1과목: 기계제작법
1. 주물의 결함 중 기공(blow hole)에 대한 방지대책으로 틀린 것은?
2. 단조 작업의 종류 중 하나로 볼트, 스크루, 리벳등의 머리 부분을 제작하는데 사용되는 단조법은?
3. 담금질된 강의 마텐자이트 조직은 경도는 높지만 취성이 매우 크고 내부적으로 잔류응력이 많이 남아 있어서 A1 이하의 변태점에서 가열하는 열처리 과정을 통하여 인성을 부여하고 잔류응력을 제거하는 열처리는?
4. 원자수소용접법(atomic hydrogen welding)의 설명으로 틀린 것은?
5. 두께 2mm의 연강판에 지름 20mm 의 구멍을 뚫을 때 필요한 전단력의 크기는 약 몇 kN 인가? (단, 판의 전단저항을 250N/mm2 이다.)
6. 3차원 측정기는 X,Y,Z의 3차원 공간상에서 측정점의 좌표점을 검출하여, 데이터를 컴퓨터로 처리하는 측정기이다. 3차원 측정기를 조작상으로 분류할 때 여기에 해당되지 않는 것은?
7. MIG 용접은 일반적으로 무슨 극성을 사용하는가?
8. 밀링 커터 중에서 외주와 정면에 절삭날이 있으며 주로 수직 밀링에서 사용하고, 밀링 커터축에 수직인 평면을 가공할 때 쓰는 커터는?
9. 드릴(drill) 가공 후 구멍(hole)의 정확한 진원가 공과 구멍내면의 표면 거칠기를 좋게 하기위한 가공은?
10. 인발(drawing)가공에서의 윤활에 대한 설명으로 틀린 것은?
11. 공작물을 일정한 거리와 각도로 구멍을 뚫거나 기어 등과 같이 분할이 어려운 공작물을 가공하는 작업에 적합한 지그는?
12. 연삭숫돌에서 눈메움(loading)의 발생 원인으로 거리가 먼 것은?
13. 용융금속을 정밀한 형상의 금형에 주입하여 주물을 주조하는 방법으로 치수의 정밀도가 높고 기계가공을 대부분 생략하는 경우가 있으나, 금형의 선택조건이 까다롭고 비싸므로 대량 생산을 고려해야 하는 주조법은?
14. 스프링 백(spring back)에 대한 설명으로 틀린 것은?
15. 절삭유제의 사용목적으로 거리가 먼 것은?
16. 보석, 유리, 자기 등을 정밀 가공하는데 가장 적합한 가공 방법은?
17. 금속재료의 표면에 강철이나 주철의 작은 강구를 고속으로 분사시켜 표면층의 경도를 높이는 방법은?
18. 고에너지속도 성형법(high energy rate forming)에 해당하지 않는 것은?
19. 300mm의 사인바(sine bar)를 이용하여 측정한 결과 각도가 29° 이었다. 이 때 사인바 양단의 게이지 블록 높이 차는 몇 mm 인가?
20. 광파 간섭현상을 이용하여 평면도를 측정하는 기기는?
2과목: 재료역학
21. 폭 b = 60mm, 길이 L = 500mm의 균일강도 외팔보의 자유단에 집중하중 P = 5kN이 작용한다. 허용 굽힘응력을 65MPa이라 하면 자유단에서 250mm되는 지점의두께 h는? (단, 보의 단면은 두께는 변하지만 일정한 폭 b를 갖는 직사각형이다. )
22. 다음 중 주평면(principal plane)을 정의한 것으로 옳은 것은?
23. 지름 1cm, 길이 50cm, 탄성계수 200GPa의 강봉이 90kN의 인장하중을 받을 때 탄성에너지는?
24. 바깥지름이 46mm인 중공 원형축이 120kW의 동력을 40rev/s 의 각속도로 전달할 때, 허용 전단응력이 τall= 80MPa 이라면, 안지름은 최대 몇 mm까지 만들 수 있는가?(오류 신고가 접수된 문제입니다. 반드시 정답과 해설을 확인하시기 바랍니다.)
25. 지름 3 cm, 길이 1m인 환봉의 양단에 100 N⦁0m의 비틀림 모멘트가 작용할 때 비틀림 각은? (단, 선형탄성 환봉의 전단탄성계수 G = 80GPa이다.)
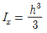
26. 다은 그림과 같이 구리선과 강선에 매달린 강체가 있다. 구리선의 탄성계수를 Ec강선의 탄성계수를 Es 라 하고, 이들의 단면적은 A로 같다고 할 때 강선에 생기는 응력은? (단, 매달린 강체의 무게는 W 이다.)




27. 그림과 같은 단면에서 대칭축 n-n에 대한 단면 2차 모멘트는?
28. 그림에서 P가 1200N, b = 3cm, h = 4cm, e = 1cm라 할 때 최대 압축응력은 몇 N/cm2인가?
29. 그림과 같이 중앙에 집중 하중 P[N]와 균일분포 하중ω[N/m]가 동시에 작용하는 단순보에서 최대 처짐은? (단, ωl= 2P 이고, 보의 굽힘강성 EI는 일정하다.)




30. 다음 그림과 같은 길이 L = 30 cm, 횡단면이 0.06x 2.5cm인 얇은 강철자의 양단에 우력(moment)을 작용시켜 중심각 θ = 60° 인 원호의 꼴로 굽히면 강철자에 발생하는 최대응력은 약 몇 MPa 인가? (단, 탄성계수 E = 210 GPa 이며, 굽힘강성 EI는 일정하다.)
31. 그림과 같이 외팔보의 끝에 집중하중 P가 작용할때 자유단에서의 처짐각 θ는? (단, 보의 굽힘강성 EI 는 일정하다.)




32. 길이 500mm, 지름 16mm의 균일한 강봉의 양 끝에 12kN의 축 방향 하중이 작용하여 길이는 300 μm가 증가하고 지름은 2.4 μm가 감소하였다. 이 선형 탄성 거동하는 봉 재료의 프와송 비(Poisson’s ratio)는?
33. 외팔보의 자유단에 하중 P가 작용할 때, 이 보의 굽힘에 의한 탄성 변형에너지를 구하면? (단, 보의 굽힘강성 EI 는 일정하다.)




34. 그림과 같이 1000 N의 힘이 브래킷의 A에 작용하고 있다. 이 힘의 점 B에 대한 모멘트는 몇 N⦁m 인가?
35. 다음과 같은 장주(long column)에 하중 Pcr을 가했더니 오른쪽 그림과 같이 좌굴이 일어났다. 이 때 오일러 좌굴하중 Pcr은? (단, 탄성계수는 E, 관성모멘트는 I, 길이는 L이다.)




36. 그림과 같은 단면의 축이 전달할 수 있는 토크(torque)의 비 TA/TB의 값은 얼마인가? (단, 재질은 서로 같다.)
37. 단면의 가로, 세로가 20mm, 30mm인 사각 단면 부재에 축 방향 하중 60kN을 작용하였다. 이 부재에 작용하는 응력은 몇 MPa 인가?
38. 선형 탄성 재질의 정사각형 단면봉에 1000 kN의 압축력이 작용할 때 100MPa의 압축응력이 생기도록 하려면 한 변의 길이는 몇 cm로 해야 하는가?
39. 길이가 L인 양단 고정보의 중앙에 집중 하중이 아래로 가해져 중앙에 모멘트 M 이 발생하였다면 이 집중하중의 크기는 어떻게 표현되는가?
40. 그림과 같은 선형 탄성 균일단면 외팔보의 굽힘 모멘트 선도로 가장 적당한 것은?




3과목: 용접야금
41. 후판의 용접비드 중심부에서의 주상정(柱狀晶)이 직립(直立)에 가까이 하는 경우를 바르게 설명한 것은?
42. 상온가공에 의하여 내부응력을 일으킨 결정입자가 가열에 의하여 그 모양은 바뀌지 않고 내부응력이 감소되어 가는 과정을 무엇이라 하는가?
43. 다음 중 야금학적으로 용접하기 어려운 주철은?
44. 은점(fish eye)의 생성을 방지하기 위한 방법으로 틀린 것은?
45. 테르밋 용접(thermit welding)에서 슬래그로 부상하는 것은?
46. 피복아크 용접봉의 피복제에 포함되어 있는 주요 성분이 아닌 것은?
47. 다음 중 용융금속의 결정을 미세화 시키는 방법이 아닌 것은?
48. 탄산가스 아크 용접재료인 솔리드 와이어(solidwire) 제조 시 탈산제로 사용하지 않는 것은?
49. 다음 중 고온균열(hot cracking)에 관한 설명으로 틀린 것은?
50. 용접부의 현미경 조직과 기계적 성질이 현저하게 변화하는 영역으로 취성이 가장 큰 부분은?
51. 가스용접에 사용되는 용제의 설명으로 틀린 것은?
52. 전율고용체 합금의 비평형 응고는 두 가지 원소가 결정립 내에 불균일하게 분포하는 무슨 현상을 초래하는가?
53. 표면경화 열처리에서 침탄법의 종류에 속하지 않는 것은?
54. 4.3%C 의 공정성분인 액체가 1130℃에서 응고하여 생기는 철-탄화철계의 공정조직으로 세립의 오스테나이트와 시멘타이트가 혼합된 조직은?
55. 용접금속에서 질소의 영향을 생기는 것이 아닌 것은?
56. 다음 중 탄소강의 표준조직이 아닌 것은?
57. 다음 중 침입형 고용체에 용해되는 원소가 아닌 것은?
58. 용착금속 내에 유황편석에 의한 설퍼 크랙을 방지 하기 위한 가장 적당한 방법은?
59. 용접전류가 200A, 용접전압이 30V, 용접속도가 15cm/min일 때 용접입열은 얼마인가? (단, 열효율은 100% 라고 가정한다.)
60. 피복제의 염기도에 대한 용착 금속의 내균열성이 가장 우수한 용접봉은?
4과목: 용접구조설계
61. 용접이음의 설계를 할 때의 홈의 형상으로 올바르게 구성된 것은?
62. 다음 변형 중 면외 변형의 종류가 아닌 것은?
63. 용접 구조물의 조립순서를 정할 때 고려사항으로 적절하지 않은 것은?
64. 잔류응력 측정법 중에는 정성적 방법과 정량적 방법이 있는데 정량적 방법에 속하는 것은?
65. 비커즈 경도 시험에 사용되는 다이아몬드 사각추압입자의 꼭지각은?
66. 용접 자세의 기호에서 수평 자세를 뜻하는 기호는?
67. 용접시의 판상의 온도분포에 대한 설명으로 옳지 못한 것은?
68. 와전류 탐상검사의 장점에 대한 설명으로 틀린 것은?
69. 용접작업에서 용접봉의 용착효율을 나타내는 식은?




70. 다음 그림과 같은 단면에서 단위 목 두께에 대한 단면 2차 모멘트(Ix)는?




71. W1 = 용접슬래그 및 스패터 등을 완전히 제거하여 깨끗이 한 시험편의 무게(g), Wo = 용접전의 시험편의 무게(g), ΣT = 용접봉 5개분의 시간의 합계일 때, 용착속도(d)를 구하는 식으로 옳은 것은?




72. 취약한 래커를 표면에 바르고 물체에 구멍을 뚫으면 이에 의하여 응력이 변화하고 래커가 주 응력선에 직각으로 금이 가게 되는 것을 이용하여 잔류응력을 측정하는 방법은?
73. 용접이음의 피로강도를 향상시키기 위한 조치로 틀린 것은?
74. 방사선투과시험에서 방사선에서 촬영한 사진이 기준이상으로 되었는지를 판단하는 기구로서 검사체와 동일한 금속판에 직경이 다른 구멍을 뚫은 것을 무엇이라 하는가?
75. 용접부의 시험에서 기계적 시험법이 아닌 것은?
76. 저온균열과 고온균열(hot crack)의 설명을 맞는 것은?
77. 땜납의 구비조건에 대한 설명으로 틀린 것은?
78. 다음 그림과 같이 강판의 두께 10mm에 인장하중 80000N을 작용시키고자 양면 겹치기 용접이음을 하고자 한다. 용접부 허용응력을 50N/mm2라 할 때 필요한 용접길이 l는 약 얼마인가?
79. 용접설계자가 알아야할 용접방법 중 틀린 것은?
80. 용접 잔류응력을 경감하는 방법 중 틀린 것은?
5과목: 용접일반 및 안전관리
81. 강재의 표면 흠집이나 개재물, 탈탄층 등을 제거하기 위하여 가능한 한 얇게 표면을 깎아내는 가스 가공법을 무엇이라 하는가?
82. 다음 중 피복 아크 용접봉 심선재의 화학성분에 속하지 않는 것은?
83. 산소병 운반 및 취급상 주의할 사항으로 틀린 것은?
84. 티그(TIG) 용접에서 핫 와이어 용접(Hot Wire Welding)이란 어떤 용접인가?
85. 피복 아크 용접결함 중 기공의 원인으로 가장 거리가 먼 것은?
86. 전기저항 용접 중 겹치기 이음으로 틀린 것은?
87. 서브머지드 아크 용접에서 용접 시험편의 홈의 각도 공차는 얼마 이내 인가?
88. 용접기의 1차 측에는 안전스위치와 퓨즈를 설치하여야 하는데, 용접기가 27kVA 이고 1차 입력전압이 300V 일 때 퓨즈 용량은?
89. 발전형 직류 아크 용접기의 특징에 대한 설명으로 틀린 것은?
90. 다음 가연성 가스 중 공기보다 무거운 가스는?
91. 아르곤 보호가스 분위기에서 불활성 가스 금속 아 크 용접을 할 경우 전류 값이 높을 때 많이 나타나는 용적이행 형태에 해당 되는 것은?
92. 연강용 피복 아크 용접봉 종류에 관한 설명 중 올바르지 않은 것은?
93. 산소 –아세틸렌 가스불꽃의 최고온도(℃)범위로 가장 적당한 것은?
94. 다음 중 아크 용접기를 설치해도 되는 장소에 대한 설명으로 맞는 것은?
95. 용접부 시험방법 중 용접성 시험의 종류가 아닌 것은?
96. 간이 자동화 용접법인 중력식 용접법(gravity welding)에 주로 사용되는 피복 아크 용접봉의 종류로 가장 적당한 것은?
97. 연강용 가스용접봉의 성분 중 강의 강도를 증가시키나 연신율, 굽힘성 등은 감소시키는 원소는?
98. 다음 중 경납용 용제(Flux)에 해당되는 것은?
99. 납땜의 종류를 연납땜과 경납땜으로 구분하는 땜 납의 융접온도는 몇 ℃ 인가?
100. 무부하 전압 80V, 아크 전압 40V, 아크 전류 300A의 경우 역율은 약 몇 % 인가? (단, 내부손실은 4kW이다.)