1과목: 응용역학
1. 지름 d=120cm, 벽두께 t=0.6cm 인 긴 강관이 q=2MPa의 내압을 받고 있다. 이 관벽 속에 발생하는 원환응력(σ)의 크기는?
2. 전단중심(shear center)에 대한 설명으로 틀린 것은?
3. 그림과 같은 연속보에서 B점의 지점 반력은?
4. 아래 그림과 같은 보에서 A점의 수직반력은?




5. 그림과 같은 1/4 원 중에서 음영부분의 도심까지 위치 yo는?
6. 그림과 같이 단순보의 A 점에 휨모멘트가 작용하고 있을 경우 A 점에서 전단력의 절댓값은?
7. 그림과 같은 3힌지 라멘의 휨모멘트도(BMD)는?




8. 그림과 같은 도형에서 빗금 친 부분에 대한 x, y축의 단면 상승 모멘트(Ixy)는?
9. 등분포 하중을 받는 단순보에서 중앙점의 처짐을 구하는 공식은? (단, 등분포 하중은 W, 보의 길이는 L, 보의 휨강성은 EI이다.)




10. 그림과 같은 3힌지 아치에서 B점의 수평반력(HB)은?
11. 그림과 같은 보의 허용 휨응력이 80 MPa 일 때 보에 작용할 수 있는 등분포 하중(w)은?
12. 아래 그림과 같이 속이 빈 단면에 전단력 V=150kN 이 작용하고 있다. 단면에 발생하는 최대 전단응력은?
13. 그림은 정사각형 단면을 갖는 단주에서 단면의 핵을 나타낸 것이다. x의 거리는?
14. 그림과 같은 캔틸레버보에서 자유단에 집중하중 2P를 받고 있을 때 휨모멘트에 의한 탄성변형에너지는? (단, EI는 일정하고, 보의 자중은 무시한다.)




15. 지름 50mm, 길이 2m의 봉을 길이방향으로 당겼더니 길이가 2mm 늘어났다면, 이 때 봉의 지름은 얼마나 줄어드는가? (단, 이 봉의 푸아송 비는 0.3 이다.)
16. 그림과 같은 크레인의 D1부재의 부재력은?
17. 그림과 같은 직사각형 단면의 보가 최대휨모멘트 Mmax=20kN·m를 받을 때 a-a단면의 휨응력은?
18. 그림에서 합력 R과 P1 사이의 각을 α라고 할 때 tanα를 나타낸 식으로 옳은 것은?




19. 그림과 같은 켄틸레버보에서 최대 처짐각(θB)은? (단, EI는 일정하다.)




20. 길이가 3m이고 가로 200mm, 세로 300mm인 직사각형 단면의 기둥이 있다. 지지상태가 양단힌지인 경우 좌굴응력을 구하기 위한 이 기둥의 세장비는?
2과목: 측량학
21. 그림과 같이
의 노선을 e=10m 만큼 이동하여 내측으로 노선을 설치하고자 한다. 새로운 반지름 RN은? (단, Ro = 200m, I = 60°)
22. 하천측량에 대한 설명으로 옳지 않은 것은?
23. 그림과 같이 곡선반지름 R=500m인 단곡선을 설치할 때 교점에 장애물이 있어 ∠ACD=150°, ∠CDB=90°, CD=100m를 관측하였다. 이때 C점으로부터 곡선의 시점까지의 거리는?
24. 그림의 다각망에서 C점의 좌표는? (단,
이다.)
25. 각관측 방법 중 배각법에 관한 설명으로 옳지 않은 것은?
26. 수준측량에서 시준거리를 같게 함으로써 소거할 수 있는 오차에 대한 설명으로 틀린 것은?
27. 삼각측량을 위한 삼각점의 위치선정에 있어서 피해야 할 장소와 가장 거리가 먼 것은?
28. 폐합다각측량을 실시하여 위거 오차 30cm, 경거 오차 40cm를 얻었다. 다각측량의 전체 길이가 500m라면 다각형의 폐합비는?
29. 직접고저측량을 실시한 결과가 그림과 같을 때, A점의 표고가 10m라면 C점의 표고는? (단, 그림은 개략도로 실제 치수아 다를 수 있음)
30. 하천측량에서 유속관측에 대한 설명으로 옳지 않은 것은?
31. 직사각형의 두변의 길이를 1/100 정밀도로 관측하여 면적을 산출할 경우 산출된 면적의 정밀도는?
32. 전자파거리측량기로 거리를 측량할 때 발생되는 관측 오차에 대한 설명으로 옳은 것은?
33. 토적곡선(mass curve)을 작성하는 목적으로 가장 거리가 먼 것은?
34. 지반의 높이를 비교할 때 사용하는 기준면은?
35. 축척 1:50000 지형도 상에서 주곡선 간의 도상 길이가 1cm 이었다면 이 지형의 경사는?
36. 노선설치에서 곡선반지름 R, 교각 I인 단곡선을 설치할 때 곡선의 중앙종거(M)를 구하는 식으로 옳은 것은?




37. 다음 우리나라에서 사용되고 있는 좌표계에 대한 설명 중 옳지 않은 것은?
38. 그림과 같은 편심측량에서 ∠ABC는? (단,
= 2.0km,
= 1.5km, e = 0.5m, t = 54°30′, ρ = 300°30′)
39. 지형의 표시방법 중 하천, 항만, 해안측량 등에서 심천측량을 할 때 측점에 숫자로 기입하여 고저를 표시하는 방법은?
40. 다각측량에서 거리관측 및 각관측의 정밀도는 균형을 고려해야 한다. 거리관측의 허용오차가 ± 1/10000 이라고 할 때, 각관측의 허용오차는?
3과목: 수리학 및 수문학
41. 그림과 같이 1m×1m×1m 인 정육면체의 나무가 물에 떠 있을 때 부체(浮體)로서 상태로 옳은 것은? (단, 나무의 비중은 0.8 이다.)
42. 관의 마찰 및 기타 손실수두를 양정고의 10%로 가정할 경우 펌프의 동력을 마력으로 구하면? (단, 유량은 Q=0.07m3/s 이며, 효율은 100%로 가정한다.)
43. 비피압대수층 내 지름 D=2m, 영향권의 반지름 R=1000m, 원지하수의 수위 H=9m, 집수정의 수위 ho=5m인 심정호의 양수량은? (단, 투수계수 k=0.0038m/s)
44. 지름 25cm, 길이 1m의 원주가 연직으로 물에 떠 있을 때, 물 속에 가라앚은 부분의 길이가 90cm 라면 원주의 무게는? (단, 무게 1kgf = 9.8N)
45. 폭이 50m인 직사각형 수로의 도수 전 수위 h1 = 3m, 유량 Q = 2000 m3/s 일 때 대응수심은?
46. 배수면적이 500 ha, 유출계수가 0.70인 어느 유역에 연평균강우량이 1300mm 내렸다. 이때 유역 내에서 발생한 최대유출량은?
47. 그림과 같은 개수로에서 수로경사 S0 = 0.001, Manning 의 조도계수 n = 0.002 일 때 유량은?
48. 20℃에서 지름 0.3mm인 물방울이 공기와 접하고 있다. 물방울 내부의 압력이 대기압보다 10 gf/cm2만큼 크다고 할 때 표면장력의 크기를 dyne/cm로 나타내면?
49. 수조에서 수면으로부터 2m의 깊이에 있는 오리피스의 이론 유속은?
50. 수심이 10cm, 수로 폭이 20cm인 직사각형 개수로에서 유량 Q=80cm3/s가 흐를 때 동점성계수 v=1.0×10-2 cm2/s 이면 흐름은?
51. 방파제 건설을 위한 해안지역의 수심이 5.0m, 입사파랑의 주기가 14.5초인 장파(long wave)의 파장(wave length)은? (단, 중력가속도 g = 9.8 m/s2)
52. 수중 오리피스(orifice)의 유속에 관한 설명으로 옳은 것은?(문제 오류로 가답안 발표시 4번으로 발표되었지만 확정답안 발표시 1, 4번이 정답처리 되었습니다. 여기서는 가답안인 4번을 누르시면 정답 처리 됩니다.)
53. 누가우량곡선(rainfall mas curve)의 특성으로 옳은 것은?
54. 그림과 같은 유역(12km×8km)의 평균강우량을 Thiessen 방법으로 구한 값은? (단, 작은 삼각형은 2km×2km의 정사각형으로서 모두 크기가 동일하다.)
55. Hardy-Cross의 관망계산 시 가정조건에 대한 설명으로 옳은 것은?
56. 정상적인 흐름에서 1개 유선 상의 유체입자에 대하여 그 속도수두를 V2/2g, 위치수두를 Z, 압력수두를 P/γo 라 할 때 동수경사는?
를 연결한 값이다.
를 연결한 값이다.
를 연결한 값이다.
를 연결한 값이다.57. 아래 그림과 같이 지름 10cm인 원 관이 지름 20cm로 급확대되었다. 관의 확대전 유속이 4.9m/s 라면 단면 급확대에 의한 손실수두는?
58. 왜곡모형에서 Froude 상사법칙을 이용하여 물리량을 표시한 것으로 틀린 것은? (단, Xr은 수평축척비, Yr은 연직축척비이다.)




59. 관의 지름이 각각 3m, 1.5m 인 서로 다른 관이 연결되어 있을 때, 지름 3m 관내에 흐르는 유속이 0.03 m/s 이라면 지름 1.5m 관내에 흐르는 유량은?
60. 홍수유출에서 유역면적이 작으면 단시간의 강우에, 면적이 크면 장시간의 강우에 문제가 발생한다. 이와 같은 수문학적 인자 사이의 관계를 조사하는 DAD 해석에 필요 없는 인자는?
4과목: 철근콘크리트 및 강구조
61. 보의 경간이 10m이고, 양쪽 슬래브의 중심간 거리가 2.0m 인 대칭형 T형보에 있어서 플랜지 유효폭은? (단, 부재의 복부폭(bw)은 500mm, 플랜지의 두께(tf)는 100mm 이다.)
62. 옹벽의 구조해석에 대한 설명으로 틀린 것은?
63. 깊은보의 전단 설계에 대한 구조세목의 설명으로 틀린 것은?
64. 그림과 같은 단면의 균열모멘트 Mcr은? (단, fck = 24MPa, fy = 400 MPa, 보통중량 콘크리트이다.)
65. 철근의 겹침이음에서 A급 이음의 조건에 대한 설명으로 옳은 것은?
66. 그림의 보에서 계수전단력 Vu = 262.5 kN에 대한 가장 적당한 스터럽 간격은? (단, 사용된 스터럽은 D13철근이다. 철근D13의 단면적은 127mm2, fck = 24 MPa, fyt = 350 MPa 이다.)
67. 균형철근량 보다 적고 최소철근량 보다 많은 인장철근을 가진 과소철근 보가 휨에 의해 파괴될 때의 설명으로 옳은 것은?
68. 그림과 같은 맞대기 용접의 용접부에 발생하는 인장 응력은?
69. As′ = 1500 mm2, As = 1800 mm2 로 배근된 그림과 같은 복철근 보의 순간처짐이 10mm일 때, 5년 후 지속하중에 의해 유발되는 장기처짐은?
70. 아래 그림과 같은 단면을 가지는 직사각형 단철근 보의 설계휨강도를 구할 때 사용되는 강도감소계수(ø) 값은 약 얼마인가? (단, As = 3176 mm2, fck = 38 MPa, fy = 400 MPa)(2022년 개정된 규정 적용됨)
71. 콘크리트 속에 뭍혀 있는 철근이 콘크리트와 일체가 되어 외력에 저항할 수 있는 이유로 틀린 것은?
72. 강도설계법에서 fck = 30 MPa, fy = 350 MPa 일 때 단철근 직사각형 보의 균형철근비(ρb)는?(2022년 개정된 규정 적용됨)
73. 2방향 슬래브 직접설계법의 제한상으로 틀린 것은?
74. 프리스트레스트 콘크리트의 원리를 설명하는 개념 중 아래의 표에서 설명하는 개념은?
75. 다음 중 용접부의 결함이 아닌 것은?
76. 부분적 프리스트레싱(Partial Prestressing)에 대한 설명으로 옳은 것은?
77. 강도설계법의 설계가정으로 틀린 것은?
78. 아래 그림과 같은 독립확대기초에서 1방향 전단에 대해 고려할 경우 위험단면의 계수전단력(Vu)는? (단, 계수하중 Pu = 1500 kN 이다.)
79. PS강재를 포물선으로 배치한 PSC보에서 상향의 등분포력(u)의 크기는 얼마인가? (단, P=2600kN, 단면의 폭(b)은 50cm, 높이()는 80cm, 지간 중앙에서 PS강재의 편심(s)은 20cm 이다.)
80. 순단면이 볼트의 구멍 하나를 제외한 단면(즉, A-B-C 단면)과 같돌고 피치(s)를 결정하면? (단, 구멍의 지름은 22mm 이다.)
5과목: 토질 및 기초
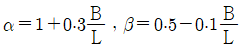
81. 흙의 활성도에 대한 설명으로 틀린 것은?
82. 그림과 같은 지반에서 유효응력에 대한 점착력 및 마찰각이 각각 c′ = 10 kN/m2, ø′ = 20° 일 때, A점에서의 전단강도는? (단, 물의 단위중량은 9.81 kN/m3 이다.)
83. 흙의 다짐에 대한 설명 중 틀린 것은?
84. 표준관입시험(SPT)을 할 때 처음 150mm 관입에 요하는 N값은 제외하고, 그 후 300mm 관입에 요하는 타격수로 N값을 구한다. 그 이유로 옳은 것은?
85. 연약지반 개량공법에 대한 설명 중 틀린 것은?
86. 흐트러지지 않은 시료를 이용하여 액성한계 40%, 소성한계 22.3%를 얻었다. 정규압밀점토의 압축지수(Cc)값을 Terzaghi 와 Peck의 경험식에 의하 구하면?
87. 다음 중 흙댐(Dam)의 사면안정 검토 시 가장 위험한 상태는?
88. 모래지층 사이에 두께 6m의 점토층이 있다. 이 점토의 토질시험 결과가 아래 표와 같을 때, 이 점토층의 90% 압밀을 요하는 시간은 약 얼마인가? (단, 1년은 365일로 하고, 물의 단위중량(γw)은 9.81 kN/m3이다.)
89. 5m×10m의 장방형 기초위에 q=60kN/m2의 등분포하중이 작용할 때, 지표면 아래 10m에서의 연직응력증가량(△σv)은? (단, 2:1 응력분포법을 사용한다.)
90. 도로의 평판 재하 시험방법(KS F 2310)에서 시험을 끝낼 수 있는 조건이 아닌 것은?
91. 그림에서 흙의 단면적이 40cm2 이고 투수계수가 0.1cm/s 일 때 흙 속을 통과하는 유량은?
92. Terzaghi 의 얕은 기초에 대한 수정지지력 공식에서 형상계수에 대한 설명 중 틀린 것은? (단, B는 단변의 길이, L은 장변의 길이이다.)
이다.93. 포화된 점토에 대하여 비압밀비배수(UU) 삼축압축시험을 하였을 때의 결과에 대한 설명으로 옳은 것은? (단, ø는 마찰각이고 c는 점착력이다.)
94. 흙의 동상에 영향을 미치는 요소가 아닌 것은?
95. 아래 그림에서 각 층의 손실수두 △h1, △h2, △h3를 각각 구한 값으로 옳은 것은? (단, k는 cm/s, H와 △h는 m 단위이다.)
96. 다짐되지 않은 두께 2m, 상대밀도 40%의 느슨한 사질토 지반이 있다. 실내시험결과 최대 및 최소 간극비가 0.80, 0.40으로 각각 산출되었다. 이 사질토를 상대밀도 70%까지 다짐할 때 두께는 얼마나 감소되겠는가?
97. 모래나 점토 같은 입상재료를 전단할 때 발생하는 다일러턴시(dilatancy) 현상과 간극수압의 변화에 대한 설명으로 틀린 것은?
98. 그림과 같이 수평지표면 위에 등분포하중 q가 작용할 때 연직옹벽에 작용하는 주동토압의 공식으로 옳은 것은? (단, 뒤채움 흙은 사질토이며, 이 사질토의 단위중량을 γ, 내부마찰각을 ø 라 한다.)




99. 기초의 구비조건에 대한 설명 중 틀린 것은?
100. 중심 간격이 2m, 지름 40cm 인 말뚝을 가로 4개, 세로 5개씩 전체 20개의 말뚝을 박았다. 말뚝 한 개의 허용지지력이 150kN이라면 이 군항의 허용지지력은 약 얼마인가? (단, 군말뚝의 효율은 Converse-Labarre 공식을 사용한다.)
6과목: 상하수도공학
101. 배수지의 적정 배치와 용량에 대한 설명으로 옳지 않은 것은?
102. 구형수로가 수리학상 유리한 단면을 얻으려 할 경우 폭이 28m라면 경심(R)은?
103. 활성탄흡착 공정에 대한 설명으로 옳지 않은 것은?
104. 상수도의 수원으로서 요구되는 조건이 아닌 것은?
105. 조류(algae)가 많이 유입되면 여과지를 폐쇄시키거나 물에 맛과 냄새를 유발시키기 때문에 이를 제거해야 하는데, 조류제거에 흔히 쓰이는 대표적인 약품은?
106. 다음 중 오존처리법을 통해 제거할 수 있는 물질이 아닌 것은?
107. 상수도 계통의 도수시설에 관한 설명으로 옳은 것은?
108. 하수 고도처리 중 하나인 생물학적 질소 제거 방법에서 질소의 제거 직전 최종형태(w질소제거의 최종산물)는?
109. 하수처리에 관한 설명으로 틀린 것은?
110. 장기 포기법에 관한 설명으로 옳은 것은?
111. 아래와 같이 구성된 지역의 총괄유출계수는?
112. 다음 상수도관의 관종 중 내식성이 크고 중량이 가벼우며 손실수두가 적으나 저온에서 강도가 낮고 열이나 유기용제에 약한 것은?
113. 급수량에 관한 설명으로 옳은 것은?
114. 하수처리계획 및 재이용계획의 계획오수량에 대한 설명 중 옳지 않은 것은?
115. 알칼리도가 30mg/L의 물에 황산알루미늄을 첨가했더니 20mg/L의 알칼리도가 소비되었다. 여기에 Ca(OH)2를 주입하여 알칼리도를 15mg/L로 유지하기 위해 필요한 Ca(OH)2는? (단, Ca(OH)2 분자량 74, CaCO3 분자량 100)
116. 하수관로의 유속 및 경사에 대한 설명으로 옳은 것은?
117. 하수처리수 재이용 기본계획에 대한 설명으로 틀린 것은?
118. 다음 펌프 중 가장 큰 비교회전도(Ns)를 나타내는 것은?
119. 다음 중 계획 1일 최대급수량을 기준으로 하지 않는 시설은?
120. 오수 및 우수의 배제방식인 분류식과 합류식에 대한 설명으로 틀린 것은?
σ = (q*d)/(2*t)
여기서 q는 내압, d는 지름, t는 벽두께이다.
따라서,
σ = (2*10^6*120)/(2*0.6) = 400*10^6/1.2 = 333.33*10^6 Pa = 333.33 MPa
하지만, 이 문제에서는 보기에 주어진 값 중에서 선택해야 한다. 따라서, 가장 가까운 값인 "200 MPa"를 선택해야 한다.