1과목: 응용역학
1. 그림과 같은 2부재 트러스의 B에 수평하중 P가 작용한다. B절점의 수평변위 δв는 몇 m인가? (단, EA는 두 부재가 모두 같다.)




2. 그림과 같이 세 개의 평행력이 작용할 때 합력 R의 위치 x는?
3. 동일평면상의 한 점에 여러 개의 힘이 작용하고 있을 때, 여러 개의 힘의 어떤 점에 대한 모멘트의 합은 그 합력의 동일점에 대한 모멘트와 같다는 것은 다음 중 어떤 정리에 대한 사항인가?
4. 단면과 길이가 같으나 지지조건이 다른 그림과 같은 2개의 장주가 있다. 장주 (a)가 3t의 하중을 받을 수 있다면 장주 (b)가 받을 수 있는 하중은?
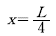
5. 그림과 같은 내민보에서 c점의 휨 모멘트가 영이 되기 위해서는 x가 얼마가 되어야 하는가?




6. 그림의 AC, BC에 작용하는 힘 FAC, FBC의 크기는?
7. 다음 그림에서 처음에 P1이 작용했을 때 자유단의 처짐 δ1이 생기고, 다음에 P2를 가했을 때 자유단의 처짐이 δ2만큼 증가되었다고 한다. 이때 외력 P1이 행한 일은?




8. 그림과 같은 구조물에서 A지점에 일어나는 연직반력 R2를 구한 값은?
9. 그림과 같은 가운데가 비어있는 직사각형 단면 기둥의 길이가 L=10m일 때 이 기둥의 세장비는?
10. 다음 그림과 같은 r=4m인 3힌지 원호아치에서 지점 A에서 2m 떨어진 E점의 휨모멘트의 크기는 약 얼마인가?
11. 그림과 같은 단순보의 단면에서 최대 전단응력을 구한 값은?
12. 아래 그림과 같은 단순보의 지점 A에 모멘트 Ma가 작용할 경우 A점과 B점의 처짐각 비
의 크기는?
13. 반지름이 r인 중심축과, 바깥 반지름이 r이고 안쪽 반지름이 0.6r인 중공축이 동일 크기의 비틀림 모멘트를 받고 있다면 중공축이 동일 크기의 비틀림 모멘트를 받고 있다면 중실축:중공축의 최대 전단응력비는?
14. 다음 연속보에서 B점의 지점 반력을 구한 값은?
15. 다음과 같은 2축응력을 받고 있는 요소의 체적변형률은? (단, 탄성계수 E=2×106kg/cm2 포아송비 v=0.2 이다.)
16. 보의 탄성변형에서 내력이 한 일은 그 지점의 반력으로 1차 편미분한 것은 "0"이 된다는 정리는 다음 중 어느 것인가?
17. 다음 그림과 같은 단순보의 중앙점 C에 집중하중 P가 작용하여 중앙점의 처짐 δ가 발생했다. Δ가 0이 되도록 양쪽지점에 모멘트 M을 작용시키려고 할 때 이 모멘트의 크기 M을 하중 P와 L로 나타내면 얼마인가? (단, EI는 일정하다.)




18. 균질한 균일 단면봉이 그림과 같이 P1, P2, P3의 하중을 B, C, D점에서 받고 있다. P2=8t, P3=4t의 하중이 작용할 때 D점에서의 수직방향 변위가 일어나지 않기 위한 하중 P1은 얼마인가?
19. 아래 그림과 같은 트러스에서 응력이 발생하지 않는 부재는?
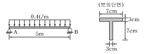
20. 다음 단면의 X-X축에 대한 단면 2차모멘트는?
2과목: 측량학
21. 트래버스 측량의 작업순서로 알맞은 것은?
22. 도로공사에서 거리 20m 성토구간에 대하여 시작단면 A1=72m2, 끝단면 A2=182m2, 중앙단면 Am=132m2라고 할 때 각주공식에 의한 성토량은?
23. 사진측량에 대한 설명 중 틀린 것은?(관련 규정 개정전 문제로 여기서는 기존 정답인 3번을 누르면 정답 처리됩니다. 자세한 내용은 해설을 참고하세요.)
24. 20m 줄자로 두 지점의 거리를 측정한 결과 320m이었다. 1회 측정마다 ±3mm의 우연오차가 발생하였다면 두 지점간의 우연오차는?
25. 1600m2의 정사각형 토지 면적을 0.5m2까지 정확하게 구하기 위해서 필요한 변길이의 최대 허용오차는?
26. 지형측량을 할 때 기본 삼각점만으로는 기준점이 부족하여 추가로 설치하는 기준점은?
27. 하천 측량에 대한 설명 중 틀린 것은?
28. 각의 정밀도가 ±20"인 각측량기로 각을 관측할 경우, 각오차와 거리오차가 균형을 이루기 위한 줄자의 정밀도는?
29. 삼각점 A에 기계를 설치하였으나, 삼각점 B가 시준이 되지 않아 점 P를 관측하여 T'=68˚ 32' 15"를 얻었다. 보정각 T는? (단, S=2km, e=5m, φ=302˚ 56')
30. 표고가 각각 112m, 142m인 A, B 두 점이 있다. 두 점
사이에 130m의 등고선을 삽입할 때 이 등고선의 A점으로부터 수평거리는? (단, AB의 수평거리는 100m이고, AB 구간은 등경 사이다.)
31. 그림과 같은 유심다각망의 조정에 필요한 조건방정식의 총수는?
32. 우리나라는 TM도법에 따른 평면직교좌표계를 사용하고 있는데 그 중 동해원점의 경위도 좌표는?
33. D점의 표고를 구하기 위하여 기지점 A, B, C에서 각각 수준측량을 실시하였다면, D점의 표고 최확값은?
34. 캔트가 C인 노선에서 설계속도와 반지름을 모두 2배로 할 경우, 새로운 캔트 C는?
35. 구면 삼각형의 성질에 대한 설명으로 틀린 것은?
36. 축척 1:1000으로 평판측량을 할 때 도상에서 제도의 허용오차가 0.3mm라면, 중심맞추기 오차는 몇 ㎝까지 허용할 수 있는가?(오류 신고가 접수된 문제입니다. 반드시 정답과 해설을 확인하시기 바랍니다.)
37. 단곡선 설치에 있어서 교각 I=60˚, 반지름 R=200m, 곡선의 시점 B.C.=No.8+15m일 때 종단현에 대한 편각은? (단, 중심말뚝의 간격은 20m이다.)
38. 도로노선의 곡률반지름 R=2000m, 곡선길이 L=245m일 때, 클로소이드의 매개변수 A는?
39. 사진의 중심점으로서 렌즈중심으로부터 사진면에 내린 수직선이 만나는 점은?(관련 규정 개정전 문제로 여기서는 기존 정답인 1번을 누르면 정답 처리됩니다. 자세한 내용은 해설을 참고하세요.)
40. 지구의 반지름 6370km, 공기의 굴절계수가 0.14일 때, 거리 4km에 대한 양차는?
3과목: 수리학 및 수문학
41. 개수로의 흐름에 대한 설명으로 틀린 것은?
42. 수평면상 곡선수로 상류에서 비회전흐름인 경우, 유속 V와 곡률반지름 R의 관계로 옳은 것은?


43. A 저수지에서 100m 떨어진 B 저수지로 3.6m3/s의 유량을 송수하기 위해 지름 2m의 주철관을 설치할 때 적정한 관로의 경사(I)는? (단, 마찰손실만 고려하고, 마찰손실계수 f=0.03이다.)
44. 합리식에 관한 설명으로 틀린 것은?
45. 비중 0.92의 빙산이 해수면에 떠 있다. 수면 위로 나온 빙산의 부피가 100m3이면 빙산의 전체 부피는? (단, 해수의 비중 1.025)
46. 주어진 유량에 대한 비에너지(specific energy)가 3m이면, 한계수심은?
47. 작은 오리피스에서 단면수축계수 Ca, 유속계수 Cv, 유량계수 C의 관계가 옳게 표시된 것은?
48. 다음 표는 어느 지역의 40분간 집중 호우를 매 5분마다 관측한 것이다. 지속시간이 20분인 최대강우강도는?
49. 물 속에 잠긴 곡면에 작용하는 정수압의 연직방향 분력은?
50. 수면표고가 18m인 정수장에서 직경 600mm인 강관 900m를 이용하여 수면표고 39m인 배수지로 양수하려고 한다. 유량이 1.0m3/s이고 관로의 마찰손실계수가 0.03일 때 모터의 소요 동력은? (단, 마찰손실만 고려하며, 펌프 및 모터의 효율은 각각 80% 및 70%이다.)
51. 관수로에서 마찰손실수두에 대한 설명으로 옳은 것은?
52. 지하수의 투수계수에 관한 설명으로 틀린 것은?
53. 단위유량도를 작성함에 있어서 주요기본가정(또는 원리)만으로 짝지어진 것은?
54. 수리학적 완전상사를 이루기 위한 조건이 아닌 것은?
55. 다음 중 강수 결측자료의 보완을 위한 추정방법이 아닌 것은?
56. 위어(weir)에 물이 월류할 경우에 위어 정상을 기준하여 상류측 전수두를 H라 하고, 하류수위를 h라 할 때, 수중위어(submerged weir)로 해석될 수 있는 조건은?
57. 개수로 흐름에 대한 Manning 공식의 조도계수 값의 결정 요소로 가장 거리가 먼 것은?
58. 에너지선에 대한 설명으로 옳은 것은?
59. 수표면적이 10km2되는 어떤 저수지 수면으로부터 2m 위에서 측정된 대기의 평균온도가 25℃, 상대습도가 65%이고, 저수지 수면 6m 위에서 측정한 풍속이 4m/s, 저수지 수면 경계층의 수온이 20℃로 추정되었을 때 증방률(Eo)이 1.44mm/day이었다면 이 저수지 수면으로부터의 일증발량(Edav)은?
60. 경심이 5m이고 동수경사가 1/200인 관로에서의 Reynolds 수가 1000인 흐름으로 흐를 때 관내의 평균유속은?
4과목: 철근콘크리트 및 강구조
61. 그림과 같은 띠철근 기둥에서 띠철근의 최대 간격으로 적당한 것은?(단, D-32의 공칭직경은 31.8mm이고, D-10의 공칭직경은 9.5mm)
62. 그림과 같은 단면의 중간 높이에 초기 프리스트레서 900kN을 작용시켰다. 20%의 손실을 가정하여 하단 또는 상단의 응력이 영이 되도록 이 단면에 가할 수 있는 모멘트의 크기는?
63. 철근콘크리트 부재에서 처짐을 방지하기 위해서는 부재의 두께를 크게 하는 것이 효과적인데, 구조상 가장 두꺼워야 될 순서대로 나열된 것은?
64. 다음 그림과 같은 맞대기 용접 이음에서 이음의 응력을 구하면?
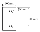
65. Mu=200kN·m의 계수모멘트가 작용하는 단철근 직사각형보에서 필요한 철근량(As)은 약 얼마인가?(단, b= 300mm, d=500mm, fck=28Mpa, fy=400Mpa, Φ= 0.85)
66. 그림과 같은 띠철근 단주의 균형상태에서 축방향 공칭하중(Pь)은 얼마인가? (단, fck=27Mpa. fy=400Mpa, Ast=4-D35=3800mm2)(2022년 01월 개정된 규정 적용됨)
67. bw=250㎜, d=500㎜ fck=21MPa, fy=400MPa 인 직사각형보에서 콘크리트가 부담하는 설계전단강도(ΦVc)는?
68. 철근의 부착응력에 영향을 주는 요소에 대한 설명으로 틀린 것은?
69. 복철근 직사각형 보의 As'=1916mm2, As=4790mm2이다. 등가 직사각형 블록의 응력 깊이(a)는?(단, fck=21Mpa, fy=300mpa)
70. 강도 설계법에서 그림과 같은 T형보에서 공칭모멘트강도(Mn)는? (단, As=41-D25=7094mm2, fck=28MPa, fy=400MPa)
71. 콘크리트 구조기준에서는 띠철근으로 보강된 기둥의 압축지배단면에 대해서는 감소계수 Φ=0.65, 나선철근으로 보강된 기둥의 압축지배단면에 대해서는 Φ=0.70을 적용한다. 그 이유에 대한 설명으로 가장 적당한 것은?
72. T형 PSC보에 설계하중을 작용시킨 결과 보의 처짐은 0이었으며, 프리스트레스 도입단계부터 부착된 계측장치로부터 상부 탄성변형률 ε=3.5×10-4을 얻었다. 콘크리트 탄성계수 Ec=26000MPa, T형 보의 단면적 Ag=150000, 유효율 R=0.85일 때, 강재의 초기 긴장력 P¡를 구하면?
73. 철근 콘크리트 보에 배치되는 철근의 순간격에 대한 설명으로 틀린 것은?
74. 프리스트레서의 손실 원인은 그 시기에 따라 즉시 손실과 도입 후에 시간적인 경과 후에 일어나는 손실로 나눌 수 있다. 다음 중 손실 원인의 시기가 나머지와 다른 하나는?
75. 지간(L)이 6m인 단철근 직사각형 단순보에 고정하중(자중포함)이 15.5kN/m, 활하중이 35kN/m 작용할 경우 최대 모멘트가 발생하는 단면의 계수 모멘트(Mu)는 얼마인가? (단, 하중조합을 고려할 것)
76. 인장응력 검토를 위한 L-150×90×12인 형강(angle)의 전개 총폭 bg는 얼마인가?
77. 경간이 8m인 PSC보에 계수등분포하중 w=20kN/m가 작용할 때 중앙 단면 콘크리트 하연에서의 응력이 0이 되려면 강재에 줄 프리스트레스힘 P는 얼마인가? (단, PS강재는 콘크리트 도심에 배치되어 있음)
78. 비틀림철근에 대한 설명으로 틀린 것은? (단, Ack는 가장 바깥의 비틀림 보강철근의 중심으로 닫혀진 단면적이고, Pk는 가장 바깥의 횡방향 폐쇄스터럽 중심선의 둘레이다.)
79. 다음 주어진 단철근 직사각형 단면의 보에서 설계 휨강도를 구하기 위한 강도감소계수(Φ)는? (단, fck=28MPa, fy=400MPa)
80. 옹벽의 설계에 대한 설명으로 틀린 것은?
5과목: 토질 및 기초
81. 암질을 나타내는 황목과 직접관계가 없는 것은?
82. 압밀 시험에서 시간-압출량 곡선으로부터 구할 수 없는 것은?
83. 말뚝기초의 지반거동에 관한 설명으로 틀린 것은?
84. 연약지반개량공법 중 프리로딩공법에 대한 설명으로 틀린 것은?
85. 암반층 위에 5m 두께의 토층이 경사 15˚의 자연사면으로 되어 있다. 이 토층은 c=1.5t/m2, Φ=30˚,rsat=1.8t/m3이고 지하수면은 토층의 지표면과 일치하고 침투는 경사면과 대략 평행이다. 이 때의 안전율은?
86. 크기가 30㎝×30㎝의 평판을 이용하여 사질토위에서 평판재하시험을 실시하고 극한 지지력 20t/m2을 얻었다. 크기가 1.8m×1.8m인 정사각형 기초의 총허용하중은 약 얼마인가? (단, 안전율은 3을 사용)
87. 흙의 투수계수 k에 관한 설명으로 옳은 것은?
88. 다음 중 흙의 연경도(consistency)에 대한 설명 중 옳지 않은 것은?
89. 옹벽배면의 지표면 경사가 수평이고, 옹벽배면 벽체의 기울기가 연직인 벽체에서 옹벽과 뒷채움 흙 사이의 벽면마찰각(δ)을 무시할 경우, Rankine 토압과 Coulomb 토압의 크기를 비교하면?
90. 그림과 같이 모래층에 널말뚝을 설치하여 물막이공 내의 물을 배수하였을 때, 분사현상이 일어나지 않게 하려면 얼마의 압력을 가하여야 하는가? (단, 모래의 비중은 2.65, 간극비는 0.65, 안전율은 3)
91. 아래의 경우 중 유효응력이 증가하는 것은?
92. 내부마찰각 Φ=30˚, 점착력 c=0인 그림과 같은 모래지반이 있다. 지표면에서 6m 아래 지반의 전단 강도는?
93. 포화점토에 대해 베인전단시험을 실시하였다. 베인의 직경과 높이는 각각 7.5cm와 15cm이고, 시험 중 사용한 최대 회전 모멘트는 250kg·cm이다. 점성토의 액성한계는 65%이고 소성한계는 30%이다. 설계에 이용할 수 있도록 수정 비배수 강도를 구하면? (단, 수정계수(μ)=1.7-0.54 log(PI)를 사용하고 여기서 PI는 소성지수있다.)
94. 어떤 모래의 건조단위중량이 1.7t/m3이고, 이 모래의
라면, 상대밀도는?
95. 통일분류법에 의해 sp로 분류된 흙의 설명으로 옳은 것은?
96. 다음 그림과 같이 점토질 지반에 연속기초가 설치되어 있다. Terzaghi 공식에 의한 이 기초의 허용지지력 qa는 얼마인가? (단, Φ=0 이며, 폭(B)=2m, Nc=5.14, Nq=1.0, Nr=0, 안전율은 Fs=3 이다.)
97. 직경 30cm 콘크리트 말뚝을 단동식 증기해머로 타입하였을 때 엔지니어링 뉴스 공식을 적용한 말뚝의 허용지지력은? (단, 타격에너지=3.6tㆍm, 해머효율=0.8, 손실상수=0.25cm, 마지막 25mm 관입에 필요한 타격횟수=5)
98. 그림과 같이 같은 두께의 3층으로 된 수평 모래층이 있을 때 모래층 전체의 연직방향 평균 투수계수는? (단, k1, k2, k3는 각 층의 투수계수임)
99. 모래시료에 대해서 압밀배수 삼축압축시험을 실시하였다. 초기 단계에서 구속응력(σ3)은 100kg/cm2이고, 전단파괴시에 작용된 축차응력(σdf)은 200kg/cm2이었다. 이와 같은 모래시료의 내부마찰각(Φ) 및 파괴면에 작용하는 전단응력(Tf)의 크기는?
100. 흐트러지지 않은 연약한 점토시료를 채취하여 일축압축시험을 실시하였다. 공시체의 직경이 35mm, 높이가 80mm이고 파괴시의 하중계의 읽음값이 2kg, 축방향의 변형량이 12mm일 때 이 시료의 전단강도는?
6과목: 상하수도공학
101. 염소 소독시 생성되는 염소성분 중 살균력이 가장 강한 것은?
102. 하수처리장에서 480000L/day의 하수량을 처리한다. 펌프장의 습정(wet well)을 하수로 채우기 위하여 40분이 소요된다면 습정의 부피는 몇 m3인가?
103. 다음 지형도의 상수계통도에 관한 사항 중 옳은 것은?
104. 5일의 BOD 값이 100mg/L인 오수의 최종 BODu 값은? (단, 탈산소계수(자연대수)=0.25day-1)
105. 어떤 상수원수의 jar-test 실험결과 원수시료 200mL에 대해 0.1% PAC 용액 12mL를 첨가하는 것이 가장 응집효율이 좋았다. 이 경우 상수원수에 대해 PAC 용액 사용량은 몇 mg/L인가?
106. 수원을 선정할 때 수원의 구비요건으로 틀린 것은?
107. 계획급수량 결정에서 첨두율에 대한 설명으로 옳은 것은?
108. 상수도의 도수 및 송수관로의 일부분이 동수경사선보다 높을 경우에 취할 수 있는 방법으로 옳은 것은?
109. 오존을 사용하여 살균처리를 할 경우의 장점에 대한 설명 중 틀린 것은?
110. 계획시간최대배수량의 식
에 대한 설명으로 틀린 것은?
111. 부영양화된 호수나 저수지에서 나타나는 현상으로 옳은 것은?
112. 유출계수가 0.6이고 유연면적 2km2에 강우강도 200mm/h의 경우가 있었다면 유출량은? (단, 합리식을 사용)
113. 하수도의 관거계획에 대한 설명으로 옳은 것은?
114. 혐기성 슬러지 소화조를 설계할 경우 탱크의 크기를 결정하는데 있어 고려할 사항이 해당되지 않는 것은?
115. 최초 침전지의 표면적이 250m2, 깊이가 3m인 직사각형 침전지가 있다. 하수 350m3/h가 유입될 때 수면적부하는?
116. 일반적인 생물학적 질소 제거 공정에 필요한 미생물의 환경조건으로 가장 옳은 것은?
117. 우수조정지 설치에 대한 설명으로 옳지 않은 것은?
118. 콘크리트 하수관의 내부 천정이 부식되는 현상에 대한 대응책으로 틀린 것은?
119. 하수배제 방식에 대한 설명 중 틀린 것은?
120. 급수방식에 대한 설명으로 틀린 것은?