1과목: 전기응용
1. 광도의 단위는 무엇인가?
2. 열 절연재료로 사용되지 않는 것은?
3. 다음 중 형광체로 쓰이지 않는 것은?
4. 2차 저항제어를 하는 권선형 유도 전동기의 속도 특성은?
5. 황산용액에 양극으로 구리막대, 음극으로 은막대를 두고 전기를 통하면, 은막대는 구리색이 난다. 이를 무엇이라고 하는가?
6. 급전선의 급전 분기장치의 설치 방식이 아닌것은?
7. 방전개시 전압을 나타내는 것은?
8. 전기 분해로 제조되는 것은 어느 것인가?
9. 용접용 전원의 특성은 부하가 급히 증가할 때 전압은?
10. 권상하중 10,000kg, 권상속도 5m/min의 기중기용 전동기 용량은 약 몇 kW인가? (단, 전동기를 포함한 기중기의 효율은 80%라 한다.)
11. 다음 중 토크가 가장 적은 전동기는?
12. 다음 중 고압 아크로가 아닌 것은?
13. 역방향 바이어스 전압에 따라 접합 정전용량이 가변되는 성질을 이용하는 다이오드는?
14. 공구, 기계부품, 전기기구 부품 등의 납땜 작업에 널리 사용되는 용접은?
15. 조절계의 조절요소에서 비례 미분에 관한 기호는?
16. 전동력 응용기술의 특성으로 틀린 것은?
17. 엘리베이터용 전동기에 대한 설명으로 틀린 것은?
18. 눈부심을 일으키는 램프의 휘도 한계는 얼마인가?
19. 200W 전구를 우유색 구형 글로브에 넣었을 경우 우유색 유리의 반사율 40%, 투과율은 50%라고 할 때 글로브의 효율은 약 몇 %인가?
20. 평균 구면 광도가 90cd인 전구로부터의 총 발산 광속[lm]은?
2과목: 전력공학
21. 60Hz, 154kV, 길이 200km인 3상 송전선로에서 대지정전용량 Cs=0.008㎌/km, 선간 정전용량 Cm=0.0018㎌/km일 때, 1선에 흐르는 충전 전류는 약 몇 A인가?
22. 440V 공공시설의 옥내 배선을 금속관 공사로 시설하고자 한다. 금속관에 어떤 접지공사를 해야 하는가?(관련 규정 개정전 문제로 여기서는 기존 정답인 4번을 누르면 정답 처리됩니다. 자세한 내용은 해설을 참고하세요.)
23. 조상설비가 있는 1차 변전소에서 주변압기로 주로 사용되는 변압기는?
24. 소수력 발전의 장점이 아닌 것은?
25. 아킹혼의 설치 목적은?
26. 유효낙차 400m의 수력발전소에서 펠턴수차의 노즐에서 분출하는 물의 속도를 이론값의 0.95배로 한다면 물의 분출속도는 약 몇 m/s인가?
27. 초고압 장거리 송전선로에 접속되는 1차 변전소에 병렬 리액터를 설치하는 목적은?
28. SF6 가스 차단기의 설명으로 틀린 것은?
29. 송전선로에서 역섬락을 방지하려면?
30. 직류 송전방식이 교류 송전 방식에 비하여 유리한 점이 아닌 것은?
31. 그림과 같은 평형 3상 발전기가 있다. a상이 지락한 경우 지락전류는 어떻게 표현되는가? (단, Z0:영상 임피던스, Z1:정상 임피던스 Z2: 역상 임피던스이다.)




32. 전력 계통의 안정도 향상 대책으로 볼 수 없는 것은?
33. π형 회로의 일반회로 정수에서 B는 무엇을 의미하는가?
34. 전원이 양단에 있는 방사상 송전선로에서 과전류 계전기와 조합하여 단락 보호에 사용하는 계전기는?
35. 송전단의 전력원 방정식이 Ps2+(Qs-300)2=250000인 전력계통에서 최대전송 가능한 유효전력은 얼마인가?
36. 그림에서 X 부분에 흐르는 전류는 어떤 전류인가?
37. 변류기 개방 시 2차측을 단락하는 이유는?
38. 그림과 같은 배전선이 있다. 부하에 급전 및 정전할 때 조작 방법으로 옳은 것은?
39. 피괴기가 방전을 개시할 때 단자전압의 순시값을 방전개시 전압이라 한다. 피뢰기 방전 중 단자 전압의 파고값을 무슨 전압이라고 하는가?
40. 3상 1회선과 대지간의 충전전류가 1km당 0.25A 일 때 길이가 18km인 선로의 충전전류는 몇 A인가?
3과목: 전기기기
41. 직류 분권 전동기가 단자전압 215V, 전기자 전류 50A, 1500rpm으로 운전되고 있을 때 발생 토크는 약 몇 N • m인가? (단, 전기자 저항은 0.1Ω이다.)
42. 어느 변압기의 1차 권수가 1500인 변압기의 2차측에 접속한 20Ω의 저항은 1차측으로 환산했을 때 8kΩ으로 되었다고 한다. 이 변압기의 2차 권수는?
43. SCR의 특징이 아닌것은?
44. 8극과 4극 2개의 유도 전동기를 종속법에 의한 직렬 종속법으로 속도제어를 할 때, 전원주파수가 60Hz인 경우 무부하 속도[rpm]는?
45. 1차전압 6900V, 1차권선 3000회, 권수비 20의 변압기가 60Hz에 사용할 때 철심의 최대 자속[Wb]은?
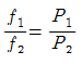
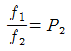
46. 동기 발전기의 병렬운전 시 동기화력은 부하각 δ와 어떠한 관계인가?
47. 30kW의 3상 유도전동기에 전력을 공급할 때 2대의 단상 변압기를 사용하는 경우 변압기의 용량[kVA]은? (단, 전동기의 역률과 효율은 각각 84%, 86%이고 전동기 손실은 무시한다.)
48. 동기 주파수 변환기의 주파수 f1및 f2 계통에 접속되는 양 극을 P1, P2라 하면 다음 어떤 관계가 성립되는가?




49. 유도 전동기 원선도에서 원의 지름은? (단, E는 1차전압, r은 1차로 환산한 저항, x는 1차로 환산한 누설리액턴스라 한다.)
에 비례
에 비례50. 유도 전동기의 2차 동손을 Pc, 2차 입력을 P2, 슬립을 s라 할 때, 이들 사이의 관계는?


51. 슬롯수 36의 고정자 철심이 있다. 여기에 3상 4극의 2층권을 시행할 때, 매극 매상의 슬롯수와 총 코일수는?
52. 입력 전압이 220V일 때, 3상 전파제어 정류회로에서 얻을 수 있는 직류 전압은 몇 V인가? (단, 최대 전압은 점호각 α=0일 때이고, 3상에서 선간전압으로 본다.)
53. 직류 전동기의 회전수를 1/2로 줄이려면, 계자 자속을 몇 배로 하여야 하는가? (단, 전압과 전류등은 일정하다.)
54. 전부하로 운전하고 있는 60Hz, 4극 권선형 유도 전동기의 전부하 속도는 1728rpm, 2차 1상의 저항은 0.02Ω이다. 2차 회로의 저항을 3배로 할 때의 회전수[rpm]는?
55. 단상 변압기 3대를 이용하여 3상 △-△결선을 했을 때, 1차와 2차 전압의 각변위(위상차)는?
56. 변압기의 임피던스 전압이란?
57. 3상 유도 전동기를 급속하게 정지시킬 경우에 사용되는 제동법은?
58. 동기 전동기의 진상전류에 의한 전기자 반작용은 어떤 작용을 하는가?
59. 3상 권선형 유도전동기의 2차 회로의 한상이 단선된 경우에 부하가 약간 커지면 슬립이 50%인 곳에서 운전이 되는 것을 무엇이라 하는가?
60. 2상 서보모터의 제어방식이 아닌 것은?
4과목: 회로이론
61.
의 라플라스 변환 X(s)의 값은? (단, x=0이다.)


62. 4단자 회로에서 4단자 정수를 A, B, C, D라 할때 전달정수 θ는 어떻게 되는가?ㅌㅋㅋㅌ




63. 다음 회로에서 10Ω의 저항에 흐르는 전류는 몇 A인가?
64. 3상 회로에 △결선된 평형 순저항 부하를 사용하는 경우 선간전압 220V, 상전류가 7.33A라면 1상의 부하저항은 약 몇 Ω인가?
65. 그림과 같은 순저항으로 된 회로에 대칭 3상 전압을 가했을 때, 각 선에 흐르는 전류가 같으려면 R[Ω]의 값은?
66. 다음 용어에 대한 설명으로 옳은 것은?
67. 그림과 같은 회로에서 입력을 V1(s), 출력을 V2(s)라 할 때, 전압비 전달함수는?




68. 어떤 코일에 흐르는 전류를 0.5ms 동안에 5A만큼 변화시킬 때 20V의 전압이 발생한다. 이 코일의 자기 인덕턴스[mH]는?
69. 반파대칭 및 정현대칭인 왜형파의 푸리에 급수의 전개에서 옳게 표현된 것은? (단,
)
70. 어떤 소자가 60Hz에서 리액턴스 값이 10Ω이었다. 이 소자를 인덕터 또는 커패시터라 할때, 인덕턴스[mH]와 정전용량 [㎌]은 각각 얼마인가?
71. 다음과 같은 π형 회로의 4단자 정수 중 D의 값은?



72. 전기량(전하)의 단위로 알맞은 것은?
73. 저항 60Ω과 유도리액턴스 wL=80Ω인 코일이 직렬로 연결된 회로에 200V의 전압을 인가할 때 전압과 전류의 위상차는?
74. 다음 회로에서 t=0일 때 스위치 K를 닫았다. i1(0+), i2(0+)의 값은? (단, t<0에서 C전압과 L전압은 각각 0V이다.)



75. 그림과 같이 저항 R=3Ω과 용량리액턴스
인 콘덴서가 병렬로 연결된 회로에 100V의 교류 전압을 인가할 때, 합성 임피던스Z[Ω]는?
76. 전달함수
을 갖는 요소가 있다. 이 요소에 w=2[rad/sec]인 정현파를 주었을 때 |G(jw)|를 구하면?
77. 시정수 τ를 갖는 RL직렬회로에 직류 전압을 가할 때 t=2τ되는 시간에 회로에 흐르는 전류는 최종값의 약 몇%인가?
78. 3상 4선식에서 중성선이 필요하지 않아서 중성선을 제거하여 3상 3선식으로 하려고 한다. 이때 중성선의 조건식은 어떻게 되는가? (단, Ia, Ib, Ic는 각상의 전류이다.)

79.
에서 모든 초기값을 0으로 하고 라플라스 변환 할 때 I(s)는? (단, I(s), Ei(s)는 i(t), ei(t)의 라플라스 변환이다.)




80. 대칭 3상 Y결선 부하에서 각 상의 임피던스가 16+j12Ω이고 부하전류가 10A일 때, 이 부하의 선간전압은 약 몇 V인가?
5과목: 전기설비
81. 변압기로서 특고압과 결합되는 고압전로의 혼촉에 의한 위험방지 시설은?
82. 특고압 가공전선로에서 양측의 경간의 차가 큰 곳에 사용하는 철탑의 종류는?
83. 발전기, 변압기, 조상기, 모선 또는 이를 지지하는 애자는 단락전류에 의하여 생기는 어느 충격에 견디어야 하는가?
84. 옥내에 시설하는 저압 전선으로 나전선을 사용할 수 있는 배선공사는?
85. 금속제 수도관로 또는 철골, 기타의 금속제를 접지극으로 사용한 제1종 또는 제2종 접지공사의 접지선 시설방법은 어느 것에 준하여 시설하여야 하는가?
86. 22kV 전선로의 절연내력 시험은 전로와 대지간에 시험전압을 연속하여 몇 분간 가하여 시험하게 되는가?
87. 저압 옥내배선을 케이블트레이 공사로 시설하려고 한다. 틀린 것은?
88. 건조한 장소에 시설하는 애자사용 공사로서 사용전압이 440V인 경우 전선과 조영재와의 이격거리는 최소 몇 cm 이상이어야 하는가?
89. 가공전선로의 지지물에 지선을 시설할 때 옳은 방법은?
90. 교통신호등의 시설공사를 다음과 같이 하였을 때 틀린 것은?
91. 전로의 절연 원칙에 따라 반드시 절연하여야 하는 것은?
92. 발전기의 용량에 관계없이 자동적으로 이를 전로로부터 차단하는 장치를 시설하여야 하는 경우는?
93. 방직공장의 구내 도로에 220V 조명등용 가공 전선로를 시설하고자 한다. 전선로의 경간은 몇 m 이하이어야 하는가?
94. 옥외 백열전등의 인하선으로 공칭단면적 2.5mm2 이상의 연동선과 동등 이상의 세기 및 굵기의 절연전선을 사용해야 하는 지표상의 높이는 몇 m 미만인가?
95. 345kV 가공 송전선로를 제1종 특고압 보안 공사에 의할 때 사용되는 경동연선의 굵기는 몇 mm2이상이어야 하는가?
96. 금속관 공사에 의한 저압옥내배선 시설 방법으로 틀린것은?
97. 한 수용장소의 인입선에서 분기하여 지지물을 거치지 않고 다른 수용장소의 인입구에 이르는 부분의 전선을 무엇이라 하는가?
98. 중량물이 통과하는 장소에 비닐외장 케이블을 직접 매설식으로 시설하는 경우 매설 깊이는 몇 m 이상이어야 하는가?(2021년 변경된 KEC 규정 적용됨)
99. 특고압 가공전선이 다른 특고압 가공전선과 교차하여 시설하는 경우는 제 몇 종 특고압 보안 공사에 의하여야 하는가?
100. 특고압 전로와 저압 전로를 결합하는 변압기 저압측의 중성점에 제 2종 접지공사를 토지의 상황 때문에 변압기의 시설장소마다 하기 어려워서 가공 접지선을 시설하려고 한다. 이 때 가공 접지선으로 경동선을 사용한다면 그 최소 굵기는 몇 mm인가?