1과목: 기계제작법
1. 공구재료의 구비조건 중 틀린 것은?
2. 강의 제품을 가열하여 그 표면에 알루미늄을 침투시켜 표면 합금층을 만드는 방법은?
3. 주철과 같이 메진 재료를 저속으로 절삭할 때 일반적인 칩의 모양은?
4. 지름 50mm인 연강봉을 20m/min의 절삭속도로 선삭할 때 주축의 회전수는 약 몇 rpm인가?
5. 통과 공기량 2000cc에 대한 배기시간이 5분이었다면 통기도는 약 몇 cm/min인가? (단, 시료의 높이:5cm, 시험편의 지름:5cm, 공기압 수주로:10cm이다.)
6. 자유 단조에서 업세팅(upset forging)에 관한 설명으로 옳은 것은?
7. 래핑(lapping) 가공의 특징으로 틀린 것은?
8. 일명 잠호 용접이라 하며, 입상의 미세한 용제를 용접부에 산포하고, 그 속에 전극와이어를 연속적으로 공급하여 용제 속에서 모재와 와이어 사이에 아크를 발생시켜 용접하는 것은?
9. 방전가공에 대한 설명으로 틀린 것은?
10. CNC선번에서 G 기능 중 G01의 의미는?
11. 공작기계의 구비조건으로 틀린 것은?
12. 인발가공에서 다이구멍의 형상이 원형, 각형, 기타 형상에 단면적을 감소시켜 인발는 가공법은?
13. 공구와 공작물 사이의 알런덤, 카보런덤 또는 탄화붕소 등의 입자를 공구에 가해진 진동으로 가공물에 충돌하여 깎아내는 가공방법은?
14. 드릴, 단조, 주조가공 등에 의하여 이미 뚫린 구멍을 좀 더 크게 확대하거나, 표면 거칠기와 정밀도가 높은 제품으로 가공하는 공작기계는?
15. 모형을 가용성 재료로 만들고 이것에 슬러리 상태의 주형 재료를 피복하여 외형을 만든 다음 모형을 용융시켜 제거하고, 용탕을 주입하는 방법으로 로스트 왁스법이라고도 하는 주조법은?
16. KCN 또는 NaCN 등의 침탄제를 사용하며, 소형부품 표면처리에 유리한 표면 경화법은?
17. 나사측정 방법 중 삼침법에 대한 설명으로 옳은 것은?
18. 공작물을 양극으로 하고 전기저항이 적은 Cu, Zn을 음극으로 하여 전해액 속에 넣고 전기를 통하면, 가공물 표면이 전기에 의한 화학적 작용으로 매끈하게 가공되는 가공법은?
19. 200mm 사인바로 10°각을 만들려면 사인바양단의 게이지 블록 높이차는 약 몇 mm이어야 하는가? (단. 경사면과 측정면이 일치한다.)
20. 용접 시 발생한 잔류응력을 제거하려면 어떤 처리를 하는 것이 좋은가?
2과목: 재료역학
21. 평면응력 상태에서 σx=1750MPa, σy=350MPa, τxy=-600MPa일 때 최대 전단응력 τman은 약 MPa인가?
22. 단면의 폭과 높이가 b×h이고 길이가 L인 연강 사각형 단면의 기둥이 양단에서 핀으로 지지되어 있을 때 좌굴응력은? (단, 재료의 세로탄성계수는 E이다.)




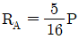
23. 그림과 같은 볼트에 축 하중 Q가 작용할 때, 볼트 머리부의 높이 H는? (단, d: 볼트 지름, 볼트 머리부에서 축 하중 방향으로의 전단응력은 볼트 축에 작용하는 인장 응력의 1/2까지 허용한다.)
24. 보의 중앙부에 집중하중을 받는 일단고정, 타단지지보에서 A점의 반력은? (단, 보의 굽힘강성 EI는 일정하다.)




25. 선형 탄성 재질의 정사각형 단면봉에 500kN의 압축력이 작용할 때 80MPa의 압축응력이 생기도록 하려면 한 변의 길이를 약 몇 cm로 해야 하는가?
26. 그림과 같이 노치가 있는 원형 단면 봉이 인장력 P=9.5kN을 받고 있다. 노치의 응력 집중계수가 a=2.5라면, 노치부에서 발생하는 최대응력은 약 몇 MPa인가? (단, 그림의 단위는 mm이다.)
27. 그림과 같이 삼각형으로 분포하는 하중을 받고 있는 단순보에서 지점 A의 반력은 얼마인가?



28. 지름이 50mm이고, 길이가 200mm인 시편으로 비틀림 실험을 하여 얻은 결과, 토크 30.6Nㆍm에서 전 비틀림 각이 7°로 기록되었다. 이 재료의 전단 탄성계수는 약 몇 MPa인가?
29. 길이가 500mm, 단면적 500mm2인 환봉이 인장하중을 받고 1.0mm 신장되었다. 봉에 저장된 탄성에너지는 약 몇 Nㆍm인가? (단, 봉의 세로탄성계수는 200GPa이다.)
30. 길이가 L인 외팔보의 중앙에 그림과 같이 MB가 작용할 때, C점에서의 처짐량은? (단, 보의 굽힘 강성 EI는 일정하고, 자중은 무시한다.)




31. 직경 2cm의 원형 단면축을 1800rpm으로 회전시킬 때 최대 전달 마력은 약 몇 kW인가? (단, 재료의 허용전단응력은 20MPa이다.)
32. 길이 ℓ인 막대의 일단에 축방향 하중 P가 작용하여 인장 응력이 발생하고 있는 재료의 세로탄성계수는? (단, A는 막대의 단면적, δ는 신장량이다.)




33. 그림과 같이 두께가 20mm, 외경이 200mm인 원관을 고정벽으로부터 수평으로 4m만큼 돌출시켜 물을 방출한다. 원관 내에 물이 가득차서 방출될 때 자유단의 처짐은 약 몇 mm인가? (단, 원관 재료의 세로탄성계수는 200GPa, 비중은 7.8이고 물의 밀도는 1000kg/m3이다.)
34. 그림과 같이 한 끝이 고정된 지름 15mm인 원형단면 축에 두 개의 토크가 작용 하고 있다. 고정단에서 축에 작용하는 전단응력은 약 몇 MPa인가?
35. 그림과 같은 구조물의 부재 BC에 작용하는 힘은 얼마인가?
36. 그림과 같은 하중을 받는 단면봉의 최대 인장응력은 얄 몇 MPa인가? (단, 한 변의 길이가 10cm인 정사각형이다.)
37. 다음과 같은 균일 단면보가 순수 굽힘 작용을 받을 때 이 보에 저장된 탄성 변형에너지는? (단, 굽힘강성 EI는 일정하다.)




38. 그림과 같이 정사각형 단면을 갖는 외팔보에 작용하는 최대 굽힘응력은?




39. 바깥지름 d, 안지름 d/3인 중공원형 단면의 단면계수는 얼마인가?




40. 다음과 같은 길이 4.5m의 보에 분포하중 3kN/m가 작용된다. 이 보에 작용되는 굽힘 모멘트 절대값의 최대치는 약 몇 kNㆍm인가?
3과목: 용접야금
41. 일반적인 탈황반응(desulfurization reaction)에서 탈황을 촉진시키기 위한 조건으로 옳은 것은?
42. 다음 금속 조직 중 공정반응으로 인해 정출되는 것은?
43. 용접부에서 발생되는 고온균열의 특징이 아닌 것은?
44. 탄소당량을 설명한 것으로 옳은 것은?
45. 배관용 탄소 강관을 KS규격에 의한 기호로 나타낸 것은?
46. TTT 곡선의 nose time에 영향을 미치는 요소로 가장 거리가 먼 것은?
47. 400℃ 이상에서 탄화물의 입계석출로 인하여 입계부식을 일으키는 스테인리스강은?
48. 0.5% Si, 0.43% Mg이 함유된 알루미늄 합금으로, 내식성 및 전기 전도율이 우수하여 송정선에 많이 사용되는 것은?
49. 탄소강에 함유된 구리의 영향이 아닌 것은?
50. 금속재료의 강화 방법이 아닌 것은?
51. Fe-C 평형상태도에서 순철의 A3 변태점의 온도는?
52. 용착금속에 인장강도는 증가시키나 연신율과 충격치를 저하시키며 뜨임취성의 원인이 되는 것은?
53. 다음 금속 조직 중 경도가 가장 높은 것은?
54. 가공한 금속을 가열할 때 결정입계의 이동에 의해서 형성되는 쌍정은?
55. 강의 열처리에서 A1 변태점 이하로 가열하여 소정시간 유지한 다음 냉각하는 방법으로, 인성을 증가시키고 경도를 감소시키는 열처리는?
56. 강재의 용접성은 강의 열 영향부의 최고경도에 대한 탄소당량에 관계되는데 그 탄소당량은 얼마 이하에서 양호한 용접성을 가질 수 있는가?
57. 다음 중 용융점이 가장 낮은 금속은?
58. 용접부의 저온 균열이 아닌 것은?
59. 용융금속이 응고할 때 응고 온도차에 따라 농도차이를 일으키는 현상은?
60. S-N 곡선에 대한 설명으로 옳은 것은?
4과목: 용접구조설계
61. 아래보기자세 및 수평필릿 용접에 사용되고 많은 철분을 함유하고 있어 그래비티 용접(gravity welding)에 주로 사용되는 용접봉은?
62. 맞대기 용접이음이나 필릿 용접이음의 각 변형을 교정하기 위하여 이용되는 가열법은?
63. 용접 설계 시 고려해야 할 사항으로 옳은 것은?
64. 일반적인 용접 이음 설계 시 주의사항으로 옳은 것은?
65. 용접 시공 시 용접 순서에 대한 설명으로 적합하지 않은 것은?
66. 용접 작업에서 용접 지그를 선택하는 기준으로 적절하지 않은 것은?
67. 접합하려는 두 부재를 겹쳐 놓고 한쪽의 부재에 둥근 구멍을 뚫고 그곳을 용접하는 것은?
68. 용접부 결함의 종류 중 구조상의 결함이 아닌 것은?
69. 각 층마다 전체의 길이를 용접하면서 쌓아올리는 용착방법은?
70. 다음 초음파 탐상법의 종류 중 시험체 내에 초음파 펄스를 보내어 내부 또는 저면에서 생기는 반사파를 탐지하여 내부의 결함을 탐상하는 방법은?
71. 완전 용입된 맞대기 용접의 길이가 150mm이며 강판의 두께 t는 20mm일 때, 굽힘 응력은 약 몇 MPa인가? (단, 굽힘모멘트 Mb는 0.83kNㆍm이다.)
72. 용접번형에 영향을 미치는 인자 중 변형을 억제하는 인자에 해당하는 것은?
73. 방사선투과검사에서 투과도계의 역할은?
74. 용접에 의한 수축 변형 방지법 중 굽힘 변형을 방지하기 위한 방법으로 틀린 것은?
75. 세로 비드 노치 굽힘 시험법으로 용접하지 않은 모재를 시험할 수 있는 장점이 있으며, 용접부의 연성이나 균열을 조사하는 시험은?
76. 용접의 시점과 종점 부분의 용접 결함을 방지하기 위해서 동일한 재질이나 형상의 재료를 붙인 보조판은?
77. 넓은 루트면이 있고 이면 용접된 V형 맞대기 용접을 나타내는 기호는?




78. 아크 용접을 할 때 최초로 아크를 발생시키는 것 또는 모재표면에 순간적으로 아크를 발생시켰다가 끊는 조작으로 생기는 모재 표면상의 결함을 무엇이라고 하는가?
79. 용접부의 잔류응력을 제거하기 위한 방법이 아닌 것은?
80. 브리넬 경도 시험에 사용되는 압입자의 지름으로 틀린 것은?
5과목: 용접일반 및 안전관리
81. 용접물을 겹쳐서 용접 팁과 하부 앤빌 사이에 끼워 놓고 압력을 가하면서 원자가 서로 확산되어 압접하는 방식으로, 금속판은 0.01~2mm, 플라스틱은 1~5mm 정도의 얇은 판 용접이 가능한 압접법은?
82. 탄산가스 아크 용접에서 와이어 송급 시 아크 길이를 자동으로 자기 제어할 수 있는 특성은?
83. 판 두께 0.8~1.2mm의 연강판을 점(spot)용접 할 경우 최소 피치로 가장 적당한 것은?
84. 일반적인 마찰교반용접의 특징으로 틀린 것은?
85. 피복 아크 용접 시 용접기의 1차 입력이 25kVA일 때 용접기의 1차 측에 설치할 안전 스위치에 몇 A의 퓨트를 붙이는 것이 가장 적합한가? (단, 이 용접기의 입력 전압은 200V이다.)
86. 산소 및 아세틸렌 용기 취급 시 주의사항으로 틀린 것은?
87. 다음 중 기온과 습도의 상승작용에 의하여 느끼는 감각 정도를 측정하는 척도는?
88. 이산화탄소 아크 용접 시 건강에 가장 나쁜 영향을 미치는 것은?
89. 남땜의 용제가 갖추어야 할 조건으로 틀린 것은?
90. 다음 용접법 중 용착 효율이 가장 낮은 것은?
91. 가스 용접 시 이상 현상으로 역류가 발생했을 때, 방지대책으로 틀린 것은?
92. 가스 실드계의 대표적인 용접봉으로 셀룰로오스(유기물)를 20~30% 정도 포함하고 있는 연강용 피복 아크 용접봉은?
93. 압력조정기의 구비 조건으로 틀린 것은?
94. 일반적으로 가스용접 시 모재 두께가 1mm이상일 때, 용접봉의 지름을 결정하는 계산식으로 옳은 것은? (단, 용접봉 지름:D(mm), 모재 두께:T(mm))




95. 직류 아크 용접기를 사용하여 용접할 경우 극성을 주의하여야 한다. 이 때 용접봉에는 (-)극을 연결하고, 모재에는 (+)극을 연결하는 것은?
96. 용접의 분류에서 융접에 속하지 않는 것은?
97. 토치의 팁 대신 안지름 3.2~6mm, 길이 1.5~3m 정도의 강관에 산소를 공급하여 그 강관이 산화 연소할 때의 반응열로 금속을 절단하는 방법으로, 두꺼운 강판의 절단이나 주철, 강괴 등의 절단에 사용되는 절단법은?
98. 교류 아크 용접기와 직류 아크 용접기의 비교 설명으로 틀린 것은?
99. 이산화탄소 아크 용접 시 이산화탄소 가스에 산소를 1~5% 정도 혼합하였을 때 나타나는 효과로 가장 거리가 먼 것은?
100. 피복 아크 용접봉의 피복 배합제 성분 중 탈산제가 아닌 것은?