1과목: 전기전자공학(대략구분)
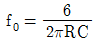
1. 위상천이(이상형) 발진회로의 발진주파수는? (단, R1=R2=R3=R이고, C1=C2=C3=C이다.)




2. 오실로스코프에 연결하여 파형을 측정하였을 때 측정파형이 다음 그림과 같았다. 최고점간(Peak to Peak) 전압(Vp-p)은 몇 [V]인가? (단, 프로브는 10:1을 사용하였다)
3. 정현파(사인파) 발진회로가 아닌 것은?
4. 주파수 안정도가 가장 높은 발진회로는?
5. 정류기의 평활회로는 어떤 종류의 여파기에 속하는가?
6. 동조회로에서 최대 이득을 얻기 위한 조건으로 옳은 것은? (단, 코일의 결합계수 k, 선택도 Q이다)
7. 빛의 변화로 전류 또는 전압을 얻을 수 없는 것은?
8. 다음 회로의 입력(Vi)에 구형파를 가하면 출력파형 (Vo)은?
9. 다음 회로에 입력 Vi 파형으로 펄스폭이 At[sec]인 구형파를 가할 때 출력 Vo파형은? (단, 회로의 시정수 RC는 입력파형의 펄스폭보다 훨씬 크다고 가정한다)
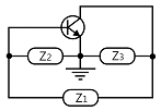
10. LC 발진회로에서 귀환회로에 3소자의 연결 형태에 따라 발진회로를 구분할 수 있다. 다음 발진회로의 발진 조건은? (단. 항상 Z1, Z2, Z3 소자는 부호가 같다고 가정한다.)
11. 다음 회로에 대한 설명으로 틀린 것은?
12. 저항 5[Ω], 용량성 리액턴스 4[Ω]이 병렬로 접속된 회로의 임피던스는 약 몇 [Ω]인가?
13. 다음 연산 증폭기의 전압 증폭도 Av는?




14. 7세그먼트로 표시장치(Seven-segment Display)의 용도로 적합한 것은?
15. JK 플립플롭을 이용한 동기식 카운터회로에서 어떻게 동작하는가?
2과목: 전자계산기일반(대략구분)
16. 하나의 집적회로(IC; Integrated Circuits) 속에 들어 있는 집적 소자의 개수가 10개 이하 범위에 속하는 집적회로는?
17. 순서도 사용에 대한 설명 중 틀린 것은?
18. 주소지정방식 중 명령어의 피연산자 부분에 데이터의 값을 저장하는 주소지정방식은?
19. 메모리부터 읽어낸 데이터나 기억장치에 쓸 데이터를 임시 보관하는 레지스터는?
20. 컴퓨터에서 2[KB]의 크기를 byte 단위로 표현하면?
21. 자료전송에 발생하는 에러(Error) 검출을 위하여 추가된 bit는?
22. 산술 및 논리연산의 결과를 일시적으로 기억하는 레지스터는?
23. 2진수 (1010)2의 1의 보수는?
24. 다음 그림과 같이 두 개의 게이트를 상호 접속할 때 결과로 얻어지는 논리게이트는?
25. 다음 중 고급 언어로 작성된 프로그램을 한꺼번에 번역하여 목적프로그램을 생성하는 프로그램은?
26. 주기억장치(RAM)와 중앙처리장치(CPU)의 속도 차이를 해소하기 위한 기억장치의 명칭은?
27. 중앙처리장치(CPU)의 구성 요소에 해당하지 않는 것은?
28. 다음 중 선입선출(FIFO) 동작을 하는 것은?
29. 다음 중 노트북 컴퓨터에 주로 사용되는 디스플레이장치로서, 현재는 데스크톱 형태의 컴퓨터, 전자계산기, 액정 TV 등에 폭넓게 사용되는 장치는?
30. 다음 기호의 명칭으로 옳은 것은?
3과목: 전자제도(CAD) 이론(대략구분)
31. 두 개의 입력값이 모두 참일 때 출력값이 참이 되는 논리 게이트는 어느 것인가?
32. 다음 중 능동 소자 부품의 기호는?




33. 도면의 크기와 양식에 대한 설명으로 틀린 것은?
34. 산업 규모가 커지고 제품의 대량 생산화와 더불어 원활한 산업활동과 국가 간의 교류 및 공동의 이익을 얻기 위하여 표준규격을 제정하고 있다. 이와 같이 표준규격을 제정함으로써 나타나는 특징이 아닌 것은?
35. 한쪽 측면에만 리드(Lead)가 있는 패키지 소자는?
36. 두 도체로 된 전극 또는 금속편 사이에 각종 유전 물질을 채운 전자 소자의 명칭은?
37. 반도체 부품의 패키지 형태로 볼 수 없는 것은?
38. 국가별 산업표준규격을 나타내는 표준약호(Code)로 틀린 것은?
39. IPC(Institute for Interconnecting & Packaging Electronic Circuits)에서는 검사기준에 차등을 두기 위해 전자제품을 4등급으로 분류하는데 그 분류가 잘못된 것은?
40. 정격의 특성을 색으로 표시할 때 보라색으로 표시하는 숫자는?
41. 마일러 콘덴서 104[K]의 용량값은 얼마인가?
42. 컴퓨터 지원 설계의 약자로 옳은 것은?
43. 설계자의 의도를 작업자에게 정확히 전달시켜 요구하는 물품을 만들게 하기 위해 사용되는 도면은?
44. 컴퓨터에 그림이나 도형의 위치 관계를 부호화하여 입력하는 장치로서 평면판과 펜으로 구성되어 있는 장치는?
45. PCB 도면을 그래픽 출력장치로 인쇄할 경우 프린트 기판에 부품 정보를 나타내는 도면은?
46. CAD 시스템을 도입하는 목적으로 틀린 것은?
47. 인쇄회로 기판 설계 시 전원선의 도체의 너비를 구하는 기준으로 옳은 것은?(오류 신고가 접수된 문제입니다. 반드시 정답과 해설을 확인하시기 바랍니다.)
48. 레이저 빔 프린터와 같은 고속 프린터의 속도를 표시할 때 사용하는 단위는?'
49. 저항값이 낮은 저항기로 대전력용으로 사용되며 표준 저항기 등의 고정밀 저항기로 사용되는 저항으로 옳은 것은?
50. 리드(Lead)가 없는 반도체 칩을 범프(Bump, 돌기)를 사용하여 PCB 기판에 직접 실장하는 방법을 말하는 것은?
51. PCB 설계 시 사용되는 단위에 관한 것이다. ( ) 안에 알맞은 숫자는?
52. 전자 CAD로 작업한 파일을 저장할 수 있는 장치는?
53. 다음의 내용에서 설명하는 명령어는?
54. 다음은 양면 PCB 제조공정의 주요 단계를 순서 없이 늘어놓은 것이다. 제조공정의 순서로 올바른 것은?
55. PCB 설계 시 배선의 전기적 특성과 노이즈 개선방법을 틀린 것은?
56. CAD용 소프트웨어의 구성이라고 볼 수 없는 것은?
57. 기판 재료 용어를 설명한 것 중 표면에 도체 패턴을 형성할 수 있는 절연 재료를 의미하는 것은?
58. PCB 제작 시 필름의 치수변화를 최소화하기 위한 조치로서 바르지 못한 것은?
59. CAD로 직선을 그리는 경우 좌표 원점으로부터 거리를 나타내며 (X, Y)로 표시하는 것은?
60. 패턴 설계 시 고려해야 할 상황이 아닌 것은?