1과목: 산업안전관리론
1. 안전관리에 있어 5C 운동(안전행동 실천운동)에 속하지 않는 것은?
2. 연평균 200명의 근로자가 작업하는 사업장에서 연간 2건의 재해가 발생하여 사망이 2명, 50일의 휴업일수가 발생했을 때, 이 사업장의 강도율은? (단, 근로자 1명당 연간근로시간은 2400시간으로 한다.)
3. 산업안전보건법령상 안전보건표지의 색채와 색도기준의 연결이 옳은 것은? (단, 색도기준은 한국산업표준(KS)에 따른 색의 3속성에 의한 표시방법에 따른다.)
4. 위험예지훈련의 문제해결 4단계(4R)에 속하지 않는 것은?
5. 산업안전보건법령상 건설업의 경우 안전보건관리규정을 작성하여야 하는 상시근로자수 기준으로 옳은 것은?
6. 작업자가 기계 등의 취급을 잘못해도 사고가 발생하지 않도록 방지하는 기능은?
7. 시설물의 안전 및 유지관리에 관한 특별법상 다음과 같이 정의되는 것은?
8. 재해의 분석에 있어 사고유형, 기인물, 불안전한 상태, 불안전한 행동을 하나의 축으로 하고, 그것을 구성하고 있는 몇 개의 분류 항목을 크기가 큰 순서대로 나열하여 비교하기 쉽게 도시한 통계 양식의 도표는?
9. 산업안전보건법령상 안전관리자의 업무에 명시되지 않은 것은?
10. 재해조사 시 유의사항으로 틀린 것은?
11. 재해발생의 간접원인 중 교육적 원인에 속하지 않는 것은?
12. 산업안전보건법령상 산업안전보건관리비 사용명세서는 건설공사 종료 후 얼마간 보존해야 하는가? (단, 공사가 1개월 이내에 종료되는 사업은 제외한다.)
13. 보호구 안전인증 고시상 성능이 다음과 같은 방음용 귀마개(기호)로 옳은 것은?
14. 산업안전보건기준에 관한 규칙상 지게차를 사용하는 작업을 하는 때의 작업 시작 전 점검사항에 명시되지 않은 것은?
15. 산업안전보건법령상 산업안전보건위원회의 심의·의결사항에 명시되지 않은 것은? (단, 그 밖에 해당 사업장 근로자의 안전 및 보건을 유지·증진시키기 위하여 필요한 사항은 제외)
16. 재해손실비 중 직접비에 속하지 않는 것은?
17. 버드(F. Bird)의 사고 5단계 연쇄성 이론에서 제3단계에 해당하는 것은?
18. 브레인스토밍(Brain Storming) 4원칙에 속하지 않는 것은?
19. 산업안전보건법령상 안전인증대상기계등에 명시되지 않은 것은?
20. 안전관리조직의 유형 중 라인형에 관한 설명으로 옳은 것은?
2과목: 산업심리 및 교육
21. 정신상태 불량에 의한 사고의 요인 중 정신력과 관계되는 생리적 현상에 해당되지 않는 것은?
22. 선발용으로 사용되는 적성검사가 잘 만들어졌는지를 알아보기 위한 분석방법과 관련이 없는 것은?
23. 상황성 누발자의 재해유발 원인과 가장 거리가 먼 것은?
24. 생산작업의 경제성과 능률제고를 위한 동작경제의 원칙에 해당하지 않는 것은?
25. 매슬로우(Maslow)의 욕구 5단계를 낮은 단계에서 높은 단계의 순서대로 나열한 것은?
26. 강의계획 시 설정하는 학습목적의 3요소에 해당하는 것은?
27. 집단과 인간관계에서 집단의 효과에 해당하지 않는 것은?
28. 안전보건교육의 단계별 교육 중 태도교육의 내용과 가장 거리가 먼 것은?
29. O.J.T(On the Job Training)의 장점이 아닌 것은?
30. 인간의 심리 중에는 안전수단이 생략되어 불안전 행위를 나타내는 경우가 있다. 안전수단이 생략되는 경우로 가장 적절하지 않은 것은?
31. 산업안전심리학에서 산업안전심리의 5대 요소에 해당하지 않는 것은?
32. 구안법(project method)의 단계를 올바르게 나열한 것은?
33. 산업안전보건법령상 근로자 안전·보건교육에서 채용 시 교육 및 작업내용 변경 시의 교육에 해당하는 것은?
34. 학습이론 중 S-R 이론에서 조건반사설에 의한 학습이론의 원리에 해당되지 않는 것은?
35. 허시(Hersey)와 브랜차드(Blanchard)의 상황적 리더십 이론에서 리더십의 4가지 유형에 해당하지 않는 것은?
36. 안전교육 훈련의 기술교육 4단계에 해당하지 않는 것은?
37. 휴먼에러의 심리적 분류에 해당하지 않는 것은?
38. 다음 설명에 해당하는 안전교육방법은?
39. 다음은 리더가 가지고 있는 어떤 권력의 예시에 해당하는가?
40. 몹시 피로하거나 단조로운 작업으로 인하여 의식이 뚜렷하지 않은 상태의 의식 수준으로 옳은 것은?
3과목: 인간공학 및 시스템안전공학
41. 불필요한 작업을 수행함으로써 발생하는 오류로 옳은 것은?
42. 동작경제의 원칙에 해당하지 않는 것은?
43. 컷셋(Cut Sets)과 최소 패스셋(Minimal Path Sets)의 정의로 옳은 것은?
44. 다음 시스템의 신뢰도 값은?
45. Chapanis가 정의한 위험의 확률수준과 그에 따른 위험발생률로 옳은 것은?
46. 화학설비에 대한 안전성 평가 중 정성적 평가방법의 주요 진단 항목으로 볼 수 없는 것은?
47. 불(Boole) 대수의 정리를 나타낸 관계식으로 틀린 것은?

48. 인체측정 자료를 장비, 설비 등의 설계에 적용하기 위한 응용원칙에 해당하지 않는 것은?
49. 작업공간의 배치에 있어 구성요소 배치의 원칙에 해당하지 않는 것은?
50. 인간의 위치 동작에 있어 눈으로 보지 않고 손을 수평면상에서 움직이는 경우 짧은 거리는 지나치고, 긴 거리는 못 미치는 경향이 있는데 이를 무엇이라고 하는가?
51. 다음 현상을 설명한 이론은?
52. 시각적 표시장치보다 청각적 표시장치를 사용하는 것이 더 유리한 경우는?
53. 서브시스템, 구성요소, 기능 등의 잠재적 고장형태에 따른 시스템의 위험을 파악하는 위험 분석 기법으로 옳은 것은?
54. 정신작업 부하를 측정하는 척도를 크게 4가지로 분류할 때 심박수의 변동, 뇌 전위, 동공 반응 등 정보처리에 중추신경계 활동이 관여하고 그 활동이나 징후를 측정하는 것은?
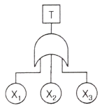
55. 그림과 같은 FT도에서 정상사상 T의 발생 확률은? (단, X1, X2, X3의 발생 확률은 각각 0.1, 0.15, 0.1 이다.)
56. 인간이 기계보다 우수한 기능이라 할 수 있는 것은? (단, 인공지능은 제외한다.)
57. 시스템의 수명 및 신뢰성에 관한 설명으로 틀린 것은?
58. 산업안전보건법령상 해당 사업주가 유해위험방지계획서를 작성하여 제출해야하는 대상은?
59. 작업면상의 필요한 장소만 높은 조도를 취하는 조명은?
60. 자동차를 생산하는 공장의 어떤 근로자가 95 dB(A)의 소음수준에서 하루 8시간 작업하며 매 시간 조용한 휴게실에서 20분씩 휴식을 취한다고 가정하였을 때, 8시간 시간가중평균(TWA)은? (단, 소음은 누적소음노출량측정기로 측정하였으며, OSHA에서 정한 95dB(A)의 허용시간은 4시간이라 가정한다.)
4과목: 건설시공학
61. 시공의 품질관리를 위한 7가지 도구에 해당되지 않는 것은?
62. 벽돌공사 시 벽돌쌓기에 관한 설명으로 옳은 것은?
63. 다음 설명에 해당하는 공정표의 종류로 옳은 것은?
64. 콘크리트 구조물의 품질관리에서 활용되는 비파괴시험(검사) 방법으로 경화된 콘크리트 표면의 반발경도를 측정하는 것은?
65. 일명 테이블 폼(table form)으로 불리는 것으로 거푸집널에 장선, 멍에, 서포트 등을 기계적인 요소로 부재화한 대형 바닥판거푸집은?
66. 시험말뚝에 변형율계(Strain gauge)와 가속도계(Accelerometer)를 부착하여 말뚝항타에 의한 파형으로부터 지지력을 구하는 시험은?
67. 콘크리트 공사 시 철근의 정착위치에 관한 설명으로 옳지 않은 것은?
68. 지반개량 지정공사 중 응결공법이 아닌 것은?
69. 공사계약 중 재계약 조건이 아닌 것은?
70. 콘크리트에서 사용하는 호칭강도의 정의로 옳은 것은?
71. 다음 조건에 따른 백호의 단위시간당 추정 굴삭량으로 옳은 것은?
72. 강구조 부재의 용접 시 예열에 관한 설명으로 옳지 않은 것은?
73. 공동도급방식의 장점에 해당하지 않는 것은?
74. 지하수가 없는 비교적 경질인 지층에서 어스오거로 구멍을 뚫고 그 내부에 철근과 자갈을 채운 후, 미리 삽입해 둔 파이프를 통해 저면에서부터 모르타르를 채워 올라오게 한 것은?
75. 기초의 종류 중 지정형식에 따른 분류에 속하지 않는 것은?
76. 철골공사에서 발생할 수 있는 용접불량에 해당되지 않는 것은?
77. 미장공법, 뿜칠공법을 통한 강구조부재의 내화피복 시공 시 시공면적 얼마 당 1개소 단위로 핀 등을 이용하여 두께를 확인하여야 하는가?
78. 다음은 표준시방서에 따른 철근의 이음에 관한 내용이다. 빈 칸에 공통으로 들어갈 내용으로 옳은 것은?
79. 슬라이딩 폼(Sliding form)에 관한 설명으로 옳지 않은 것은?
80. 속빈 콘크리트블록의 규격 중 기본블록치수가 아닌 것은? (단, 단위 : mm)
5과목: 건설재료학
81. 석재의 종류와 용도가 잘못 연결된 것은?
82. 표면건조포화상태 질량 500g의 잔골재를 건조시켜, 공기 중 건조상태에서 측정한 결과 460g, 절대건조상태에서 측정한 결과 450g이었다. 이 잔골재의 흡수율은?
83. 목재의 압축강도에 영향을 미치는 원인에 관한 설명으로 옳지 않은 것은?
84. 콘크리트용 혼화제의 사용용도와 혼화제 종류를 연결한 것으로 옳지 않은 것은?
85. 고강도 강선을 사용하여 인장응력을 미리 부여함으로서 큰 응력을 받을 수 있도록 제작된 것은?
86. 유리의 중앙부와 주변부와의 온도 차이로 인해 응력이 발생하여 파손되는 현상을 유리의 열파손이라 한다. 열파손에 관한 설명으로 옳지 않은 것은?
87. KS L 4201에 따른 1종 점토벽돌의 압축강도 기준으로 옳은 것은?
88. 아스팔트를 천연아스팔트와 석유아스팔트로 구분할 때 천연아스팔트에 해당되지 않는 것은?
89. 점토의 성질에 관한 설명으로 옳지 않은 것은?
90. 도료의 사용 용도에 관한 설명으로 옳지 않은 것은?
91. 습윤상태의 모래 780g을 건조로에서 건조시켜 절대건조상태 720g으로 되었다. 이 모래의 표면수율은? (단, 이 모래의 흡수율은 5%이다.)
92. 미장재료 중 회반죽에 관한 설명으로 옳지 않은 것은?
93. 다음 합성수지 중 열가소성수지가 아닌 것은?
94. 전기절연성, 내열성이 우수하고 특히 내약품성이 뛰어나며, 유리섬유로 보강하여 강화플라스틱 (F.R.P)의 제조에 사용되는 합성수지는?
95. 강의 열처리 방법 중 결정을 미립화하고 균일하게 하기 위해 800~1000℃까지 가열하여 소정의 시간까지 유지한 후에 로(爐)의 내부에서 서서히 냉각하는 방법은?
96. 단열재료에 관한 설명으로 옳지 않은 것은?
97. 목재 건조의 목적에 해당되지 않는 것은?
98. 금속부식에 관한 대책으로 옳지 않은 것은?
99. 콘크리트용 골재의 품질요건에 관한 설명으로 옳지 않은 것은?
100. 각 미장재료별 경화형태로 옳지 않은 것은?
6과목: 건설안전기술
101. 유해위험방지계획서를 고용노동부장관에게 제출하고 심사를 받아야 하는 대상 건설공사 기준으로 옳지 않은 것은?
102. 사면 보호 공법 중 구조물에 의한 보호 공법에 해당되지 않는 것은?
103. 미리 작업장소의 지형 및 지반상태 등에 적합한 제한속도를 정하지 않아도 되는 차량계 건설기계의 속도 기준은?
104. 발파구간 인접구조물에 대한 피해 및 손상을 예방하기 위한 건물기초에서의 허용진동치(cm/sec) 기준으로 옳지 않은 것은? (단, 기존 구조물에 금이 가 있거나 노후구조물 대상일 경우 등은 고려하지 않는다.)
105. 거푸집동바리 등을 조립하는 경우에 준수하여야 하는 기준으로 옳지 않은 것은?
106. 안전계수가 4이고 2000MPa의 인장강도를 갖는 강선의 최대허용응력은?
107. 화물을 적재하는 경우의 준수사항으로 옳지 않은 것은?
108. 공사진척에 따른 공정율이 다음과 같을 때 안전관리비 사용기준으로 옳은 것은? (단, 공정율은 기성공정율을 기준으로 함)
109. 차량계 건설기계를 사용하여 작업을 하는 경우 작업계획서 내용에 포함되지 않는 사항은?
110. 산업안전보건법령에서 규정하는 철골작업을 중지하여야 하는 기후조건에 해당하지 않는 것은?
111. 지하수위 상승으로 포화된 사질토 지반의 액상화 현상을 방지하기 위한 가장 직접적이고 효과적인 대책은?
112. 강관을 사용하여 비계를 구성하는 경우 준수하여야 할 기준으로 옳지 않은 것은?
113. 이동식비계를 조립하여 작업을 하는 경우에 준수하여야 할 기준으로 옳지 않은 것은?
114. 가설통로를 설치하는 경우 준수하여야 할 기준으로 옳지 않은 것은?
115. 흙의 투수계수에 영향을 주는 인자에 관한 설명으로 옳지 않은 것은?
116. 거푸집동바리등을 조립 또는 해체하는 작업을 하는 경우의 준수사항으로 옳지 않은 것은?
117. 터널공사의 전기발파작업에 관한 설명으로 옳지 않은 것은?
118. 터널 지보공을 조립하거나 변경하는 경우에 조치하여야 하는 사항으로 옳지 않은 것은?
119. 다음 중 지하수위 측정에 사용되는 계측기는? (문제 오류로 가답안 발표시 4번이 답안으로 발표되었으나, 확정답안 발표시 전항 정답 처리 되었습니다. 여기서는 가답안인 4번을 누르면 정답 처리 됩니다.)
120. 크레인 등 건설장비의 가공전선로 접근 시 안전대책으로 옳지 않은 것은?