1과목: 연소공학
1. gas연료에 연소에 있어서 확산염을 사용할 경우 예혼합염을 사용하는 것에 비해 얻을 수 있는 잇점이 아닌 것은?
2. 다음은 가연물의 연소형태를 나타낸 것이다. 틀린 것은?
3. 다음 물질중 가연성가스로만 묶어진 항은 어느것인가?
4. 다음 폭발 종류 중 그 분류가 화학적 폭발로 분류 할 수 있는 것은?
5. 기체 연료 중 수소가 산소와 화합하여 물이 생성되는 경우에 있어 H2 : O2 : H2O 의 비례 관계는?
6. 그림은 반데르바알스식에 의한 실제가스의 등온곡선을 나타낸 것이다. 그림 중 임계점은 어느 것인가?
7. 25℃에서 N2, O2, CO2의 분압이 각각 0.71atm, 0.15atm, 0.14atm이며, 이상적으로 행동할 때 이 혼합기체의 평균 분자량은 얼마인가? (단, 전압은 1atm이다.)
8. 다음은 기체연료 중 천연가스에 관한 설명이다. 옳은 것은?
9. 다음은 화염사출율에 관한 설명이다. 옳은 것은?
10. 다음 총발열량 및 진발열량에 관한 설명을 올바르게 표현한 것은?
11. 가연성 증기속에 수분이 많이 포함 되어 있을때 일어나는 현상이 아닌 것은?
12. 1 ata, 4L 기체 A와 2 ata, 5L의 기체 B를 1L 용기속에 충전시킬 때 전압(ata)은 얼마인가? (단, A와 B는 반응하지 않고 온도는 일정하다.)
13. 가스의 기본특성에 관한 설명 중 옳은 것은?
14. 다음 중 폭발 위험도를 설명한 것으로 옳은 것은?
15. 다음 중 폭발범위의 설명으로 옳은 것은?
16. 기체혼합물의 각 성분을 표현하는 방법으로 여러가지가 있다. 다음은 혼합가스의 성분비를 표현하는 방법이다. 다른 값을 갖는 것은?
17. 다음은 연소범위에 관한 설명이다. 잘못 된 것은?
18. 1 ton의 CH4이 연소하는 경우 필요한 이론공기량은?
19. 화학 반응속도를 지배하는 요인에 대한 설명이다. 맞는 것은?
20. 메탄을 공기비 1.1로 완전연소시키고자 할 때 메탄 1m3N당 공급해야할 공기량은 약 몇m3N인가?
2과목: 가스설비
21. 펌프에서 발생되는 수격현상의 방지법으로 옳지 않은 것은?
22. 가스 비등점이 낮은 것부터 바르게 나열한 것은?
23. 금속의 성질을 개선하기 위한 열처리에 대한 설명으로 옳지 않은 것은?
24. 배관의 스케쥴 번호를 정하기 위한 식은? (단, P 는 사용압력(kg/cm2), S 는 허용응력(kg/mm2))




"은 P/S 값이 1보다 작은 범위를 나타내기 때문에 정답입니다. "
"은 P 값이 S 값보다 작은 경우, "
"은 P 값이 S 값과 같은 경우, "
"은 P 값이 S 값보다 큰 경우를 나타냅니다.25. 암모니아 합성가스 및 수소제조 설비에 고온변성 촉매로 사용되는 것은?
26. 프로판(C3H8) 11g을 태워서 나오는 이산화탄소는 표준 상태에서 얼마(L) 인가?
27. 도시가스 제조 공정 중 가열방식에 의한 분류로 원료에 소량의 공기와 산소를 혼합하여 가스발생의 반응기에 넣어 원료의 일부를 연소시켜 그 열을 열원으로 이용하는 방식은?
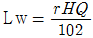
28. 이산화탄소 소화설비의 가스압력식 기동장치의 설비 기준 중 기동용 가스용기에 사용하는 밸브의 압력은 얼마 이상이어야 하는가?
29. 구리 및 구리합금으로 되어있는 장치를 사용할 수 있는 물질은?
30. LP 가스의 충전 방법으로 적합치 않은 것은?
31. 15℃ 볼탱크에 저장된 액화프로판(C3H8)을 시간당 50Kg씩 15℃의 기체로 공급하려고 증발기에 전열기를 설치했을때 필요한 전열기의 용량은? (단, 프로판 증발열 3740 cal/gmol 15℃, 1 cal = 1.163 × 10-6 KWH)
32. 펌프의 송출유량이 Q[m3/s], 양정이 H[m], 취급하는 액체의 비중량이 r[kg/m3] 일 때 펌프의 수동력 Lw[kW]을 구하는 식은?




" 이다. 이유는 다음과 같다.
")은 수동력을 구하는 식이 아니므로 오답이다.
")은 수동력을 구하는 식에서 1000을 곱하는 것이 아니라 나누는 것이므로 오답이다.
")은 수동력을 구하는 식에서 중력가속도를 잘못 기입하였으므로 오답이다.33. 도시가스의 원료 중 제진, 탈유, 탈탄산, 탈습 등의 전처리를 필요로 하는 것은?
34. 다기능 가스 안전계량기는 통상 사용 상태에서 출구측의 압력을 감지하여, 압력이 얼마가 되면 가스가 차단하도록 되어 있는가?
35. 염소가스 공급 설비에서 용량 결정은 가열기의 전열 면적 1[m2]당 염소 가스의 기화능력(㎏/hr)이 얼마일 때 인가?
36. 냉동기의 냉매로서 가장 부적당한 물질은?
37. 프로판(C3H8)과 부탄(C4H10)의 몰비가 2:1인 혼합가스가 3atm(절대압력), 25℃로 유지되는 용기속에 존재할 때 이 혼합 기체의 밀도는? (단, 이상 기체로 가정)
38. 고압가스 용기에 사용되는 강의 성분원소 작용에 대한 설명으로 옳은 것은?
39. 용접부내 결함 검사에 가장 적합한 방법으로 검사결과의 기록이 가능하나 검사비용이 비싼 검사방법은?
40. 염소가스 압축기의 실린더에 사용되는 윤활제는?
3과목: 가스안전관리
41. 역류방지밸브의 설치 장소로 옳지 않은 것은?
42. 초저온 용기의 정의로 옳은 것은?
43. 정전기로 인한 화재· 폭발 사고를 예방하기 위해 취해야 할 조치가 아닌 것은?
44. 20kg의 LPG가 누출하여 폭발할 경우 TNT 폭발 위력으로 환산하면 TNT몇 kg에 해당하는가? (단, 가스의 발열량: 12,000 kcal/㎏ TNT의 연소열:1,100 kcal/㎏ 폭발효율: 3%이다.)
45. 고압가스제조허가의 종류가 아닌 것은?
46. 아세틸렌을 용기에 충전하는 때에는 미리 용기에 다공질물을 고루 채워 다공도가 75%이상 92%미만이 되도록 한 후 ( ) 또는 디메틸포름아미드를 고루 침윤시키고 충전해야 한다. ( )안에 적당한 물질은?
47. 독성가스 충전시설에는 다른 제조시설과 구분하여 외부로 부터 충전 시설임을 쉽게 식별할 수 있는 설치 조치는?
48. 산소를 운반하는 챠량에 고정된 탱크의 내용적은 얼마를 초과할 수 없는가? (단, 철도차량 또는 견인차에 고정된 탱크는 제외)
49. 공기 중 폭발범위가 가장 큰 것은?
50. 각종 용기의 검사방법에 대한 설명으로 옳은 것은?
51. 고압가스 및 유독 물질을 처리하는 공정 등에 적용하는 정량적 위험성 평가 기법으로 가장 적절한 것은?
52. 도시가스배관을 도로매설 시 배관의 외면으로부터 도로경계까지 얼마 이상의 수평거리를 유지하여야 하는가?
53. 독성가스와 그 제독 처리제를 짝지은 것 중 옳지 않은 것은?
54. 도시가스의 제조 방식 중 가열방식에 의한 분류가 아닌 것은?
55. 내용적 50ℓ 의 용기에 프로판을 충전할 때 최대 충전량은? (단, 프로판 충전정수는 2.35 이다.)
56. 아황산 가스에 대한 설명으로 옳지 않은 것은?
57. 가연성 가스의 내부가스를 치환하여 수리할 때 가스농도는 폭발하한계의 얼마 이하까지 치환시키는가?
58. 차량에 고정된 탱크를 운행할 경우에 휴대하여야 할 안전운행 서류철에 포함사항이 아닌 것은?
59. 아세틸렌의 품질 검사에서 순도 기준으로 맞는 것은? (단, 발연황산 시약을 사용한 오르잣드법)
60. 제1종 보호시설로서 가연성 가스의 저장능력이 20,000m3일 때 안전거리는?
4과목: 가스계측
61. 가스미터의 종류 중 추량식 가스미터가 아닌 것은?
62. 열전대 온도계의 종류로서 옳지 않은 것은?
63. 가스크로마토그래피의 운반가스로서 적당하지 않은 것은?
64. 다음 설명에 적당한 제어동작은?
65. 실측식가스미터의 기능에 대한 설명으로 옳지 않은 것은?
66. 수은을 이용한 U자관식 액면계에서 그림과 같이 높이가 70cm일 때 P2는 절대압으로 얼마인가?
67. 가스미터의 검정공차는 최대 유량이 4/5 이상일 때 얼마인가?
68. 가연성 가스검출기의 종류로서 옳지 않은 것은?
69. 가스크로마토그래피 컬럼재료로 사용되는 흡착제가 아닌 것은?
70. 가스크로마토그래피법에서 고정상 액체의 구비조건으로 옳지 않은 것은?
71. 2 개의 회전자로 구성되고, 소형으로 대용량의 가스측정이 가능한 가스미터는?
72. 차압식 유량계에서 조리개 전후의 압력차가 처음보다 두배만큼 커졌다면 유량은 어떻게 변하는가?

" 가 정답으로 주어졌는데, 이는 그림이 없어서 정확한 답을 제시할 수 없다는 의미이다.73. 정확한 계량이 가능하여 기준기로 이용되며, 드럼의 회전수로 유량을 산출하는 가스미터는?
74. 광학적 방법인 슈리렌법(schlieren method)은 무엇을 측정하는가?
75. 염화제1구리 착염지는 어떤 가스를 검지할 때 사용하는 시험지인가?
76. 액주식압력계에 사용되는 액주의 구비조건으로 거리가 먼 것은?
77. 증기 비중이 제일 적은 기체는?
78. 기준 입력과 주피드백량의 차로서 제어동작을 일으키는 신호는?
79. 바이메탈온도계의 특징으로 옳지 않은 것은?
80. 계통적 오차(systematic error)에 해당되지 않는 것은?