1과목: 식품위생학
1. 식품공장의 작업장 구조와 설비를 설명한 것 중 틀린 것은?
2. 아질산염과 식품중의 제2급 아민이 산성에서 반응하여 생성되는 발암성 물질은?
3. 인체의 감염경로는 경구감염과 경피감염이며, 대변과 함께 배출된 충란은 30℃ 전후의 온도에서 부화하여 인체에 감염성이 강한 사상유충이 되고, 노출된 인체의 피부와 접촉으로 감염되어 소장상부에서 기생하는 기생충은?
4. 카드뮴(Cd) 중독현상에 대한 설명으로 틀린 것은?
5. 식품위생상 역성비누의 사용이 부적합한 경우는?
6. 식품의 조리 및 가공중이나 유기물질이 불완전 연소되면서 생성되는 유해물질과 관계 깊은 것은?
7. 식품첨가물공전 총칙 상 표준온도는?
8. 질병과 관련이 없는 동물의 연결은?
9. Q열(Q-fever)의 병원체는?
10. 식품첨가물공전상 식품첨가물 분류가 아닌 것은?
11. 식품의 생산, 가공, 저장 중 생성되는 에틸카바메이트에 대한 설명으로 틀린 것은?
12. 알레르기성 식중독을 일으키는 원인 물질은?
13. 식중독 발생 시 역학조사 방법으로 타당하지 않는 것은?
14. 1982년 미국에서 햄버거를 먹고 일어난 식중독 사건에서 처음 발견되었고, 1996년에는 일본에서 대규모 집단 식중독이 발생하여 사회적 문제가 된 장관출혈성 대장균이 대표적인 혈청 분류 번호는?
15. 황색포도상구균에 대한 설명으로 틀린 것은?
16. 간디스토마의 제1중간숙주는?
17. 임산부에게 감염되면 유산이나 조산을 일으키기도 하는 기생충은?
18. 굴, 모시조개에 의한 식중독의 독성분은?
19. 식품첨가물 중 보존료가 아닌 것은?
20. 독버섯의 유독성분이 아닌 것은?
2과목: 식품화학
21. 거품과 관련된 설명 중 틀린 것은?
22. 철(Fe)에 대한 설명으로 틀린 것은?
23. 글루타티온(glutathione)에 관련된 설명 중 옳은 것은?
24. 지방산화 메커니즘에 대한 설명 중 틀린 것은?
25. 전단응력이 전단속도에 정비례하는 형태의 뉴톤 유체(Newtonian fluid)가 아닌 것은?
26. 전분에 대한 설명으로 틀린 것은?
27. 체온보다 낮은 온도에서는 별로 변화가 없으나 체온보다 높은 온도에서는 온도가 높을수록 역가(threshold)가 올라가는 대표적인 맛 성분은?
28. 유중 수적형(W/O) 교질상 식품은 무엇인가?
29. 쇠고기의 맛난 맛 성분인 5-inosinic acid의 전구물질(precursir)은?
30. 천연 검질 물질 중 미생물에서 얻어지는 것은?
31. 다음 provitamin A중 Vitamin A의 효과가 가장 큰 것은?
32. 우유에 대한 설명으로 옳은 것은?
33. 아래의 화학구조와 관련된 설명으로 옳은 것은?
34. 다음 식품 중 매운 향미 성분 형성 효소가 나머지 셋과 다른 것은?
35. 고메톡실 펙틴은 메톡실 함량이 일반적으로 몇 % 정도인가?
36. 맥주를 제조함에 있어 전분을 발효성 당으로 분해하며 전분에 의한 혼탁을 제거할 목적으로 이용되는 효소는?
37. 마이야르반응에 의해 발생하지 않는 휘발성분은?
38. 생선이 변질되면서 생성되는 불쾌취가 아닌 것은?
39. 길이 10.1㎝인 껌을 시중에서 구입한자(measure)를 이용하여 5회 측정하였다. 그 값은 각각 7.79, 7.82, 7.79, 7.81, 7.80 ㎝이었다. 이와 같은 경우의 분석 결과는 어떻게 해석할 수 있는가?
40. 관능검사의 차이식별검사 방법을 크게 종합적차이검사와 특성차이검사로 나눌 때 종합적차이검사에 해당하는 것은 ?
3과목: 식품가공학
41. 유지를 추출하기 위한 유기용제의 구비조건으로 잘못된 것은?
42. 1냉동톤(ton of refrigeration)의 정의로 옳은 것은?
43. 글루텐(gluten)과 전분이 고착되는 것을 방지하며, 제품의 부서짐성을 높이고 촉감을 좋게 하는 성질은?
44. 우유단백질 중 카제인(casein)을 응고시키는 효소는?
45. 건강기능식품과 관련된 건강기능성에 대한 설명으로 틀린 것은?
46. 현미를 백미로 도정할 때 쌀겨층에 해당되지 않는 것은?
47. 식육가공품 및 포장육에 해당하지 않는 것은?
48. 멸치젓 제조 시 소금으로 절여 발효할 때 나타나는 현상이 아닌 것은?
49. 질소치환포장을 통해 얻을 수 있는 이점이 아닌 것은?
50. D121이 0.24분, z값이 10℃인 Clostridium botulinum 포자를 115℃에서 가열살균하려고 한다. 가열살균지수 m = 12로 한다면 가열치사 시간 F115는 얼마인가?
51. 다음 중 C.A. 저장온도로 가장 적합한 것은?
52. 두부 제조에 사용되는 식품첨가물에 대한 설명으로 틀린 것은?
53. 달걀의 저장 중에 일어나는 현상이 아닌 것은?
54. 마요네즈 제조에 적용되는 가장 중요한 물리화학적 원리는?
55. 통조림 내에서 가장 늦게 가열되는 부분으로, 가열살균 공정에서 오염미생물이 확실히 살균되었는가를 평가 하는데 이용되는 것은?
56. 401-1호관 통조림에 있어서 고형량 500g, 내용총량 851g, 과실의 당 함량 9%, 통조림제품의 규정당도 18%이상일 때 주입당액의 농도는 약 얼마인가? (단, 안전성을 3%로 계산한다.)
57. 탈지분유의 제조공정순서로 맞는 것은?
58. GMO에 대한 설명으로 틀린 것은?
59. 전란분(whole egg powder)이나 난백분(egg white powder)을 건조하여 제조한 제품의 색깔, 점성 등 제품의 품질이 떨어져 있다. 이는 공정상의 어떤 문제가 주원인으로 작용하는가?
60. 냉각된 브라인(brine)을 흘려 냉각한 금속판 사이에 피동결물을 끼워서 동결하는 방법은?
4과목: 식품미생물학
61. 일반적으로 할로겐 원소 등의 살균제에 대하여 가장 강한 내성을 가지고 있는 것은?
62. 전분(starch)의 비환원성 말단에서 포도당 단위로 끊어내는 당화형 효소는?
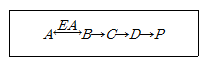
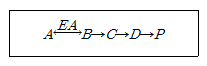
63. 독립영양균과 종속영양균에 대한 설명으로 옳은 것은?
64. 엽록소를 갖는 조류기가 주로 행하는 반응은?
65. 글루탐산 등과 같은 아미노산 생산에 사용되고 있는 세균?
66. 아래의 대사경로에서 최종 생산물 P가 배지에 다량 축적되었을 때 A→B로 되는 반응에 관여하는 효소 EA의 작용을 저해시키는 것을 무엇이라고 하는가?
67. 일반적인 버섯의 감별법으로 잘못된 것은?
68. 세균의 DNA가 파아지(phage)에 혼합된 후 이 파아지(phage)가 다른 세균에 침입하여 세균의 유전적 성질을 변화시키는 현상은?
69. 실모양의 균사가 분지하여 방사상으로 성장하는 특징이 있는 미생물로 다양한 항생물질을 생산하는 균은?
70. 과일이나 채소를 부패시킬 뿐만 아니라 보리나 옥수수와 같은 곡류에서 zearalenone이나 fumonisin등의 독소를 생산하는 곰팡이는?
71. 특정유전자 서열에 대하여 상보적인 염기서열을 갖도록 합성된 짧은 DNA 조각을 일컫는 용어는?
72. 미생물 생육인자(growth factor)에 대한 설명으로 틀린 것은?
73. 파아지(phage)에 대한 설명으로 옳은 것은?
74. 다음 중 그람 양성 세균은?
75. 현미경에 배율이 10배인 대안렌즈와 배율이 45배인 대물렌즈를 썼을 때 전체적인 배율은?
76. 락타아제(lactase)를 생산하는 균이 아닌 것은?
77. 용원 파아지의 생활사(life cycle)로 옳은 것은?
78. 어류에 곡류를 첨가하여 젖산발효시킨 식품은?
79. 왓슨 (Watson)과 크릭(Crick)이 처음으로 발견한 DNA의 구조는?
80. 다음 중 효모의 생육억제 효과가 가장 큰 것은?
5과목: 생화학 및 발효학
81. Mucor pusillus가 생산하는 응유효소에 대한 설명으로 틀린 것은?
82. 비타민 B12에 대한 설명으로 틀린 것은?
83. 생체 내 글리코겐 대사에 대한 설명으로 틀린 것은?
84. 연속배양의 장점이 아닌 것은?
85. 원유에서 유황 성분을 제거하는 미생물에 의한 방법이 아닌 것은?
86. 균체내 효소를 추출하는 방법으로 부적합한 것은?
87. 비타민과 보효소의 연결이 잘못된 것은?(오류 신고가 접수된 문제입니다. 반드시 정답과 해설을 확인하시기 바랍니다.)
88. DNA로부터 단백질 합성까지의 과정에서 t-RNA의 역할에 대한 설명으로 옳은 것은?
89. 영양요구성 변이주를 이용하여 아미노산을 생성하는 주요 이유는?
90. 토양으로부터 두 종류의 미생물 A와 미생물 B를 분리하여 DNA 중 GC 함량을 분석해 보니 각각 70% 와 54 % 이었다. 미생물들의 각 염기조성은?
91. 고체배양에 대한 설명으로 틀린 것은?
92. 와인(과실주) 제조과정에 아황산을 첨가했을 때 과즙 중 존재하는 아황산 형태로 가장 많은 것은?
93. 지질 합성에 관한 설명으로 틀린 것은?(오류 신고가 접수된 문제입니다. 반드시 정답과 해설을 확인하시기 바랍니다.)
94. 항생물질을 추출하는 방법이 아닌 것은?
95. 효소의 비활성도(specific activity)를 구하는 방법은?
96. 광합성 중 암반응에서 CO2를 탄수화물로 환원시키는데 필요한 것은?
97. 알코올발효의 원료로 전분을 이용할 경우 곰팡이 효소를 이용하는 방법은?
98. 단백질의 1차 구조에 대한 설명으로 옳은 것은?
99. 사람과 원숭이가 비타민 C를 합성하지 못하는 이유는?
100. 아미노산의 탈아미노반응으로 유리된 NH3의 대사경로가 아닌 것은?