1과목: 기계제작법
1. 냉간 단조와 비교한 열간 단조의 특성이 아닌 것은?
2. 둥근 날 바이스로 선삭 할 때 가공 면의 이론적 표면 거칠기는 다음 어느 것으로 나타낼 수 있는가? (단, f는 이송, R은 공구의 날 끝 반지름이다.)




" 이다. 이유는 이론적 표면 거칠기는 R/f로 나타낼 수 있기 때문이다. 따라서, 이송 f가 작을수록 (공구의 이동 거리가 작을수록) 이론적 표면 거칠기는 작아지고, 공구의 날 끝 반지름 R이 작을수록 이론적 표면 거칠기는 커진다. "
"는 f가 작고 R이 큰 경우를 나타내기 때문에 이론적 표면 거칠기가 큰 값이 나온다.3. 플래시 버트 용접(flash butt welding)에서 산화물이나 불순물은 어떻게 처리되는가?
4. 규사와 열경화성 석탄산 수지의 혼합물이 주형의 재료이며 내연 기관의 실린더 블록을, 다량(多量)으로 주조하는 데 가장 적당한 주조법은?
5. 측정자의 미세한 움직임을 광학적으로 확대하여 측정하는 측정기는?
6. 금속산화물이 알루미늄에 의하여 산소를 빼앗기는 화학반응을 이용한 용접 방법은?
7. 초음파 가공장치에 관한 설명으로 맞지 않는 것은?
8. 주물사의 강도 시험 중 틀린 것은?
9. 판금가공에서 스프링백(spring back)을 가장 옳게 설명한 것은?
10. 구멍의 내면을 가장 정밀하게 다듬는 가공법은 다음 중 어느 것이 가장 좋은가?
11. 금속재료에 처음 한 방향으로 하중을 가하고, 다음에 반대 방향으로 하중을 가하였을 때, 전자보다는 후자의 경우가 탄성한도가 저하한다. 이 현상은?
12. 특수 성향가공법으로 다이(die)를 금속 재료 대신에 경목재(硬木材) 등을 사용하는 방법이며, 선반의 주 축에 다이를 고정하고 심압대로 눌러서, 스틱(stick)으로 원형에 밀어 붙여 가공하는 것은?
13. 연삭력 P=20Kgf, 연삭 속도 1500m/min일 때 연삭 동력은 약 얼마인가? (단, 연삭 효율은 무시한다.)
14. 금속재료의 표면에 강철이나 주철의 강구를 고속으로 분사시켜 표면층의 경도를 높이는 방법은?
15. 선반가공에서 바이트의 옆면 및 앞면과 공작물과의 마찰을 줄이기 위한 공구각은?
16. 길이 300mm의 사인바로 29°를 측정하려면 블록 게이지는 몇 mm를 사용하면 되는가? (단, 사인 바와 측정 면이 일치함)
17. 직립식 밀링머신(vertical milling machine)에는 어떤 공구가 사용되는가?
18. 다음 탭에 관한 설명 중에서 옳은 것은?
19. 압출기의 주요 부분이 아닌 것은?
20. 담금질한 강철을 적당한 온도로 A1 변태점 이하에서 인성을 증가 시키는 조작은?
2과목: 재료역학
21. 그림과 같이 지름이 다른 2단봉재에 저장되는 탄성 에너지는? (단, E : 탄성계수)




"이다.22. 코일스프링의 평균지름 D를 2배로 하면 같은 조건에서 처짐은 몇 재가 되는가?
23. 고정단의 지름을 d, 비중량 г, 길이 l, 탄성계수 E 인 원추형의 봉이 그림과 같이 연직으로 매달려있을 때 자중에 의한 신장량은 얼마인가?




" 이다.24. 길이 2m의 외팔보의 자유단에 5KN의 집중하중이 작용하고 있다. 허용응력이 100Mpa이라면 높이 10cm의 사각형 단면에서 폭은?
25. 변형율 성분이 εx=900×10-6, εy=-100×10-6, γxy=600×10-6 일 때 면내 최대 전단변형률의 값은?
26. 도면과 같이 무게 W=6000 N이 걸려 있을 때, 봉 AB에 걸리는 힘은 몇 N인가? (단, 마찰 및 자중은 무시한다.)
27. 탄성계수 E= 210 GPa, 선팽창계수 α=11.5×10-6/℃ 인 철도 레일을 15℃에서 양단을 고정하였다. 발생응력을 85 MPa로 제한하려 할 때 열응력에 의한 온도변화의 허용범위는?
28. 다음 그림과 같은 삼각형 분포하중이 작용하고 있을 때, 이 단순보의 반력 RA는 몇 N인가?




"이다.29. 수직응력에 의한 탄성에너지에 대한 설명 중 맞는 것은?
30. 그림과 같은 등분포 하중을 받고 있는 외팔보의 최대 처짐은? (단, EI는 보의 굽힘 강성이다.)




" 이다.31. 길이 15mm, 지름 10mm의 강봉에 8 KN의 인장하중을 걸었더니 탄성변형이 생겼다. 이 때의 늘어난 길이는? (단, 이 강재의 탄성계수 E = 210 GPa이다.)
32. 다음 중 Hooke의 법칙과 관계 없는 것은?(단, σ : 수직응력, E : 탄성계수, ε : 수직변형률, L : 원래길이, δ : 변형량, τ : 전단응력, G : 전단탄성계수, г : 전단변형률, K : 체적탄성계수, εv : 체적변형률)




" 이다. 이유는 Hooke의 법칙은 수직응력과 수직변형률 사이의 관계를 나타내는 것이므로, 전단응력, 전단탄성계수, 전단변형률, 체적탄성계수, 체적변형률과는 관련이 없다.33. 길이가 30cm이고, 1mm × 20mm인 직사각형 단면의 얇은 강철자의 양단에 우력을 작용시켜 중심각이 60°인 원호의 모양으로 굽혔다. 강철자가 받는 굽힘 모멘트는? (단, 탄성계수 E = 210 GPa)
34. 외팔보의 자유단에 하중 P가 작용할 때, 이 보의 굽힘에 의한 탄성 변형에너지를 구하면? (단, EI는 일정하다.)




"이 된다.35. 직경 5cm의 차축이 7°만큼 비틀렸다. 이때 최대 전단응력이 100MPa이고, 지료의 전단 탄성계수가 80 GPa이라고 하면 이 차축의 길이에 가장 가까운 것은?
36. 그림과 같이 10cm × 10cm의 단면적을 갖고 양단이 회전단으로된 부재가 중심축 방향에 압축력 P가 작용하고 있을 때 장주의 길이가 2m이라면 셋방비의 값은 얼마인가?
37. 그림과 같은 균일분포하중을 받는 외팔보에서 자유단의 처짐이 δ = 3cm 이고 경사각이 θ = 0.02 rad일때 이 보의 길이는 얼마인가? (단, 탄성계수 E = 210 GPa 이다.)
38. 같은 재료로 되어있는 지름 d의 원형 단면과 1변의 길이가 a인 정사각형 단면의 보가 있다. 이들 보가 굽힘에 대하여 같은 강도를 갖기 위한 d : a의 비는?




"이다.39. 다음 그림과 같이 연속보가 균일 분포하중(q)을 받고 있을 때 A점의 반력은?
40. 7.5 KW의 모터가 3600 rpm으로 운전될 때 전단응력이 60 MPa를 초과하지 못한다면 사용할 수 있는 최소 축 지름은?
3과목: 용접야금
41. 용접과정의 화학 반응의 특성은?
42. 저항용접에서 용접입열 (weld heat input)을 표시하는 식 중 옳은 것은? (단, H:용접입열, R:용접재료간의 접촉저항 및 그 재료의 고유저항의 총합, I:용접전류, K:손실계수 이다.)
43. 상온에서 순철(Fe)의 결정 격자는?
44. 금속의 강도를 지배하는 기구 중 금속경화 기구가 아닌 것은?
45. 항온 변태 곡선과 관계 없는 것은?
46. Cu합금의 용접시 열영향부의 넓이는 연강에 비해 어떠한가?
47. 강의 상태도에서 γ역을 넓히는 역할을 하는 원소는?
48. 냉간 가공시 가공도가 증가하면 강도, 항복점 및 경도가 증가하며, 연신율은 감소하는데 이런 현상을 무엇이라 하는가?
49. Al, Ti 등에 의하여 강괴의 결정을 미세하게 하는 외에 용접성도 가장 좋은 강괴(ingot)는?
50. 다음 중 중(重)금속이 아닌 것은?
51. 일반 탄소강의 조직 중 오스테나이트 (Autenite)상태에서 서냉 (Slow cooling)하였을 때 나타나는 조직은?
52. 18Cr-8Ni의 스테인리스강의 우수한 점이 아닌 것은?
53. 알루미늄 용접시 용입을 조절하기 위한 방법 중 옳지 않은 방법은?
54. 경도(hardness)시험에 있어서 선단이 다이아몬드로 된 작은 추를 일정의 높이에서 시험편 표면에 낙하시켜 반발의 높이로서 측정하는 시험법은?
55. 용접금속이 응고할 때 용융금속 중의 산소와 결함 하여 산소 제거 작용을 하는 탈산제는?
56. 금속의 격자 결함 중 면결함(plane defect)에 해당하는 것은?
57. 주철제품을 용접한 후 일반적인 열처리 방법은?
58. 저온 취성을 개선하는데 가장 크게 기여하는 원소는?
59. 저탄소강을 인장시험 하면 200~300℃의 온도범위에서 인장강도는 매우 증가하고, 또한 연성의 저하를 나타내는 경우가 있다. 이 현상을 무엇이라 하는가?
60. 강의 표면에 알루미늄을 침투시키는 처리로서 내(耐) 고온성의 확산층을 생성하여 고온에서 사용되는 기계부품이 많이 이용되는 방식법은?
4과목: 용접구조설계
61. 용접에서 공작물을 조립하는데, 사용하는 도구(tool)를 무엇이라고 하는가?
62. 용접 금속의 열처리에서 어닐링(annealing)의 목적 중 옳지 않은 것은?
63. 다음과 같은 윤상 필릿 용접의 중립축에 대한 단면 2차 모멘트 I'의 값으로 옳은 것은?
64. 용접부의 형틀 굽힘 시험에서 판 두께가 가장 두꺼운 시험편을 시험하는 것은?
65. 용접시공시 라멜라 테어의 방생과 가장 관계가 깊은 것은?
66. 50 kgf/mm2급 고장력 강재를 사용한 저장탱크, 압력용기 등의 용접에 사용되는 용접봉은 어느 것인가?
67. 맞대기 용접에서 용접금속 및 모재의 수축에 대하여 용접 전(前)dp 반대방향으로 굽혀 놓고 작업하는 용접 교정 방법은?
68. 다음 용접장비 및 용어에 관한 각각의 설명 중 옳지 않은 것은?
69. 다음 그림은 어떤 형식의 용접 이음인가?(문제 복원 오류로 그림이 없습니다. 정확한 그램 내용을 아시는분 께서는 자유게시판에 그림 등록 부탁 드립니다. 정답은 2번 입니다.)
70. 그림과 같은 굽힘을 받는 용접부 선형의 중립 축 X-X'에 대한 단면 2차 모멘트로 가장 적합한 것은? (단, 용접두께를 t = 1로 보고 계산한 식이다.)
71. 용접부의 기공(Blow hole) 방지에 가장 적합한 부속품은?
72. 응력집중에 관한 내용이 아닌 것은?
73. 재료의 열전도율이 가장 큰 것에서 작은 것의 순서로 된 것은?
74. 필릿(Fillet) 용접부의 다리길이는 판 두께의 몇 % 정도가 가장 적당한가?
75. 그림과 같은 완전 용입된 평판 V형 맞대기 용접 이음의 굽힘 모멘트 Mb=9500kgfㆍcm가 작용하고 있을 때 최대 굽힘 응력은 몇 kgf/cm2 인가? (단, L = 200mm, t = 20mm으로 한다.)
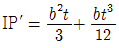
76. 필릿 용접치수를 결정하는데 사용하는 다음과 같은 선형의 단면 2차 극 모멘트 Ip' 는?




" 입니다.77. 용접에서 홈 형태 중 가장 두꺼운 판에 적합한 것은?
78. 고장력강의 용접결함 중 저온균열이 생기는 직접적인 원인이 아닌 것은?
79. 용접부의 열 유동에 대한 설명 중 옳지 않은 것은?
80. 저수소계 용접봉(E4316)의 특징이 아닌 것은?
5과목: 용접일반 및 안전관리
81. 용적이 33리터인 산소용기의 고압력계에 100kgf/cm2으로 나타났다면 프랑스식 300번의 팁으로는 몇시간 용접할 수 있는가? (단, 산소와 아세틸렌의 혼합비는 1 : 1이다.)
82. 서브머지드 아크 용접의 단점에 해당되는 설명은?
83. 직류용접기에서 정전압특성을 갖는 용접은?
84. 아크 용접시 전격을 가장 받기 쉬운 경우는?
85. 방사선 사진의 상에서 결함의 크기를 표시하여 비교하기 위한 것은?
86. 용접전류를 200A, 아크 전압을 25V로 아크 용접하였을 때 용접입열이 2000 [Joule/cm]였다. 이 때 용접속도는 얼마인가?
87. 원자수소 용접에서 일어나는 상태변화이다. 옳은 것은?
88. 조선소 등에서 두껍고 큰 강판을 평행 절단하는데 적합한 가스 절단장치는?
89. 용접기에서 멀리 떨어져서 작업을 수행할 때 전류의 원격조정(Remote Control)이 가능한 용접기는?
90. 피복아크 용접봉 E4316-AC-5.0-400에서 400이 의미하는 것은?
91. 용접의 종류 중 압접에 속하는 것은?
92. 용접결함 중 성질상 결함에 해당되는 것은?
93. 불활성가스 금속아크 용접법의 특성으로 옳은 것은?
94. 저항용접에서 용접전류는 1500A, 저항은 220Ω, 통전시간은 0.25sec이라면 용접부에 발생하는 저항열은 다음 중 약 얼마인가? (단, 줄(Joule)의 법칙에 의하여 계산한다.)
95. 용접에서 역률(power factor)의 식이 옳은 것은?
96. 아크 용접기의 감전방지를 위해 가장 적당한 것은?
97. 아크용접에서 피복제의 역할에 대하여 틀린 것은?
98. 내균열성이 가장 나쁜 용접봉의 계통은?
99. 가스용접 중 아세틸렌에 대한 완전연소 화학방정식은 어느 것인가?



"이다. 이유는 아세틸렌(C2H2)은 탄소와 수소로만 이루어져 있기 때문에 완전연소 시에는 이 두 원소만 산소와 반응하여 CO2와 H2O로 생성되기 때문이다. 다른 보기들은 프로판(C3H8)이나 메탄(C2H6) 등 다른 화합물의 연소 반응식이다.100. 용접을 하다 전격을 받아 기절을 한 용접공을 발견했을 때 조치할 사항 중 맞지 않는 것은?