1과목: 전기철도공학
1. 자동장력조정장치의 설치에 대한 설명으로 틀린 것은?
2. 교류 급전측 단상 단락사고 고장 전류(Is)계산식은? (단, Is : 고장전류[kA], V : 급전전압[kV], Z0 : 전원임피던스[Ω], ZTR : 변압기임피던스[Ω], ZL : 선로임피던스[Ω], rg : 고장점 저항[Ω] 이다.)




"이다. 이유는 고장점 저항 rg이 0에 가까울수록 고장전류 Is가 커지기 때문이다. 즉, 고장점 저항이 작을수록 전류가 더 많이 흐르게 되어 고장이 발생할 가능성이 높아진다.3. 강체전차선로에서 R-Bar 브래킷의 종류가 아닌 것은?
4. 고속철도 전차선의 사전 이도량 54/2000에 대한 2번째 드로퍼의 처짐량(m)은? (단, 전차선의 사전 이도구간 길이는 45m, 첫 번째 드로퍼 거리는 4.5m, 두 번째 드로퍼 거리는 11.25m 이다.)
5. 전차선의 장력(N)을 T, 전차선의 단위 길이 질량(kg/m)을 p라 할 때 파동전파속도(m/sec) C는?




"이다.
"은 p가 가장 작은 경우이므로 파동전파속도 C가 가장 빠르다.6. 전차선의 편위 결정 시 고려 사항이 아닌 것은?
7. 에어섹션의 평행부부분에서 전차선 상호간의 이격거리(mm)로 맞는 것은? (단, 속도등급 300킬로급 이상)
8. 교류급전방식의 특징이 아닌 것은?
9. 주전동기의 단자전압이 1200V, 전류가 300A 인 경우, 전기차의 출력(kW)은? (단, 주전동기의 효율은 0.9, 전동기의 대수는 3대이다.)
10. 절연구분장치에 대한 설명으로 틀린 것은?
11. 커티너리 방식의 경우 가선계의 최고설계속도는 팬터그래프에 의해 발생하는 가공전차선 동요임펄스 파동전파속도의 몇 % 이하가 되도록 하는가?
12. 경간 중앙에서의 전차선 편위 값(uN)을 구하는 계산식은? (단, uN1, uN2는 양단 전주에서의 편위 값, 곡선 외측이 +값)




" 입니다. 이유는 이 보기가 uN을 계산하는 공식을 정확하게 나타내고 있기 때문입니다.13. 전식방지 대책을 위한 배류법에 해당하지 않는 것은?
14. 전차선은 110mm2이고, 잔존 단면적이 67.6mm2이며, 안전율이 2.2인 전차선의 허용장력은 약 몇 kgf인가? (단, 전차선의 항장력은 2400kgf 이다.)
15. 전기차의 VVVF 제어방식이란?
16. 전차선 110mm2 접촉점에 흐르는 아크전류를 I(A), 지속시간을 t(sec)라 할 때 전차선이 단선되는 시점을 나타내는 식은?
17. 강체가선방식에서 R-BAR의 구성에 해당되지 않는 것은?
18. 부동율을 ε, 가선과 팬터그래프가 공진하는 속도를 Vc라 할 때, 이선을 시작하는 속도 Vr을 나타내는 식은?




19. 고속전철에서 횡진동에 제한 받는 개소 또는 터널 내에서 이격거리 확보개소에 사용하는 급전선의 지지방식으로 맞는 것은?
20. 제3궤조 방식에 대한 설명으로 틀린 것은?
2과목: 전기철도 구조물공학
21. 힘의 3요소가 아닌 것은?
22. 그림과 같은 단면의 X-X축에 대한 단면1차 모멘트(cm3)는? (치수단위는 [cm])
23. 그림과 같은 트러스 빔에서 A에 해당하는 것은?
24. 재료의 전단탄성계수(G)가 80GPa, 포아송비는 0.3일 때, 종탄성계수 E(GPa)는?
25. 그림과 같은 라멘의 부정정차수는?
26. 다음 구조물 중 2차원 구조물로 맞는 것은?
27. 가공 전차선로 도면의 프리텐션 콘크리트 전주에 11-30-N5000으로 표기되어 있다. 여기서 11은 무엇을 나타내는가?
28. 가공 전차선로에서 표준경간 S(m), 선로의 곡선반경 R(m)라 할 때 전차선의 편위 d(m)을 구하는 식은?
29. 전기철도구조물의 강도를 계산하기 위한 설계조건에 해당되지 않는 것은?
30. 크기가 같고 방향이 반대인 나란한 두 힘은?
31. 각 부재가 마찰이 없는 힌지로 연결되어 축방향력만 받는 부재는?
32. 단면의 폭이 10cm, 높이가 20cm인 직사각형 단면과 지름이 d인 원형단면이 있다. 직사각형 단면과 원형단면의 단면계수가 같다고 할 때, 원형단면의 직경은 약 몇 cm 인가?
33. 전차선로에서 지선의 종류로 틀린 것은?
34. 가동 브래킷의 호칭이 “G3.0 L960 I”라고 되어 있다면, 여기에서 L이 의미하는 것은?
35. 지선은 전구에 작용하는 수평하중의 몇 [%]를 부담하는가?
36. 지름 D, 길이 ℓ인 원기둥의 세장비는?
37. 가공전차선로에 설치된 단독전철주의 지면으로부터 높이는 11m이다. 이 전주에 수평분포하중 32kgf/m가 작용하는 경우 지면과의 경계점 모멘트(kgf·m)는?
38. 비례한도에 대한 설명으로 맞는 것은?
39. 보(Beam)가 하중에 받게 되면 직선이던 부재축은 변형하여 곡선을 이루게 된다. 이 변형된 축선을 무엇이라 하는가?
40. 지점(支點)에 대한 설명으로 옳은 것은?
3과목: 전기자기학
41. 반지름 a(m)의 구 도체에 전하 Q(C)가 주어질 때 구 도체 표면에 작용하는 정전응력은 몇 N/m2 인가?




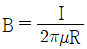
"가 정답인 이유는 이 공식을 보면 알 수 있다. 이 보기는 Q와 a의 제곱근을 곱한 값으로 이루어져 있으며, 이 값은 구의 표면적 4πa^2과 같다. 따라서 이 보기는 전하 밀도를 나타내는 값인 Q/4πa^2과 같으므로, 정전응력을 계산하는 데 사용할 수 있다.42. 무한장 직선형 도선에 I(A)의 전류가 흐를 경우 도선으로부터 R(m) 떨어진 점의 자속밀도 B(Wb/m2)는?




"이다.
"이 정답이다.43. 강자성체의 세 가지 특성에 포함되지 않는 것은?
44. 단면적이 s(m2), 단위 길이에 대한 권수가 n(회/m)인 무한히 긴 솔레노이드의 단위 길이당 자기인덕턴스(H/m)는?
45. 전하 q(C)가 진공 중의 자계 H(AT/m)에 수직방향으로 v(m/s)의 속도로 움직일 때 받는 힘은 몇 N인가? (단, 진공 중의 투자율은 μo 이다.)
46. 정전용량이 1μF이고 판의 간격이 d인 공기콘덴서가 있다. 두께
, 비유전율 εr=2 유전체를 그 콘덴서의 한 전극면에 접촉하여 넣었을 때 전체의 정전용량(μF)은?
47. 송전선의 전류가 0.01초 사이에 10kA 변화될 때 이 송전선에 나란한 통신선에 유도되는 유도 전압은 몇 V인가? (단, 송전선과 통신선 간의 상호유도계수는 0.3mH 이다.)
48. 단면적 15cm2의 자석 근처에 같은 단면적을 가진 철편을 놓을 때 그 곳을 통하는 자속이 3×10-4Wb이면 철편에 작용하는 흡인력은 약 몇 N인가?
49. 전기 저항에 대한 설명으로 틀린 것은?
50. 자계의 백터포텐셜을 A라 할 때 자계의 시간적 변화에 의하여 생기는 전계의 세기 E는?


"이다.51. 변위전류와 가장 관계가 깊은 것은?
52. 진공 중에서 점 P(1, 2, 3) 및 점 Q(2, 0, 5)에 각각 300μC, -100μC인 점전하가 놓여 있을 때 점전하 –100μC에 작용하는 힘은 몇 N인가?
53. 환상철심의 평균 자계의 세기가 3000 AT/m 이고, 비투자율이 600인 철심 중의 자화의 세기는 약 몇 Wb/m2 인가?
54. 다음 금속 중 저항률이 가장 작은 것은?
55. 원통 좌표계에서 일반적으로 벡터가 A=5r sin øaz로 표현될 때 점(2, π/2, 0)에서 curl A를 구하면?
56. 전자파의 특성에 대한 설명으로 틀린 것은?
58. 평행판 콘덴서의 극간 전압이 일정한 상태에서 극간에 공기가 있을 때의 흡인력을 F1, 극판 사이에 극판 간격의 2/3 두께의 유리판(εr=10)을 삽입할 때의 흡인력을 F2라 하면 F2/F1는?
59. 정전용량이 각각 C1, C2, 그 사이의 상호 유도계수가 M인 절연된 두 도체가 있다. 두 도체를 가는 선을 연결할 경우, 정전용량은 어떻게 표현되는가?
60. 길이 ℓ(m)인 동축 원통 도체의 내외원통에 각각 +λ, -λ(C/m)의 전하가 분포되어 있다. 내외원통 사이의 유전율 ε인 유전체가 채워져 있을 때, 전계의 세기(V/m)는? (단, V는 내외원통 간의 전위차, D는 전속밀도이고, a, b는 내외원통의 반지름이며, 원통 중심에서의 거리 r은 a<r<b 인 경우이다.)




"이다.4과목: 전력공학
61. 가공선 계통은 지중선 계통보다 인덕턴스 및 정전용량이 어떠한가?
62. 부하전류의 차단에 사용되지 않는 것은?
63. 송전선의 특성임피던스는 저항과 누설컨덕턴스를 무시하면 어떻게 표현되는가? (단, L은 선로의 인덕턴스, C는 선로의 정전용량이다.)




와 같이 표현된다. 이는 L과 C가 병렬로 연결된 형태로, 전류가 흐르는 방향에 따라 임피던스 값이 달라지는 것을 나타낸다. 따라서, 저항과 누설컨덕턴스는 이러한 L과 C에 의한 특성임피던스에 비해 무시할 수 있는 수준이므로, 특성임피던스는 이러한 요소들을 고려하지 않고도 위와 같이 표현할 수 있다.64. 변성기의 정격부담을 표시하는 단위는?
65. 케이블의 전력 손실과 관계가 없는 것은?
66. 연가에 의한 효과가 아닌 것은?
67. 수력발전설비에서 흡출관을 사용하는 목적으로 옳은 것은?
68. 전압요소가 필요한 계전기가 아닌 것은?
69. 원자로에서 중성자가 원자로 외부로 유출되어 인처에 위험을 주는 것을 방지하고 방열의 효과를 주기 위한 것은?
70. 3상 무부하 발전기의 1선 지락 고장 시에 흐르는 지락 전류는? (단, E는 접지된 상의 무부하 기전력이고, Zo, Z1, Z2는 발전기의 영상, 정상, 역상 임피던스이다.)




"이다.71. 어느 수용가의 부하설비는 전등설비가 500W, 전열설비가 600W, 전동기 설비가 400W, 기타설비가 100W 이다. 이 수용가의 최대수용전력이 1200W이면 수용률은 몇 % 인가?
72. 가공지선에 대한 설명 중 틀린 것은?
73. 전력 원선도에서는 알 수 없는 것은?
74. 각 전력계통을 연계선으로 상호 연결하였을 때 장점으로 틀린 것은?
75. 인터록(interlock)의 기능에 대한 설명으로 옳은 것은?
76. 플리커 경감을 위한 전력 공급측의 방안이 아닌 것은?
77. 같은 선로와 같은 부하에서 교류 단상 3선식은 단상 2선식에 비하여 전압강하와 배전효율이 어떻게 되는가?
78. 다음 중 송전선로의 코로나 임계전압이 높아지는 경우가 아닌 것은?
79. 수력발전소의 분류 중 낙차를 얻는 방법에 의한 분류 방법이 아닌 것은?
80. 역률 80%, 500kVA의 부하설비에 100kVA의 진상용 콘덴서를 설치하여 역률을 개선하면 수전점에서의 부하는 약 몇 kVA가 되는가?
인 평면도체 표면에 10kHz의 전류가 흐를 때, 침투깊이 δ(m)는?


