1과목: 디지털 전자회로
1. 다음 중 연산증폭기를 사용한 회로의 출력(Vo) 파형으로 적합한 것은?




2. 다음 중 궤환 증폭기에서 입ㆍ출력 임피던스가 모두 증가되는 것은?
3. 다음 회로에서 전압 전달함수
는? (단, R1=2R2, R3=R4)
4. 다음 중 저주파 증폭기의 결합방식에 의한 분류에 해당하지 않는 것은?
5. 다음 중 차동증폭기의 설계 조건에 해당되지 않는 것은?
6. 그림과 같은 증폭회로의 이미터와 접지 사이에 저항 Re를 삽입할 경우 이에 대한 설명으로 옳은 것은?
7. 그림과 같은 회로에서 Vo는 몇 [V]인가?
8. 4변수에 대한 카르노맵(Karnaugh map)이 그림과 같이 주어졌을 경우 이를 논리식으로 표현하면?
9. 그림과 같은 발진회로의 형태는?
10. 미분회로에 삼각파를 입력했을 때 나타나는 출력파형은?
11. 시미트 트리거(Schmitt trigger) 회로의 특징으로 틀린 것은?
12. 논리식
를 간단히 하면?
13. FET 드레인 접지형 증폭기의 특성을 설명한 내용으로 적합하지 않은 것은? (단, gm : FET의 상호 컨덕턴스)
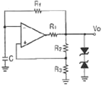
14. 다음 OP Amp 회로의 전압증폭도
는?
15. 불대수식
를 간단히 할 경우 옳은 것은?
16. 다음 중 Push-pull 전력 증폭기에서 출력 신호의 왜곡이 작아지는 주된 이유는?
17. n개의 입력으로부터 2진 정보를 2n개의 독자적인 출력으로 변환이 가능한 것은?
18. 다음 중 병렬전압궤환 증폭기에서 궤환율 β는 약 얼마인가? (단, 출력전압 ≫ 입력전압이라고 가정한다.)



19. 다음 중 그림의 RC 이상발진기에서 발진 주파수 fo 로 적합한 것은?




20. 그림의 회로에서 RL=100[Ω], ab에서 본 부하저항 Rab는 10[kΩ]이다. 이상적인 변압기에서 권선비
는?
2과목: 정보통신 시스템
21. 다음 중 떨어진 지역의 컴퓨터를 통신 회선을 이용하여 결합하고 정보를 공유함으로써 컴퓨터의 기능과 처리면에서 전체 시스템의 성능과 신뢰성을 향상시키는 방식은?
22. 다음 프로토콜 중 OSI 7계층의 애플리케이션 계층에 해당하지 않는 것은?
23. 다음 중 인터넷에서 트랜스포트 계층의 비연결형 서비스 프로토콜은?
24. 50개의 국간을 망형으로 연결하기 위한 필요 회선수는?
25. 다음 중 계층화된 통신구조를 통한 데이터 전송시 상위계층에서 하위계층으로 데이터를 전달할 때 필요한 정보를 부가하는 과정은?
26. 정보통신시스템의 기본 구상에서 데이터 전송계에 속하지 않는 것은?
27. 패킷교환에서 데이터그램(datagram)방식에 대한 설명으로 틀린 것은?
28. ATM 기술에 대한 설명으로 틀린 것은?
29. 다음 중 광 전송에서 광원과 광섬유의 결합효율을 예측할 수 있는 파라미터가 아닌 것은?
30. ITU-T가. X.25 패킷 교환망의 데이터링크 프로토콜로 채택한 것은?
31. 계층간의 통신에 대한 모델에서 네트워크의 다른 지역에 있는 대등 실체에게 보내지는 정보로 그 실체에게 어떤 서비스 기능을 수행하도록 지시하는 프로토콜 제어정보를 의미하는 것은?
32. 다음 중 데이터링크 계층까지의 기능을 수행하는 동종의 네트워크를 연결하는데 이용되는 것은?
33. 기업간 거래정보를 컴퓨터망을 이용한 전자적 수단으로 처리하는 것은?
34. 광통신방식에서 광신호를 전기적 세력으로 변환해 주는 소자는?
35. 다음 중 광섬유 케이블의 일반적인 특징이 아닌 것은?
36. 다음 중 동일한 기지국내 섹터간의 핸드오버는?
37. TCP/IP 네트워크 상에서 IP 주소를 물리적 네트워크 주소로 대응시키기 위해 사용되는 프로토콜은?
38. 다음 중 TMN 통신망 관리의 기능에 속하지 않는 것은?
39. 다음 DATA 전송제어문자의 내용이 적합하지 않은 것은?
40. ITU-T의 V시리즈는 무엇을 대상으로 하는 표준안 인가?
3과목: 정보통신 기기
41. 경로에 따른 전자파의 분류에서 지상파가 아닌 것은?
42. 다음 중 고속의 송신 신호를 다수의 직교하는 협대역의 반송파로 다중화 시키는 변조방식은?
43. 다음 중 G3 Fax의 설명으로 거리가 먼 것은?
44. 다음 중 전화 교환기의 제어방식이 아닌 것은?
45. 전화기의 푸시버튼 다이얼 방식 중 특수 서비스 기능이 아닌것은?
46. 반송파로 사용하는 정현파의 진폭에 정보를 싣는 변조 방식은?
47. 다음 중 위성 중계기의 구성요소가 아닌 것은?
48. 다음 중 LAN에서 리피터(Repeater)의 설명으로 틀린 것은?
49. 다음 중 이동통신분야에서 사용되는 다원접속방식이 아닌 것은?
50. 다음 설명에 해당되는 단말의 표시장치는?
51. 디지털 회선에 디지털 데이터의 형태로 전송할 때 필요한 것은?
52. 통신제어장치의 기능에 대한 가장 적합한 설명은?
53. 비디오텍스에서 점, 선, 호, 다각형과 같은 기하학적 요소의 조합에 의해 표현되는 방식은?
54. 다음 중 X.400의 권고안에 따른 전자우편 시스템은?
55. 다음 중 순환잉여검사(CRC)에 의한 에러검출을 사용하지 않는 것은?
56. 디지털셀룰러 방식에서 페이딩에 의한 군집성 오류(Burst Error)를 극복하기 위하여 오류정정부호와 함께 사용하는 기술은?
57. 셀룰러 이동통신 시스템의 구성요소가 아닌 것은?
58. 다음 중 HDTV의 일반적인 설명으로 옳은 것은?
59. 다음 중 회선교환의 특징으로 잘못 설명된 것은?
60. 다음 중 SSB 변조방식이 DSB 변조방식에 비해 장점이 아닌것은?
4과목: 정보전송 공학
61. 다음 중 광섬유를 SIF 및 GIF로 분류하는 것은 무엇에 따른 것인가?
62. 다음 중 파장분할다중화(WDM) 기술에 대한 설명으로 적합하지 않은 것은?
63. 전송하고자 하는 총 비트 수가 72개 일 때 해밍 비트 수는 몇 개 인가?
64. HDLC 프로토콜의 프레임 구조에서 프레임이 잘 전송되었는 지 확인하기 위한 에러 검출용 16비트 코드로 구성된 것은?
65. HDLC 프로토콜에서 복합국끼리 상대방의 허가 없이 데이터 전송을 할 수 있는 동작 모드는?
66. 다음 베이스 밴드 전송방식 중 저주파 차단왜곡이 가장 적은 신호방식은?
67. 다음 중 광섬유의 분산에 대한 설명으로 적합하지 않은 것은?
68. 다음 중 동기식 전송방식에 대한 설명으로 가장 적합한 것은?
69. k번째 표본화 시간에서 표본값 m(t)와 표본시간(k-1)에서의 표본값 m(k-1)사이의 차를 보통 4-5 비트 양자화를 수행하는 변조방식은?
70. 전송제어를 위해 하이브리드 ARQ 라는 효율적인 방법이 제안되고 있는데 이것은 무엇과 무엇의 하이브리드 인가?
71. 다음 중 데이터링크계층의 역할로서 옳지 않은 것은?
72. 전용회선의 전송특성 열화 요인 중 정상 열화 요인에 속하지 않는 것은?
73. 다음 중 전송부호가 가져야 하는 조건으로 적합하지 않은 것은?
74. 수신한 마이크로파를 중간주파수로 변환하고 검파하여 음성 또는 영상 신호로 만든 후 다시 마이크로파로 변조하여 송신하는 중계방식은?
75. 16진 QAM 변조기에서 레벨변환기에 2개의 입력신호가 들어가면 레벨변환기 출력에는 몇 개의 신호가 나오는가?
76. 4진 PSK 변조방식을 사용하는 모뎀에서 데이터 신호 속도가 9600[bps] 일 때 변조속도는 몇 [baud]인가?
77. 다음 중 STP 케이블에 대한 설명으로 적합하지 않은 것은?
78. 다음 중 정합필터에 대한 설명으로 적합하지 않은 것은?
79. 다음 중 지터에 대한 설명으로 적합하지 않은 것은?
80. CEPT 방식 PCM 디지털 하이어라키의 4, 5계위에서 사용되는 전송부호는?
5과목: 전자계산기일반 및 정보통신설비기준
81. BCD 코드 1001에 대한 해밍 코드를 구하면? (단, 짝수 패리티 체크를 수행한다.)
82. 다음 중 하드웨어 신호에 의하여 특정 번지의 서브루틴을 수행하는 것은?
83. 캐시 접근시간 100㎲, 주기억장치 접근시간 1000㎲, 히트율 0.9인 컴퓨터 시스템의 평균 메모리 접근 시간은?
84. 마이크로프로세서는 내부 레지스터의 길이, 데이터 버스의 구조, 내부 메모리의 크기 등에 의해 그 성능이 평가된다. 다음 중 가장 성능이 낮은 마이크로프로세서는 어느 것인가?
85. 다음 중 Linux 운영체제의 특징과 가장 거리가 먼 것은?
86. 다음 중 10진수로 변환한 값이 다른 것은?
87. 다음 중 선점 스케줄링에 대한 설명으로 옳은 것은?
88. GNU 일반 공중 사용 허가서에 저작권의 한 부분으로 보장한 내용이 아닌 것은?
89. 기억장치의 주소와 그 내용이 다음의 표와 같다고 할 때, 어셈블리어로 LOAD 120 이란 명령이 직접 주소 방식이라면 오퍼랜드는 무엇이 되는가?
90. 명령 사이클의 설명으로 올바른 것은?
91. 다음 중 정보통신공사업자 이외의 자가 시설할 수 있는 경미한 공사에 해당하지 않는 것은?
92. 다음 중 방송통신위원회가 전기통신기본계획을 수립하고자 하는 경우에 미리 관계 행정기관의 장과 협의하여야 하는 사항은?
93. 다음 중 정보통신부장관의 전기통신기술진흥을 위한 시행 계획에 포함되지 않는 사항은?
94. 전기통신을 행하기 위하여 계통적·유기적으로 연결·구성된 전기통신설비의 집합체를 말하는 것은?
95. 다음 중 정보통신공사업의 등록을 할 수 있는 자는?
96. 다음 중 우리나라 전기통신사업의 구분에 속하지 않는 것은?
97. 터널식 통신구 공사의 하자담보책임기간은?
98. 다음 중 정보통신공사업법에 의한 감리원의 업무범위가 아닌것은?
99. 다음 ( ) 안에 들어갈 내용으로 가장 적합한 것은?
100. 다음 ( ) 안에 들어갈 내용으로 가장 적합한 것은?