1과목: 디지털 전자회로
1. 60[Hz] 정현파 신호가 전파정류기에 입력될 경우 출력신호의 주파수는?
2. 다음 중 스위칭 정전압 회로에 대한 설명으로 틀린 것은?
3. 베이스 접지 증폭회로에서 차단주파수가 50[MHz]인 트랜지스터를 이미터 접지로 했을 때의 차단주파수는 얼마인가? (단, β=99라 한다.)
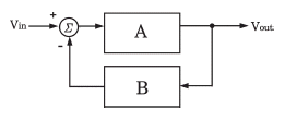
4. 다음과 같은 궤환 증폭회로(부궤환)의 궤환 증폭도(Ar)는?




5. 어떤 차동증폭기의 차동이득이 1,000이고 동상이득이 0.1일 때, 이 증폭기의 동상신호제거비(CMRR) 값은?
6. 다음 회로의 종류는?
7. 증폭기와 정궤환 회로를 이용한 발진회로에서 증폭기의 이득을 A, 궤환율을 β라고 할 때, βA > 1이면 출력되는 파형은 어떤 현상이 발생하는가?
8. 다음 중 온도 특성이 좋고, 전원이나 부하의 변동에 대하여 비교적 안정도가 좋기 때문에 안정한 주파수의 발생원으로 많이 쓰이는 발진 회로는?
9. FM 변조에서 최대 주파수 편이가 80[kHz]일 때 주파수 변조파의 대역폭은 약 얼마인가?
10. FM 검파 방식 중 주파수 변화에 의한 전압 제어 발진기의 제어신호를 이용하여 복조하는 방식은?
11. 다음 중 주파수 변조에 대한 설명으로 틀린 것은?
12. 다음 중 아날로그 신호를 디지털 신호로 변환할 때 양자화 잡음의 경감 대책이 아닌 것은?
13. 다음 중 구형파를 발생시키는 발진기는?
14. 다음 회로에서 Vi > VB일 때, 회로의 출력 파형은 어느 것인가? (단, 다이오드의 VT 값은 무시한다.)




15. 다음 회로에서 VCC=5[V]일 때 출력 전압은? (단, A=5[V], B=0[V], 다이오드의 VT=0[V]이다.)
16. 다음 그림의 논리 회로에 대한 논리식은?




17. 그림의 회로에서 A=B=0이면 X1과 X2의 값은 각각 얼마인가?
18. 플립플롭 6개로 구성된 계수기가 가질 수 있는 최대 2진 상태수는?
19. 다음 중 전가산기(Full Adder)를 정확히 설명한 것은?
20. 다음 중 특정 비트의 값을 무조건 0으로 바꾸는 연산은?
2과목: 정보통신 시스템
21. 아날로그 전송 회선에서 BPSK 변조방식을 사용하여 4,800[bps]의 전송속도로 데이터를 전송하려 할 때 필요한 주파수대역폭은?(단, 잡음이 없는 채널일 경우)
22. 핀테크(FinTech)란 금융(Finance)과 기술(Technology)의 합성어로, 금융과 IT의 융합을 통한 금융서비스 및 산업의 변화를 통칭한다. 다음 중 핀테크의 일반적인 구성 범위가 아닌 것은?
23. 다음 중 버스형 통신망 구조에 대한 설명으로 틀린 것은?
24. 70개의 노드를 망형으로 연결할 때 필요한 회선 수는?
25. 프로토콜의 구성요소 중 “통신할 데이터의 형식”이란 의미로 코딩, 신호레벨 등을 정의하며 통신에서 전달되는 자료의 구조를 정의하는 것은?
26. 다음 중 대등-대-대등(pear-to-pear) 프로세스에 대한 설명으로 가장 적절한 것은?
27. SSL(Secure Socket Layer)은 사이버 공간에서 전달되는 정보의 안전한 거래를 보장하기 위해 넷스케이프사가 정한 인터넷 통신규약 프로토콜을 말한다. 다음 OSI 7 계층 중 SSL이 동작하는 계층은?
28. 전자우편이나 파일전송과 같은 사용자 서비스를 제공하는 계층은?
29. 데이터에 통신국의 주소, 에러 검출 부호, 프로토콜 제어 등의 제어 정보인 헤더(Header)를 부착하는 기능은?
30. 통신 중에 교환기의 스위치가 닫히게 되어 송신자와 수신자 사이에 물리적인 회선이 만들어지며 전화나 TV같은 연속적인 정보를 전송하는데 사용되는 교환방식은?
31. BISDN에 요구되는 다양한 기능을 수행하기 위하여 프로토콜 기준모형(PRM : Protocol Reference Model)을 채택한다. 다음 중 BISDN PRM내 ATM 계층의 기능이 아닌 것은?
32. 다음 중 CSMA/CD 방식에 관한 특징으로 옳지 않은 것은?
33. 다음 중 도메인 네임(Domain Name)에 대한 설명으로 잘못된 것은?
34. 무선통신 수신기의 S/N비를 향상시키기 위한 방법으로 옳지 않은 것은?
35. 다음 중 이동통신 시스템에서 가입자의 관리를 책임지는 데이터베이스는?
36. 다음 중 일반적인 정보통신시스템이 가져야 할 특성이 아닌 것은?
37. IPv4 주소체계는 Class A, B, C, D, E로 구분하여 사용하고 있으며 Class C는 가장 소규모의 호스트를 수용할 수 있다. Class C가 수용할 수 있는 호스트 개수로 가장 적합 한 것은?
38. 정보통신보안의 요건 중 다음 내용에 해당하는 것은?
39. 네트워크 관리 구성 모델에서 관리를 실행하는 객체와 관리를 받는 객체를 올바르게 짝지은 것은?
40. 우리나라가 독자 개발한 대칭키 암호화 기술 중 국제 표준으로 채택된 기술은 무엇인가?
3과목: 정보통신 기기
41. 처리된 자료를 문자나 도형으로 변환하여 마이크로필름에 기록하고 정보를 검색하는 장치는?
42. 다음에서 설명하는 내용은 정보단말기의 어떤 기술을 설명한 것인가?
43. 최단 펄스시간 길이가 1,000×10-6 [sec]일 때, 이 펄스의 변조속도는?
44. 컴퓨터가 어떤 터미널에 전송할 데이터가 있는 경우 터미널이 수신 준비가 되어 있는지를 묻고, 준비가 된 경우에 터미널로 데이터를 전송하는 것을 무엇이라 하는가?
45. 다음은 정보통신 네트워크의 장치에 관한 설명이다. 그 중 라우터에 해당 되는 것은?
46. xDSL에서 사용되는 변조방식인 DMT의 장점이 아닌 것은?
47. 다음 중 ITU X 계열 권고내용으로 틀린 것은?
48. 다음 중 WAN을 구성하기 위한 패킷교환의 설명으로 옳지 않은 것은?
49. 다음 중 전화기의 기본 구성이 아닌 것은?
50. 무선 이어폰은 전화기를 호주머니나 가방에 넣어 둔 채로 전화를 걸거나 받을 수 있고, 음악도 들을 수 있다. 이와 같이 근거리에서 2.4[GHz] 주파수 대역을 이용하여 휴대기기 간 연결을 도와주는 기술은 무엇인가?
51. 팩시밀리의 원통직경이 50[mm]이고, 주사선 밀도가 5[선/mm]일 때 협동계수는 얼마인가?
52. 다음 중 멀티미디어를 기반으로 하는 응용으로 대화형(Dialogue) 응용에 관한 설명으로 옳지 않은 것은?
53. 다음 중 CATV망 구성으로 적합하지 않은 것은?
54. FM에 있어서 변조신호의 높은 주파수대역을 강하게 변조하여 S/N비의 저하를 방지하는 회로는?
55. 다음 중 CDMA(IS-95A기준) 이동통신망에서 BTS로부터 받은 신호를 MSC로 전달해 주는 장비는 어느 것인가?
56. 이동통신시스템에서 단말기가 이동교환기 내에 있는 기지국에서 통화의 단절 없이 동일한 주파수를 사용하는 다른 기지국으로 옮겨 통화하는 경우에 해당되는 Handoff는?
57. 다음 중 양안시차, 폭주(Vergence)를 이용하는 방식의 TV는?
58. 비디오텍스에서 직선, 원호, 및 다각형 등의 기하학적 형상을 가진 도형 요소를 사용하여 부호화 하는 방식은?
59. 휴대전화에 인터넷 통신과 정보검색 등 컴퓨터 지원 기능을 추가한 지능형 단말기로 사용자가 원하는 애플리케이션을 설치할 수 있는 멀티미디어 기기는 무엇인가?
60. Full HD(1,920 × 1,080화소) TV방송보다 4배 이상 화질이 선명한 '4K급 초고화질'TV방송 및 실물에 가까운 생생한 화질을 제공하는 멀티미디어 기기는 무엇인가?
4과목: 정보전송 공학
61. 다음 중 엘리에싱(Aliasing)현상이 발생하는 원인으로 알맞은 것은?
62. 신호의 전압이 V(t) = 4 + 5cos20πt + 3sin20πt이고, 저항이 1[Ω]일 때 평균전력은 몇 [W]인가?
63. TDM을 사용하여 5개의 채널을 다중화 한다. 각 채널이 100[byte/s]의 속도로 전송하고 각 채널마다 2[byte]씩 다중화 하는 경우 초당 전송해야 하는 프레임수와 비트 전송률[bps]은 각각 얼마인가?
64. 다음 중 CDMA 방식의 특징으로 거리가 먼 것은?
65. 전송선로의 2차 정수 α와 β는 고주파에서 어떤 특성을 나타내는가?
66. 최대 전송률을 예상할 수 있는 나이퀴스트(Nyquist) 공식으로 맞는 것은? (단, C는 채널용량, B는 전송채널의 대역폭, M은 진수, S/N은 신호 대 잡음비)
67. 다음 중 광통신에 사용되는 레이저의 특징으로 틀린 것은?
68. 다음 중 DS CDMA에 대한 설명으로 틀린 것은?
69. 100[mV]는 몇 [dBmV]인가? (단, 1[mV]는 0[dBmV]이다.)
70. 다음 중 플래그(Flag) 동기방식의 설명으로 맞는 것은?
71. 다음 중 HDLC 프레임 구조에서 FCS의 비트수는?
72. 플래그 동기방식에서 비트스터핑(Bit Stuffing)을 행하는 목적은?
73. 기저대역(Baseband) 전송에서 대역폭이 100[kHz]인 저대역 통과채널이 있다. 이 채널의 최대 비트율은 얼마인가?
74. 다음 중 브로드캐스트 주소(Broadcast Address)에 대한 설명으로 알맞은 것은?
75. 다음 중 IP 주소의 Class에 대한 설명으로 잘못된 것은?
76. 다음 중 IP의 특성이 아닌 것은?
77. 다중 VLAN을 ATM과 연결할 때 사용하는 트렁킹 방법은?
78. 다음 중 패리티 검사(Parity Check)를 하는 이유는 무엇인가?
79. 전송하려는 부호어들의 최소 해밍거리가 6일 때 수신 시 정정할 수 있는 최대 오류의 수는?
80. 전송제어 프로토콜 중 BASIC 프로토콜의 BCC 체크범위가 아닌 것은?
5과목: 전자계산기일반 및 정보통신설비기준
81. 다음 중 CPU의 개입 없이 메모리와 주변장치 간에 데이터를 전달할 수 있는 것은?
82. 다음 중 플립플롭(Flip-Flop) 회로를 사용하여 만들어진 메모리는?
83. 10진수 -593을 10의 보수와 2의 보수로 옳게 표현한 것은? (단, 10의 보수는 5자리수, 양부호는 0, 음부호는 9로 표현하고, 2의 보수는 12비트, 양부호는 0, 음부호는 1로 표현한다.)(오류 신고가 접수된 문제입니다. 반드시 정답과 해설을 확인하시기 바랍니다.)
84. 다음 중 제일 먼저 삽입된 데이터가 제일 먼저 출력되는 파일구조는?
85. 메모리관리에서 빈 공간을 관리하는 Free 리스트를 끝까지 탐색하여 요구되는 크기보다 더 크되, 그 차이가 제일 작은 노드를 찾아 할당 해주는 방법은?
86. 다음 중 분산 처리 시스템에 대한 설명으로 틀린 것은?
87. 다음 중 기계어로 번역된 프로그램은?
88. 다음 중 오퍼레이팅 시스템에서 제어 프로그램에 속하는 것은?
89. 다음 중 레지스터에 대한 설명으로 틀린 것은?
90. 다음 설명으로 옳은 주소 지정방식은?
91. 방송통신서비스를 제공받기 위하여 이용자가 관리·사용하는 구내통신선로설비, 이동통신구내선로설비, 방송공동수신설비, 단말장치 및 전송설비 등을 무엇이라고 하는가?
92. 일정한 형태의 방송통신콘텐츠를 전송하기 위하여 사용하는 동선·광섬유 등의 전송매체로 제작된 선조·케이블 등과 이를 수용 또는 접속하기 위하여 제작된 전주·관로·통신터널·배관·맨홀·핸드홀·배선반 등과 그 부대설비를 무엇이라 하는가?
93. 방송통신설비의 설치 및 보전은 무엇에 따라 하여야 하는가?
94. 방송통신설비가 이에 접속되는 다른 방송통신설비의 위해 등을 방지하기 위한 대책으로 적합하지 않은 것은?
95. 과학기술정보통신부장관이 정보통신서비스 제공자에게 정보통신서비스 제공에 사용되는 정보통신망의 안전성 및 정보의 신뢰성을 확보하기 위한 보호조치의 구체적인 내용을 정하여 고시하는 것을 무엇이라 하는가?
96. 다음 중 전기통신설비를 이용하여 타인의 통신을 매개하거나 전기통신설비를 타인의 통신용으로 제공하는 것을 무엇이라 하는가?
97. 다음 중 별정통신사업의 등록요건이 아닌 것은?
98. 다음 중 보편적 역무를 제공하는 전기통신사업자를 지정할 때 고려하는 사항이 아닌 것은?
99. 정보통신공사업법에서 정하는 용어의 정의로 옳지 않은 것은?
100. 다음 중 감리원이 공사업자가 설계도서 및 관련 규정의 내용에 적합하지 아니하게 공사를 시공하는 경우 취할 수 있는 조치는 무엇인가?