1과목: 전기응용 및 공사재료
1. 납축전지의 화학 반응식으로 ( )에 해당하는 것은?
2. 다이오드 클램퍼(clamper)의 용도는?
3. 직류전동기의 기동방식으로 적합한 것은?
4. 전동기의 제동시 전원을 끊고 전동기를 발전기로 동작시켜 이때 발생하는 전력을 저항에 의해 열로 소모시키는 제동법은?
5. 반구면 광원의 상반구 광속이 1000[lm], 하반구 광속은 3000[lm]이다. 평균 구면 광도는 약 몇 [cd]인가?
6. 자기소호 기능을 갖는 소자는?
7. 단상 교류식 전기철도에서 통신선에 발생하는 유도 장해를 경감하기 위하여 사용되는 것은?
8. 완전 확산면의 휘도(B)와 광속 발산도(R)의 관계식은?
9. 15[℃]의 물 4[L]를 1[kW]의 전열기를 사용하여 90[℃]로 가열하는데 30분 걸렸다. 이 전열기의 효율은 약 몇 [%]인가? (단, 증발은 없는 것으로 한다.)
10. 전기 저항 온도계의 저항체로 주로 사용되는 것은?
11. 보호계전기의 종류가 아닌 것은?
12. 공기전지의 특징이 아닌 것은?
13. EL 램프의 특징이 아닌 것은?
14. 철근 콘크리트주에 완금을 취부할 때 사용하는 부속재는?
15. 다음 중 옥내배선의 가는 전선을 박스 안에서 접속하는데 사용하는 슬리브는?
16. 전선 이상온도 검지장치에 사용되는 검지선의 규격으로 적합하지 않은 것은?
17. 전기기기 절연계급의 종류별 최고 허용온도에 대한 규정으로 잘못된 것은?
18. 노출공사에 사용되는 금속관을 조영재에 부착하는 재료는?
19. 버스 덕트 배선에서 덕트의 최대 폭(mm)과 강판의 두께(mm)가 틀린 것은?
20. 방전등에 속하지 않는 것은?
2과목: 전력공학
21. 전압강하율이 10[%]인 단거리 배전선로가 있다. 송전단의 전압이 100[V]일 때 수전단의 전압은 약 몇[V]인가?
22. 각 수용가의 수용설비용량이 50[kW], 100[kW], 80[kW], 60[kW], 150[kW]이며, 각각의 수용률이 0.6, 0.6, 0.5, 0.5, 0.4일 때 부사의 부등률이 1.3이라면 변압기 용량은 약 몇 [kVA]가 필요한가? (단, 평균 부하역률은 80% 라고 한다.)
23. 다음 주 개폐 서지의 이상전압을 감쇄 할 목적으로 설치하는 것은?
24. 단락점까지의 전선 한 가닥의 임피던스가 Z=6+j8[Ω](전원포함), 단락 전의 단락점 전압이 22.9[kV]인 단상 2선식 전선로의 단락용량은 몇 [kVA]인가? (단, 부하전류는 무시한다.)
25. GIS(Gas Insulated Switch Gear)를 채용할 때, 다음 중 틀린 것은?
26. 3상3선식에서 선간거리가 각각 50[cm], 60[cm], 70[cm]인 경우 기하평균 선간거리는 몇 [cm]인가?
27. 직접접지방식이 초고압 송전선에 채용되는 이유 중 가장 적당한 것은?
28. Recloser(R), Sectionalizer(S), Fuse(F)의 보호협조에서 보호협조가 불가능한 배열은? (단, 왼쪽은 후비보호, 오른쪽은 전위보호 역할임)
29. 송전선로에 복도체를 사용하는 주된 이유는?
30. 중거리 송전선로의 T형 회로에서 송전단 전류 I3는? (단, Z,Y는 선로의 직렬 임피던스와 병렬 어드미턴스이고, Er은 수전단 전압, Ir은 수전단 전류이다.)




31. 펌프의 양수량Q[m3/sec], 유효 양정 Hu[m], 펌프의 효율 ῃp전동기의 효율 ῃm일 때, 양수발전기의 출력[kW]은?




" 이다.32. 무부하시의 충전전류 차단만이 가능한 것은?
33. 전력계통의 주파수 변동의 원인 중 가장 큰 영향을 미치는 것은?
34. 수차를 돌리고 나온 물이 흡출관을 통과할 때 흡출관의 중심부에 진공상태를 형성하는 현상은?
35. 화력발전소에서 증기 및 급수가 흐르는 순서는?
36. 고압 배전선로의 중간에 승압기를 설치하는 주목 적은?
37. 전원이 양단에 있는 환상선로의 단락보호에 사용되는 계전기는?
38. 변전소에서 비접지 선로의 접지보호용으로 사용되는 계전기에 영상전류를 공급하는 것은?
39. 송전선로에서 1선 지락의 경우 지락전류가 가장 작은 중성점 접지방식은?
40. 1선 1km당의 코로나 손실 P[kW]를 나타내는 Peek식은? (단, δ : 상대공기밀도, D : 선간거리cm], d : 전선의 지름[cm], f: 주파수[Hz], E : 전선에 걸리는 대지전압[kV], E0 : 코로나 임계전압[kV]이다.)




"이다. 이유는 Peek식에서 분자에는 전선에 걸리는 대지전압(E)의 제곱이 있고, 분모에는 전선 지름(d)과 주파수(f)의 곱이 있기 때문이다. 이는 전선 지름이 작고 주파수가 높을수록 코로나 손실이 증가하기 때문이다. 또한, 상대공기밀도(δ)와 선간거리(D)는 코로나 손실과는 관련이 없다.3과목: 전기기기
41. 정격이 5[kW], 100[V], 1800[rpm]인 타여자 직류 발전기가 있다. 무부하시의 단자전압은? (단, 계자전압 50[V], 계자전류 5[A], 전기가 저항 0.2[Ω] 브러시의 전압강하는 2[V]이다.)
42. 대형 직류 전동기의 토크를 측정하는데 가장 적당한 방법은?
43. 전기차 도체의 굵기, 권수가 모두 같을 때 단중 중권에 비해 단중 파권 권선의 이점은?
44. A, B 2대의 동기발전기를 병렬 운전할 때 B발전기의 여자전류를 증가시키면?
45. 보극이 없는 직류기에서 브러시를 부하에 따라 이동시키는 이유는?
46. 다음 중 VVVF 제어방식으로 가장 적당한 전동기는?
47. 유도전동기의 2차 여자제어법에 대한 설명으로 틀린 것은?
48. 1차 전압 2200[V], 무부하 전류 0.088[A], 철손 110[W]인 단상 변압기의 자화 전류는 약 몇 [A]인가?
49. 75[W] 정도 이하의 소출력 단상 직권정류자 전동기의 용도로 적합하지 않는 것은?
50. 돌극형 동기발전기에서 직축 동기 리액턴스를 Xd, 횡축동기 리액턴스를 Xq라 할 때의 관계는?
51. 반도체 정류기에서 첨두 역방향 내전압이 가장 큰 것은?
52. 동기 각속도 w0, 회전자 각속도 w인 유도전동기의 2차 효율은?




53. 다음 권선법 중 직류기에서 주로 사용되는 것은?
54. 변압기 1차측 사용 탭이 6300 [V]인 경우 2차측 전압이 110[V]였다면 2차측 전압을 약 120[V]로 하기 위해서는 1차측의 탭을 몇 [V]로 해야 되는가?
55. 동일 용량의 변압기 두 대를 사용하여 11000[V]의 3상식 간선에서 440[V]의 2상 전력을 얻으려면 T좌 변압기의 권수비는 약 얼마로 해야 되는가?
56. 유도전동기와 직결된 전기동력계의 부하전류를 증가하면 유도전동기의 속도는?
57. 동기전동기에 설치된 제동권선의 효과로 맞지 않는 것은?
58. 반도체 사이리스터로 속도 제어를 할 수 없는 것은?
59. 동기 조상기의 회전수는 무엇에 의하여 결정되는가?
의 속도
의 속도"에 의하여 결정된다. 이는 동기 조상기의 회전자와 회전자 주변의 자기장 사이에서 발생하는 전자기력에 의해 결정되기 때문이다. 회전자의 속도가 빠를수록 전자기력이 커져 회전수가 증가하게 된다. 따라서 "
의 속도"가 동기 조상기의 회전수를 결정하는 중요한 요소이다.60. 정격이 같은 2대의 단상변압기 1000[kVA]의 임피던스 전압은 각각 8[%]와 7[%]이다. 이것을 병렬로 하면 몇 [kVA]의 부하를 걸 수가 있는가?
4과목: 회로이론 및 제어공학
61. 어떤 회로에 100 + j20[V]인 전압을 가할 때 4 +j3[A]인 전류가 흐른다면 이 회로의 임피던스[Ω]는?
62. 불평형 3상 전류가 Ia=16+j2[A], Ib=-20-j9[A], Ic=-2+j10[A]일 때 영상분 전류[A]는?
63. 단자 a, b 간에 25[V]의 전압을 가할 때, 5[A]의 전류가 흐른다. 저항 r1, r2에 흐르는 전류비가 1:3일 때 r1, r2의 값은?
64. 송전선로가 무손실 선로일 때 L=96[mH]이고, C=0.6[μF]이면 특성임피던스[Ω]는?
65. 테브낭 정리를 사용하여 그림(a)의 회로를 그림 (b)와 같이 등가회로로 만들고자 할 때 V[V]와 R[Ω]의 값은?
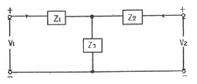
66. 다음과 같은 T형 회로의 임피던스 파라미터 Z22의 값은?
67. 그림과 같은 파형의 파고율은?
68. 어떤 회로에서 유효전력 80[W], 무효전력 60[Var]일 때 역률은?
69. 저항이 40[Ω], 인덕턴스가 79.58[mH]인 R-L직렬회로에 311 sin(377t+30˚)[V]의 전압을 가할 때 전류의 순시값[A]은 약 얼마인가?
70. 각상의 임피던스 Z=6 + j8[Ω]인 평형 Δ부하에 선간 전압이 220[V]인 대칭 3상 전압을 가할 때 선전류는 약 몇 [A]인가?
71. 그림과 같은 블록선도로 표시되는 제어계는?
72. 나이퀴스트 선도에서의 임계점(-1, j0)는 보드 선도에서 대응하는 이득[dB]과 위상은?
73. 루프 전달함수가 다음과 같은 제어계의 실수축 상의 근궤적 범위는? (단, K>0)
74. 그림과 같은 신호흐름선도에서 C/R를 구하면?




"입니다.75. 그림과 같은 RC회로에서 RC≪1인 경우 어떤 요소의 회로인가?
76. 상태방정식 x=Ax(t)+Bu(t)에서
인 시스템의 안정도는 어떠한가?(문제 오류로 실제 시험에서는 모두 정답처리 되었습니다. 여기서는 1번을 누르면 정답 처리 됩니다.)
77. 다음 설명 중 틀린 것은?
78. 서보모터의 특징으로 틀린 것은?
79. 자동제어계의 기본적 구성에서 제어요소는 무엇으로 구성되는가?
80.
의 이득 여유가 20[dB]일 때 K값은? (단, w=0이다.)
5과목: 전기설비기술기준 및 판단기준
81. 가공 전선로에 사용하는 지지물의 강도 계산에 적용하는 풍압하중 중 병종풍압하중은 갑종풍압하중에 대한 얼마의 풍압을 기초로 하여 계산한 것인가?
82. 시가지에 시설하는 154[kV] 가공전선로에는 지락 또는 단락이 발생한 경우 몇 초 이내에 자동적으로 이를 전로로부터 차단하는 장치를 설치하여야 하는가?
83. 제2종 접지공사를 시설하여야 하는 것은?
84. 전기철도용 변전소 이외의 변전소의 주요 변압기에 계측 장치가 꼭 필요하지 않은 것은?
85. 최대 사용전압 15[V]를 넘고 30V] 이하인 소세력회로에 사용하는 절연변압기의 2차 단락전류 값이 제한을 받지 않을 경우는 2차측에 시설하는 과전류 차단기의 용량이 몇 [A] 이하일 경우인가?
86. 고압 가공전선이 케이블인 경우 가공전선과 안테나 사이의 이격거리는 몇 [cm] 이상인가?
87. 고압 가공전선로의 지시물에 첨가한 통신선을 횡단보도교위에 시설하는 경우 그 노면상의 높이는 몇[m] 이상으로 하여야 하는가?
88. 가공공동지선에 의한 제2종 접지공사에 있어 가공 공동지선과 대지간의 합성 전기저항 값은 몇 [m]를 지름으로 하는 지역마다 규정하는 접지 저항값을 가지는 것으로 하여야 하는가?
89. 고압 가공인입선의 높이는 그 아래에 위험표시를 하였을 경우에 지표상 몇 [m] 까지로 감할 수 있는가?
90. 옥내전로의 대지전압 제한에 관한 규정으로 주택의 전로인입구에 절연변압기를 사람이 쉽게 접촉할 우려가 없이 시설하는 경우 정격용량이 몇 [kVA] 이하일 때 인체보호용 누전차단기를 시설하지 않아도 되는가?
91. 옥내에 시설되는 전동기가 소손될 우려가 있는 경우 과전류가 생겼을 때 자동으로 차단하거나 경보를 발생하는 장치를 시설하여야 한다. 이 규정에 적용되는 전동기 정격 출력의 최소값은?
92. 도로에 시설하는 가공 직류 전차선로의 경간은 몇[m]이하로 하여야 하는가?
93. 고압 지중전선이 지중 약전류전선 등과 접근하거나 교차하는 경우에 상호의 이격거리가 몇 [cm]이하인 때에는 두 전선이 직접 접촉하지 아니하도록 조치 하여야 하는가?
94. 사용전압이 35kV 이하인 특고압 가공전선과 가공 약전류 전선 등을 동일 지지물에 시설하는 경우, 특고압 가공전선로는 어떤 종류의 보안공사로 하여야 하는가?
95. 변압기 1차측 3300[V], 2차측 220[V]의 변압기 전로의 절연내력시험 전압은 각각 몇 [V]에서 10분간 견디어야 하는가?
96. 제1종 특고압 보안공사에 의해서 시설하는 전선로의 지지물로 사용할 수 없는 것은?
97. 폭연성 분진 또는 화약류의 분말이 전기설비가 발화원이 되어 폭발할 우려가 있는 곳의 저압 옥내 전기 설비는 어느 공사에 의하는가?
98. 철주를 강관에 의하여 구성되는 사각형의 것일 때 갑종 풍압하중을 계산하려 한다. 수직 투영면적 1[m2]에 대한 풍압하중은 몇 [Ps]를 기초하여 계산하는가?
99. 저압 옥내간선의 전원 측 전로에는 그 저압 옥내간선을 보호할 목적으로 어느 것을 시설하여야 하는가?
100. 버스 덕트 공사에 덕트를 조영재에 붙이는 경우 지지점간의 거리는?