구조물 등을 콘크리트 바닥에 설치하는데 사용되는 볼트에 해당하는 것은?
57. 축지름 5cm, 저널 길이 10cm인 상태에서 300rpm으로 전동축을 지지하고 있는 미끄럼 베어링에서 P = 4000N의 레이디얼 하중이 작용할 때 베어링 압력은 약 몇 MPa 인가?
58. 7 kN·m의 비틀림 모멘트와 14 kN·m의 굽힘 모멘트를 동시에 받는 축의 상당 굽힘 모멘트는 몇 kN·m인가?
59. 저널 베어링에서 사용되는 페트로프의 식에서 마찰저항과의 관계를 설명한 것으로 틀린 것은?
60. 평벨트에 비해 V벨트 전동의 특징이 아닌 것은?
4과목: 유압기기 및 건설기계일반
61. 유압회로에서 설정한 압력보다 높을 때 작동하는 밸브는?
62. 베인펌프의 특징으로 거리가 먼 것은?
63. 축압기(어큐물레이터)의 주요 용도가 아닌 것은?
64. 유압 펌프에서 발생하는 현상으로 거리가 먼 것은?
65. 그림의 회로도는 유량 제어밸브가 부착된 원격제어 불도저의 속도 제어 회로이다. 이 회로의 명칭은?
66. 프레스작업에서 일정시간 그대로 놓아두면 자중에 의하여 램이 하강한다. 자중에 의하여 하강하지 않도록 하기 위한 방법으로 가장 적합한 것은?
67. 그림과 같은 유압 회로도에서 ④는 어떤 밸브인가?
68. 2개의 액추에이터 A와 B가 있을 때 작동 순서의 제어에 사용되는 밸브는?
69. 어떤 작동유에 압력을 1 MPa에서 4 MPa까지 증가시켰을 때 체적이 0.2[%] 감소했다고 한다. 이 때의 압축률(compressibility)은 약 몇 mm2/N 인가?
70. 그림의 유압회로의 명칭은?
71. 셔블(shovel)계의 굴차기는 전부장치(front attachment)를 교환할 수 있다. 분리 교환하여 사용되지 않는 것은?
72. 건설기계 유압펌프에 종류에 속하지 않는 것은?
73. 파 올린 토사는 양현에 계류한 토운선에 적재한 후 만재된 토운선을 예인선으로 예인하여 선박 항해에 지장이 없는 위치에 버리며, 전후 좌우의 이동은 4개의 앵커를 조종하면서 작업하는 준설선은?
74. 타이어 형 도저의 접지 압력[kg/cm2]은 얼마 정도인가?
75. 아스팔트 믹싱 플랜트(Asphalt mixing plant)에서 스크린 진동 등의 작동 과정에서 일으키는 먼지를 흡수하여 배제시키는 구조의 명칭은 무엇인가?
76. 굴삭 적재 사이클시간이 19[sec], 디퍼의 공칭용량이 5[m3], 작업효율이 0.9일 때 파워셔블의 작업량은? (단, 토량환산계수는 0.9, 디퍼계수는 1.0 이다.)
77. 기분무부하 상태에서 지게차의 주행시 전·후 안정도는 대략 몇 %의 구배에서 전도되어서는 안되는가?
78. 건설공사 또는 건설기술용역업무에 종사하는 자로서 건설기술자로 인정받으려는 자는 근무처, 경력, 학력 및 자격 등의 관리에 필요한 사항을 누구에게 신고해야 하는가?
79. 롤러 작업 시 지반이나 지층을 가압하는 방법으로만 구별하여 나열한 것은?
80. 로더의 방향전환 시 회전각을 크게 할 수 있어서 짧은 거리로 작업을 할 수 있고, 작업능률을 향상시킬 수 있는 조향방식은?