1과목: 디지털 전자회로
1. 다음 중 정류회로에서 다이오드를 병렬로 여러 개로 접속시킬 경우에 나타나는 특성으로 옳은 것은?
2. 다음 평활회로에서 직류출력전압은 약 얼마인가?
3. 제너 다이오드의 양단 전압이 12[V], 제너다이오드에 흐르는 전류가 10[mA]일 때 제너다이오스 측의 소비전력은?
4. 다음 중 트랜지스터의 증폭특성에 대한 설명으로 틀린 것은?
5. 다음 부궤환 방식 중 입력 임피던스는 감소하고 출력 임피던스가 증가하는 방식은?
6. 다음 중 OP-AMP 성능을 판단하는 파라미터로 관련이 없는 것은?
7. 다음 그림에서 입력 전압 Vi는? (단, R1=2R2)

8. 그림과 같은 회로에 대한 설명 중 옳은 것은?
9. 발진회로의 출력이 직접 부하와 결합되면 부하의 변동으로 인하여 발진주파수가 변동된다. 이에 대한 대책이 아닌 것은?
10. 다음 중 수정발진기에서 발진수파수가 안정된 이유가 아닌 것은?
11. FM 변조에서 최대 주파수 편이가 80[kHz]일 때 주파수 변조파의 대역폭은 약 얼마인가?
12. 다음 중 PM 피변조파의 대한 설명으로 옳은 것은?
13. 주파수 변조(FM)에서 변조지수를 나타낸 것 중에 대역폭이 가장 넓은 것은?
14. FM수신기에 사용되는 주파수변별기의 역할은?
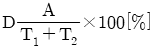
15. 다음 그림은 이상적인 펄스를 나타낸 것이다. 펄스의 듀티 싸이클(Duty Cycle) D의 식으로 옳은 것은?




16. 다음 그림과 같은 클램핑 회로의 출력 파형은?




17. 다음 논리식을 간단히 하면?

18. 다음 진리표를 부울 대수식으로 표현하면?



19. 카운터(Ripple Counter)에 대한 설명으로 틀린 것은?
20. 그림의 코드 변환회호의 명칭은?
2과목: 정보통신 시스템
21. 다음은 정보통신 용어를 해설한 것이다. 괄호 안에 들어갈 알맞은 것은?
22. 지능형 교통체계기술(ITS) 중에서 차량 간 통신 기술(Vehicle to Vehicle Communication), 차량과 인프라 간 통신 기술(Vehicle to Infrastructure Communication)에 활용되는 기술은?
23. 다음 중 데이터 전송 방식에서 직렬 전송 방식에 대한 설명이 아닌 것은?
24. 인터넷에서는 네트워크와 단말기들을 유일하게 식별하기 위해 고유한 주소체계인 인터넷주소 IP를 사용한다. 다음 중 인터넷 주소 IP(IPv4)에 대한 설명으로 옳지 않은 것은?
25. OSI 참조모델에서 데이터 패킷이 하위 계층에서 상위 계층으로 이동함에 따라 헤더는 어떻게 처리되는가?
26. 1분 동안 전송된 총 비트수가 100[bit]이고 이에 부가로 전송된 전송 비트가 20[bit]이다. 이 때 이 회선의 코드(부호)효율은 약 얼마인가?
27. 다음 중 OSI 7계층과 TCP/IP 프로토콜의 관계에 대한 설명으로 옳지 않은 것은?
28. 종합정보통신망(ISDN)에서 사용자-망간 인터페이스의 기본 채널 구조인 2B+D의 전송용량은?
29. 동기식 다중화에 대한 설명으로 옳지 않은 것은?
30. LAN(Local Area Network)의 설명 중 잘못된 것은?
31. 2.4[Gbyte]의 영화를 다운로드 하려고 한다. 전송회선은 초당 100[Mbps]의 속도를 지원하는데 회전 에러율이 10%라고 가정한다면 얼마의 시간이 소요되는가? (단, 에러의 대한 재전송 및 FEC 코드는 없다고 가정한다.)
32. 다음 중 센서 네트워크를 이용하여 유비쿼터스 환경을 구현하는 것을 목적으로 하는 것은?
33. 다음 중 IMS(IP Multimedia Subsystem)에 대한 설명으로 옳지 않은 것은?
34. RFID(Radio Frequency Identification)시스템의 구성요소로 적당하지 않는 것은?
35. 정보통신시스템의 하드웨어 설계 시 고려사항이 아닌 것은?
36. 운용 중 현장 Access설비로부터 1분당 평균 20개의 패킷이 전송되어 오고 있다. 이 스테이션에서의 처리시간이 1패킷당 평균 2초라 할 때 시스템의 이용률은?
37. OSI 7계층 중 네트워크에서 동작하는 장비는?
38. 보안 위협의 유형 중 다음 내용에 해당하는 것은?
39. 네트워크 관리 구성 모델에서 관리를 실행하는 객체와 관리를 받는 객체를 올바르게 짝지은 것은?
40. 정보통신 시스템의 보안(Security) 대책에 관한 설명으로 틀린 것은?
3과목: 정보통신 기기
41. 최단 펄스시간 시간 길이가 1000×10-6[sec]일 때, 이 펄스의 변조 속도는?
42. 다음 중 정보 단말기의 일반적인 분류에서 인식장치가 아닌 것은?
43. 다음 중 출력 장치의 기능에 대한 설명인 것은?
44. 다음 중 라우터에 해당되는 것은?
45. 디지털 비트 구간의 1/2 지점에서 항상 신호와 위상이 변화하는 신호의 이름은?
46. 다음 중 DSU(Digital Service Unit)의 기능으로 옳지 않은 것은?
47. 다음 중 다중화 방식의 특징에 관한 설명으로 옳지 않은 것은?
48. 다음 중 지방과 지방, 국가와 국가, 국가와 대륙, 전 세계에 걸쳐 형성되는 통신망으로 지리적으로 멀리 떨어져 있는 넓은 지역을 연결하는 통신망은 무엇인가?
49. 전자교환기에서 사용하고 있는 푸쉬 버튼방식의 전화기는 각각 두 개의 주파수로 구성된 가청 발신음을 낸다. 다음 중 전화기 버튼의 가청 주파수 연결로 틀린 것은?
50. 영상회의 시스템의 비디오 프레임 포맷을 전송하고자 한다. 가장 높은 데이터 전송률을 갖는 포맷은?
51. CATV 시스템의 기본 구성에서 안테나로부터 수신된 방송신호의 출력 레벨을 조정하여 전송망으로 보내는 것은?
52. 다음 중 CATV 시스템에 대한 설명으로 옳지 않은 것은?
53. IPTV와 디지털 방송에 대한 설명으로 틀린 것은?
54. 다음 중 FM 수신기의 특징으로 틀린 것은?
55. 다음 중 위성안테나의 종류별 기능 및 역할을 설명한 것으로 적합하지 않은 것은?
56. 다음 중 정지궤도 위성에 대한 설명으로 옳지 않은 것은?
57. 다음 중 멀티미디어 압축 기술로 틀린 것은?
58. 다음은 무엇에 관한 설명인가?
59. 우리나라 TV 표준에 관한 설명 중 틀린 것은?
60. 기존 통신 및 방송사업자와 더불어 제3사업자들이 인터넷을 통해 드라마나 영화 등의 다양한 미디어 콘텐츠를 제공하는 서비스를 무엇이라 하는가?
4과목: 정보전송 공학
61. PCM-32/TDM에서 1프레임의 비트 수는?
62. 다음 중 2원 전송 부호인 NRZ의 설명으로 틀린 것은?
63. 어떤 신호가 4개의 데이터 준위를 가지며 펄스시간 1ms일 때 비트 전송률은 얼마인가?
64. 18[kHz]까지 전송할 수 있는 PCM 시스템에서 요구되는 Nyquist 표본화 주파수는?
65. 다음 중 정보신호에 따라 펄스 반송파의 폭을 변화시키는 펄스변조 방식은?
66. 다음 중 동축케이블에 대한 설명으로 틀린 것은?
67. 다음 중 기저대역 동축(Baseband Coaxial) 케이블에 대한 특징으로 알맞은 것은?
68. 다음 중 상호변조왜곡 방지 대책으로 가장 적합한 것은?
69. 다음 중 이동통신망에서 핸드오버에 실패하여 통화중인 호가 중간에서 절단(Dropped Call)되는 경우로 알맞지 않은 것은?
70. 다음 중 이동통신에서 자신이 가입한 서비스 지역을 벗어나서도 자신이 가입했던 서비스 지역에서와 똑같이 서비스를 받을 수 있는 것을 무엇이라고 하는가?
71. 다음 중 공통선 신호방식으로 전용 데이터 전송로를 필요로 하는 것은?
72. 입력 데이터 비트율(Bit Rate)이 4,800[bps]일 때, 맨체스터 부호인 경우 심볼률 및 대역폭은 각각 얼마인가?
73. 8진 PSK에서 반송파간의 위상차는?
74. 다음 중 고속 LAN을 대학캠퍼스나 공장같이 한 곳에 모여 있는 LAN들을 연결하는데 주로 사용되는 것은?
75. 다음 중 가상회선 방식의 패킷교환방식에 대한 설명으로 틀린 것은?(오류 신고가 접수된 문제입니다. 반드시 정답과 해설을 확인하시기 바랍니다.)
76. 다음 중 IP(IPv4)의 서브넷에 대한 설명으로 틀린 것은?
77. 다음 중 UDP의 특징으로 틀린 것은?
78. 다음 중 OSI 7계층에서 전송제어 기능을 수행하는 계층(Layer)은 어느 것인가?
79. 다음 중 비트 방식의 데이터링크 프로토콜이 아닌 것은?
80. 다음 중 FEC(Forward Error Correction) 기법에서 사용하는 오류정정 부호가 아닌 것은?
5과목: 전자계산기일반 및 정보통신설비기준
81. 16진수 값 ‘1234567’을 기억장치에 저장하려고 한다. Little Endian 방식으로 저장된 것은 어느 것인가?




82. 액정 디스플레이(LCD)에 대한 설명 중 틀린 것은?
83. 다음 중 입력장치와 출력장치가 순서대로 짝지어진 것은?
84. 10진수 46을 2진화 10진수(BCD)로 표현하면?
85. 두 개의 레지스터에 집진수를 1과-1에 해당하는 이진수가 저장되어 있다. 이 두 레지스터에 덧셈 연산을 수행하는 결과로 옳은 것은?
86. 정보표현의 단위가 작은 것부터 큰 순으로 올바르게 나열된 것은?
87. 다음 중 가중치 코드에 해당하지 않는 것은?
88. OS(Operating Ststem)기능 중 자원관리에 속하지 않는 것은?
89. 4개의 중앙처리장치(CPU)를 두고 하나의 주기억장치(Main Memory)로 구성된 컴퓨터시스템이 있다. 이 컴퓨터에서 하나의 작업을 4개의 중앙처리장치에서 동시에 수행하기 위하여 가장 적합한 운영체제 시스템은?
90. 저작자(개발자)에 의해 무상으로 배포되는 컴퓨터 프로그램으로 개인이나 열광자(Enthusiast)가. 자기의 작품에 대해 동호인들의 평가를 받기 위해서 또는 개인적 만족감을 얻기 위해서 사용자 집단(User Group), PC 통신망의 전자 게시판이나 공개 자료실, 인터넷의 유즈넷(USENET) 등을 통해 배포하는 소프트웨어는?
91. 다음 과학기술정보통신부장관이 소속 공무원으로 하여금 방송통신설비를 설치ㆍ운영하는 자의 설비를 조사하거나 시험하게 할 수 없는 경우가 아닌 것은?
92. 해킹, 컴퓨터 바이러스, 논리폭탄, 메일폭탄, 서비스 거부 또는 고출력 전자기파 등의 방법으로 정보통신망 또는 이와 관련된 정보시스템을 공격해 발생한 사태를 의미하는 용어는?
93. 다음 중 통신공동구의 유지ㆍ관리에 필요한 부대설비가 아닌 것은?
94. 다음 중 정보통신공사의 ‘설계도서’에 포함되지 않는 것은?
95. 다음 중 정보통신공사법의 변경신고사항이 아닌 것은?
96. 다음 중 정보통신공사업에 종사하는 정보통신기술자에 관한 설명으로 옳지 않은 것은?
97. 다음 중 전기통신사업자가 제공하는 보편적 역무의 구체적인 내용을 정할 때 고려할 사항이 아닌 것은?
98. 다음 통신설비의 비상사태 대응에 대한 설명 중 틀린 것은?
99. 다음 중 정보통신공사업법에 따른 총 공사금액과 감리원 배치기준의 기준이 잘못된 것은?
100. 다음은 정보통신공사의 설계도서에 대한 보관기준을 설명한 것이다. 잘못된 것은?
다이오드는 전류가 한 방향으로만 흐를 수 있도록 제한하는 역할을 합니다. 따라서 다이오드를 병렬로 여러 개로 접속시키면 전류가 더 많이 흐를 수 있게 됩니다. 이는 정류회로의 전류용량이 커지는 것을 의미합니다.