1과목: 전기응용
1. 목표 값이 시간에 따라 변화하는 것을 목표 값에 제어량을 추종하도록 하는 제어가 아닌 것은?
2. 일반적으로 사용되는 서미스터(thermister)는 온도가 증가할 때 저항은?
3. 배리스터(Varistor)의 주된 용도는?
4. 전기도금에 사용되는 전원 장치로 적합한 것은?
5. 가스입 전구에 아르곤가스를 넣을 때에 질소를 봉입하는 이유는?
6. 자동제어에서 검출장치로 소형 직류발전기를 사용하였다. 이것은 다음 중 무엇을 검출하는 것인가?
7. 3300[K]에서 흑체의 최대 파장[μ]은 약 얼마인가? ( 단, 빈의 변위법칙에서 상수 값은 2896[μ·K]이다. )
8. 단상 유도전동기의 기동 토크가 큰 순으로 올바른 것은?
9. 인쇄도장, 난방, 보온, 조리 등 각 분야에서 많이 응용되고 있으며 전구의 필라멘트 온도는 2400~2500[K]로서 수명은 약 5000시간 정도이고 내열유리를 사용하고 있는 전구는?
10. 레일본드와 관계가 없는 것은?
11. 철차의 반대쪽 궤조측에 설치하는 궤조는?
12. 직류 직권전동기의 용도는?
13. 프로젝션 용접의 특징이 아닌 것은?
14. 적외선 건조에 대한 설명으로 틀린 것은?
15. 피열물에 직접 통전하여 발열시키는 직접식 저항로가 아닌 것은?
16. 서로 관계 깊은 것들끼리 짝지은 것이다. 옳지 않은 것은?
17. 전기 화학 당량의 단위는?
18. 열차 제동방법 중 전기에너지를 트롤리선으로 반환하는 제동방법은?
19. 피드백(feed back) 제어계의 특징이 아닌 것은?
20. 10층 빌딩에 설치된 적재중량 1000[kg]의 엘리베이터의 승강속도를 60[m/min]로 할 때 필요한 전동기의 출력은 약몇 [kW]인가? ( 단, 평형추의 평형률은 0.6. 효율은 1이다. )
2과목: 전력공학
21. 차단기의 소호재료가 아닌 것은?
22. 3상 배전선로의 전압강하율을 나타내는 식이 아닌 것은? ( 단, Vs : 송전단 전압, Vr : 수전단 전압, I : 전부하전류, P : 부하전력, Q : 무효전력 이다.)




"은 3상 배전선로의 유효전력과 무효전력의 비율을 나타내는 역률(cosφ)이다. 이는 전압강하율과는 직접적인 관련이 없기 때문에 정답이 아니다. 나머지 보기들은 전압강하율을 나타내는 식이다.23. 송전단 전압을 Vs, 수전단 전압을 Vr, 선로의 직렬 리액턴스를 X 라 할 때 이 선로에서 최대 송전전력은? (단, 선로 저항은 무시한다.)
24. 전선의 굵기가 균일하고 부하가 균등하게 분산 분포되어 있는 배전선로의 전력손실은 전체 부하가 송전단으로부터 전체 전선로 길이의 어느 지점에 집중되어 있을 경우의 손실과 같은가?
25. 선로의 전압을 25[kV]에서 50[kV]로 승압할 경우, 공급전력을 동일하게 취급하면 공급전력은 승압전의 ( ① )배로 되고, 선로 손실은 승압 전의 ( ② )배로 된다. (단, 동일 조건에서 공급 전력과 선로 손실률을 동일하게 취급함)
26. 전력 퓨즈(POWER FUSE)의 특성이 아닌 것은?
27. 발전기의 자기여자현상을 방지하기 위한 대책으로 적합하지 않은 것은?
28. 차단기에서 “0 – t1 – C0 – t2 – C0” 의 표기로 나타내는 것은? ( 단, 0 : 차단 동작, t1, t2 : 시간 간격, C : 투입 동작, C0 : 투입 직후 차단 )
29. 화력발전소에서 탈기기의 설치 목적으로 가장 타당한 것은?
30. 3상의 같은 전원에 접속하는 경우, Δ결선의 콘덴서를 Y결선으로 바꾸어 연결하면 진상용량은?
31. 수력발전소의 조압 수조(서지 탱크)설치 목적은?
32. 전압이 일정값 이하로 되었을 때 동작하는 것으로서 단락시 고장 검출용으로도 사용되는 계전기는?
33. 전력계통의 전압조정과 무관한 것은?
34. 송배전 선로의 도중에 직렬로 삽입하여 선로의 유도성 리액턴스를 보상함으로서 선로정수 그 자체를 변화시켜서 선로의 전압강하를 감소시키는 직렬콘덴서방식의 특성에 대한 설명으로 옳은 것은?
35. 배전반 및 분전반의 설치장소로 가장 적당한 곳은?
36. 배전선로의 접지 목적과 거리가 먼 것은?
37. 철탑의 탑각 접지저항이 커질 때 생기는 문제점은?
38. 전선 양측의 지지점의 높이가 동일할 경우 전선의 단위 길이당 중량을 W[kg], 수평장력을 T[kg], 경간을 S[m], 전선의 이도를 D[m]라 할 때 전선의 실제길이 L[m]를 계산하는 식은?




"이다.39. 22.9[kV-Y] 배전 선로의 보호 협조기기가 아닌 것은?
3과목: 전기기기
41. 정격출력 P[kW], 회전수 N[rpm]인 전동기의 토크[kg⋅m]는?




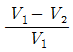
" 입니다.42. 트랜지스터에 비해 스위칭 속도가 매우 빠른 이점이 있는 반면에 용량이 적어서 비교적 저전력용에 주로 사용되는 전력용 반도체 소자는?
43. 단권변압기의 3상 결선에서 Δ결선인 경우, 1차측 선간전압 V1, 2차측 선간전압 V2 일 때 단권변압기의 자기용량/부하용량은? (단, V1>V2인 경우이다.)




" 이다.44. 75[W]이하의 소 출력으로 소형 공구, 영사기, 치과의료용 등에 널리 이용되는 전동기는?
45. 변압기에 사용하는 절연유의 성질이 아닌 것은?
46. 직류발전기의 구조가 아닌 것은?
47. 3상 유도전동기의 원선도 작성시 필요한 시험이 아닌것은?
48. 주파수 60[Hz], 슬립 3[%], 회전수 1164[rpm]인 유도전동기의 극수는?
49. 4극 60[Hz]의 3상 동기발전기가 있다. 회전자의 주변 속도를 200[m/s] 이하로 하려면 회전자의 최대 직경을 약 몇[m]로 하여야 하는가?
50. 동기전동기에서 제동권선의 역할에 해당되지 않는 것은?
51. 유도전동기에서 부하를 증가시킬 때 일어나는 현상에 관한 설명 중 틀린 것은? (단, ns : 회전자계의속도, n : 회전자의 속도이다.)
52. 비철극(원통)형 회전자 동기발전기에서 동기리액턴스값이 2배가 되면 발전기의 출력은?
53. 직류 전동기의 실측효율을 측정하는 방법이 아닌 것은?
54. 2극 단상 60[Hz]인 릴럭턴스(reluctance) 전동기가 있다. 실효치 2[A]의 정현파 전류가 흐를 때 발생 토크의 최대 값 [N⋅m]은? (단, 직축(Ld) 및 횡축(Lq) 인덕턴스는 Ld=2Lq=200[mH]이다.)
55. 동일 정격의 3상 동기발전기 2대를 무부하로 병렬 운전하고 있을 때, 두 발전기의 기전력 사이에 30°의 위상차가 있으면 한 발전기에서 다른 발전기에 공급되는 유효전력은 몇 [kW]인가? (단, 각 발전기의(1상의) 기전력은 1000[V], 동기 리액턴스는 4[Ω]이고, 전기자 저항은 무시한다.)
56. 3상 유도전동기의 슬립과 토크의 관계에서 최대 토크를 Tm, 최대 토크를 발생하는 슬립을 st, 2차 저항이 R2일 때의 관계는?
57. 50[kW], 610[V], 1200[rpm]의 직류 분권전동기가 있다. 70[%] 부하일 때 부하전류는 100[A], 회전 속도는 1240[rpm]이다. 전기자 발생 토크[kg⋅m]는? (단, 전기자 저항은 0.1[Ω]이고, 계자 전류는 전기자 전류에 비해 현저히 작다.)
58. 변압기 온도시험을 하는 데 가장 좋은 방법은?
59. 변압기 결선방법 중 3상 전원을 이용하여 2상 전압을 얻고자 할 때 사용할 결선 방법은?
60. 동기 발전기의 전기자 권선법 중 집중권에 비해 분포권의 장점에 해당되는 것은?
4과목: 회로이론
61. 다음과 같이 변환시 R1+R2+R3의 값[Ω]은? (단, Rab=2[Ω], Rbc=4[Ω], Rca=6[Ω]이다.)
62. 저항 R1=10[Ω]과 R2=40[Ω]이 직렬로 접속된 회로에 100[V], 60[Hz]인 정현파 교류전압을 인가할 때, 이 회로에 흐르는 전류로 옳은 것은?
63. 두 점 사이에는 20[C]의 전하를 옮기는데 80[J]의 에너지가 필요하다면 두 점 사이의 전압은?
64. 그림과 같은 회로에서 t=0일 때 스위치 K를 닫을 때 과도 전류 i(t)는 어떻게 표시되는가?




"입니다.65. 그림과 같은 4단자 회로망에서 어드미턴스 파라미터 Y12[℧]는?




66. 테브난의 정리를 이용하여 그림(a)의 회로를 (b)와 같은 등가회로로 만들려고 할 때 V와 R의 값은?
67. 그림과 같은 4단자 회로망에서 출력측을 개방하니 V1=12[V], I1=2[A], V2=4[A]이고, 출력측을 단락하니 V1=16[V], I1=4[A], I2=2[A]이었다. 4단자 정수 A, B, C, D는 얼마인가?
68. 대칭 3상 전압을 그림과 같은 평형 부하에 가할 때 부하의 역률은 얼마인가? (단, R=9[Ω], 1/ωC=4[Ω] 이다.)
69. 다음 중 옳지 않은 것은?
70. 코일에 단상 100[V]의 전압을 가하면 30[A]의 전류가 흐르고 1.8[KW]의 전력을 소비한다고 한다. 이 코일과 병렬로 콘덴서를 접속하여 회로의 합성 역률을 100[%]로 하기 위한 용량 리액턴스[Ω]는?
71. 대칭 3상전압을 공급한 3상 유도전동기에서 각 계기의 지시는 다음과 같다. 유도전동기의 역률은 얼마인가? (단, W1=1.2[kW], W2=1.8[kW], V=200[V], A=10[A] 이다.)
72. 비정현파에서 정현 대칭의 조건은 어느 것인가?
73. 그림과 같은 회로의 합성 인덕턴스는?
74. 100[V] 전압에 대하여 늦은 역률 0.8로서 10[A]의 전류가 흐르는 부하와 앞선 역률 0.8로서 20[A]의 전류가 흐르는 부하가 병렬로 연결되어 있다. 전 전류에 대한 역률은 약 얼마인가?
75. 두 코일이 있다. 한 코일의 전류가 매초 40[A]의 비율로 변화할 때 다른 코일에는 20[V]의 기전력이 발생하였다면 두 코일의 상호인덕턴스는 몇 [H]인가?
76. 3상 불평형 전압에서 영상전압이 150[V]이고 정상전압이 600[V], 역상전압이 300[V]이면 전압의 불평형률[%]은?
77. tsinωt 의 라플라스 변환은?
78.
의 라플라스 함수의 역변환의 값은?
79. RLC 직렬회로에 t=0에서 교류전압 e=Emsin(ωt+θ)를 가할 때
이면 이회로는?
80. 전압 e=5+10√2sinωt+10√2sin3ωt[V]일 때 실효값은?
5과목: 전기설비
81. 특고압 가공전선로를 제3종 특고압 보안공사에 의하여 시설하는 경우는?
82. 가공 전선로의 지지물에 시설하는 지선의 안전율은 일반적인 경우 얼마 이상이어야 하는가?
83. 제1종 또는 제2종 접지공사에 사용하는 접지선을 사람이 접촉할 우려가 있는 곳에 시설하는 경우에 합성수지관 또는 이와 동등 이상의 절연효력 및 강도를 가지는 몰드로 접지선을 덮어야 하는가?
84. 400[V] 미만의 저압용 계기용변성기에 있어서 그 철심에는 몇 종 접지공사를 하여야 하는가?
85. 가공 전선로에 사용하는 지지물의 강도계산에 적용하는 갑종 풍압하중을 계산할 때 구성재의 수직 투영면적 1[m2]에 대한 풍압의 기준이 잘못된 것은?
86. 금속덕트 공사에 의한 저압 옥내배선에서, 금속덕트에 넣은 전선의 단면적의 합계는 덕트 내부 단면적의 몇 [%]이하 이어야 하는가?
87. 가공 전선로의 지지물에 시설하는 통신선은 가공 전선과의 이격거리를 몇 [cm] 이상 유지하여야 하는가? (단, 가공전선은 고압으로 케이블을 사용한다.)
88. 주상변압기 전로의 절연내력을 시험할 때 최대 사용전압이 23000V인 권선으로서 중성점 접지식 전로(중성선을 가지는 것으로서 그 중성선에 다중접지를 한 것)에 접속하는 것의 시험전압은?
89. 교류식 전기철도의 전차선과 식물사이의 이격거리는 몇 [m] 이상이어야 하는가?
90. 아파트 세대 욕실에 '비데용 콘센트'를 시설하고자 한다. 다음의 시설방법 중 적합하지 않는 것은?
91. 저압 및 고압 가공전선의 최소 높이는 도로를 횡단하는 경우와 철도를 횡단하는 경우에 각각 몇 [m] 이상이어야 하는가?
92. 유희용 전차에 전기를 공급하는 전로의 사용전압이 교류인 경우 몇 [V] 이하이어야 하는가?
93. 빙설이 적고 인가가 밀집된 도시에 시설하는 고압 가공 전선로 설계에 사용하는 풍압하중은?
94. 저압 접촉전선을 절연 트롤리 공사에 의하여 시설하는 경우에 대한 기준으로 옳지 않은 것은? (단, 기계기구에 시설하는 경우가 아닌 것으로 한다.)
95. 철도⋅궤도 또는 자동차도의 전용터널 안의 터널내 전선로의 시설방법으로 틀린 것은?
96. 강색 철도의 시설에 대한 설명으로 틀린 것은?
97. 345[kV] 옥외 변전소에 울타리 높이와 울타리에서 충전부분까지 거리[m]의 합계는?
98. 고압 가공전선이 교류 전차선과 교차하는 경우, 고압가공전선으로 케이블을 사용하는 경우 이외에는 단면적 몇[mm2]이상의 경동연선을 사용하여야 하는가?
99. 고압 옥내배선이 다른 고압 옥내배선과 접근하거나 교차하는 경우 상호간의 이격거리는 최소 몇 [cm] 이상이어야 하는가?
100. 저압 옥내배선 버스덕트공사에서 지지점간의 거리[m]는? (단, 취급자만이 출입하는 곳에서 수직으로 붙이는 경우)