1과목: 임의구분
1. 변압기 절연유의 구비조건이 아닌 것은?
2. 발광소자와 수광소자를 하나의 용기에 넣어 외부의 빛을 차단한 구조로 출력 측의 전기적인 조건이 입력측에 전혀 영향을 끼치지 않는 소자는?
3. 가요전선관공사에 사용되는 부품 중 전선관 상호간에 접속되는 연결구로 사용되는 부품의 명칭은?
4. 그림과 같은 회로에서 a, b 간에 100V의 직류 전압을 가했을 때 10[Ω]의 저항에 4A의 전류가 흘렀다. 이때 저항 r1에 흐르는 전류와 저항 r2에 흐르는 전류의 비가 1:4 라고 하면 r1 및 r2의 저항값은 각각 얼마인가?
5. 반도체 기억소자로서 저장된 데이터는 비소멸성으로 제조 당시에 저장되어 있는 내용을 인출할 수 있으나 새로운 데이터를 저장할 수 없는 기억소자는?
6. 어떤 가정에서 220V, 100W의 전구 2개를 매일 8시간, 220V 1kW의 전열기 1대를 매일 2시간씩 사용한다고 한다. 이 집의 한 달 동안의 소비전력량은 몇 kWh인가? (단, 한달은 30일로 한다.)
7. 주상변압기 철심용 규소강판의 두께는 보통 몇 mm정도를 사용하는가?
8. 직류기의 전기자 철심을 규소 강판으로 성층하는 가장 큰 이유는?
9. 다음 그림의 스위칭 회로에서 논리식은?
10. 다음 그림은 어떤 논리 회로인가?
11. 단선의 브리타니아 접속은 몇 mm 이상의 전선을 접속할 때 사용되는 방법인가?(오류 신고가 접수된 문제입니다. 반드시 정답과 해설을 확인하시기 바랍니다.)
12. 그림과 같은 회로에서 AB 간 전압의 실효값을 200V라고 할 때, RL 양단에서 전압의 평균값은 약 몇V인가? (단, 다이오드는 이상적인 다이오드이다.)
13. 정격출력 5kW, 회전수 1800rpm인 3상 유도전동기의 토크는 몇 Nㆍm 인가?
14. 리드용 2종 케이블의 약호로 옳은 것은?
15. 회전 전기자형 동기 발전기에서 3상 교류 기전력은 어느 부분을 통하여 출력해 내는가?
16. TRIAC을 사용하여 소용량 저항부하의 AC 전력제어를 하려고 한다. 게이트용 소자로 가장 간단히 사용할 수 있는 것은?
17. 직류 직권전동기에서 토크 T와 회전수 N과의 관계는 어떻게 되는가?


18. 파워 트랜지스터의 파워 스위칭 전원의 용도로 사용되지 않는 것은?
19. 스택(stack)과 관련 있는 어셈블리 명령어는?
20. %저항강하가 1.3%, %리액턴스 강하가 2%인 변압기가 있다. 전부하 역률 80%(뒤짐)에서의 전압변동률은 몇 %인가?
2과목: 임의구분
21. 8086마이크로 프로세서의 세그먼트 레지스터의 종류가 아닌 것은?
22. 평균 자로의 길이가 80cm인 환상 철심에 500회의 코일을 감고 여기에 4A의 전류를 흘렸을 때 자기장의 세기는 몇 AT/m인가?
23. SCR의 전압공급방법(Turn-On)중 가장 타당한 것은?
24. 반가산기 회로에서 입력을 A, B라 하고 합을 S로 표시할 때 S는 어떻게 표현되는가?


"로 표현된다.25. 동기 전동기에서 제동 권선의 사용 목적으로 가장 옳은 것은 어느 것인가?
26. 변압기의 전압변동률을 작게 하려면 어떻게 해야하는가?
27. 실리콘정류기의 동작시 최고 허용온도를 제한하는 가장 주된 이유는?
28. 부하 전류에 따라 속도변동이 가장 심한 전동기는?
29. LIFO(Last-In-First-Out)와 관련된 것은?
30. 다음과 같은 회로에서 저항 R이 0[Ω]인 것을 사용하면 무슨 문제가 발생하는가?
31. 강자성체의 히스테리시스 루프의 면적은?
32. GTO를 바르게 설명한 것은?
33. 정현파 교류의 실효값을 계산하는 식은? (단, T는 주기이다.)





"입니다. 이유는 이 식이 정현파 교류의 실효값을 계산하는 식이기 때문입니다.34. 맥동전압 주파수가 전원 주파수의 6배가 되는 정류 방식은?
35. 물체가 그 온도에 상응하여 방출하는 복사를 온도 복사라 한다. 이는 어떤 스펙트럼을 이루는가?
36. 8비트 마이크로 프로세서의 레지스터에서 레지스터 쌍으로 결합하여 16비트로는 사용할 수 없는 레지스터는?
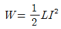
37. 자기 인덕턴스 L[H]의 코일에 I[A]의 전류가 흐를때 코일에 저장되는 에너지는 몇 J인가?



38. 자속밀도 1Wb/m2인 평등 자계의 방향과 수직으로 놓인 50cm의 도선을 자계와 30 ° 방향으로 40m/s의 속도로 움직일 때 도선에 유기되는 기전력은 몇 V인가?
39. 자극수 6, 전기자 총 도체수 400, 단중파권을 한직류 발전기가 있다. 각 자극의 자속이 0.01Wb이고, 회전 속도가 600rpm 이면 무 부하로 운전하고 있을 때의 기전력은 몇 V인가?
40. 교류 브리지용 전원의 주파수, 파형에 대한 구비조건이 아닌 것은?
3과목: 임의구분
41. 기숙사, 여관, 병원의 표준 부하는 몇 VA/m2로 상정 하는가?
42. 단상 변압기를 병렬 운전하는 경우 부하전류의 분담은 어떻게 되는가?
43. 3상 불평형 전압에서 역상전압 40V, 정상전압 200V, 영상전압이 20V 라고 할 때 전압의 불평형률은 얼마인가?
44. 전기재료의 할증에서 옥외전선은 몇 %의 할증률을 적용하는가?
45. 사이클로 컨버터(cycloconverter)란?
46. 몰드의 길이가 8.5m 인 금속 몰드 공사시 금속 몰드는 제 몇 종 접지공사를 하여야 하는가?
47. 다음 중 전력용 케이블의 손실과 거리가 가장 먼 것은?
48. 폭연성 분진이 있는 곳의 금속관 공사이다. 박스 기타의 부속품 및 풀박스 등이 쉽게 마모, 부식, 기타 손상을 일으킬 우려가 없도록 하기 위해 쓰이는 재료는?
49. 평형 보호층 공사에 의한 저압 옥내 배선은 전로의 대지 전압 몇 V이하에서 시설해야 하는가?
50. 지중전선로에 사용하는 지중함을 시설할 때 고려할 사항으로 잘못된 것은?
51. 바리스터(Varister)의 주된 용도는?
52. 그림과 같은 논리회로의 논리 함수는?




" 입니다.53. 단면적이 50cm2인 환상철심에 500AT/m의 자장을 가할 때 전 자속은 몇 Wb인가? (단, 진공 중의 투자율은 4π×10-7[H/m]이고, 철심의 비투자율은 800이다.)
54. 다음 중 모선의 종류가 아닌 것은?
55. 작업자가 장소를 이동하면서 작업을 수행하는 경우에 그 과정을 가공, 검사, 운반, 저장 등의 기호를 사용하여 분석하는 것을 무엇이라 하는가?
56. 그림과 같은 계획공정도(Network)에서 주공정으로 옳은 것은?(단, 화살표 밑의 숫자는 활동시간[단위:주]을 나타낸다.)
57. u 관리도의 관리상한선과 관리하한선을 구하는 식으로 옳은 것은?




"이 정답인 이유는 해당 그림이 u 관리도의 관리상한선과 관리하한선을 나타내기 때문입니다.58. 모집단을 몇 개의 층으로 나누고 각 층으로부터 각 각 랜덤하게 시료를 뽑는 샘플링 방법은?
59. 다음 중 관리의 사이클을 가장 올바르게 표시한 것은? (단, A:조처, C:검토, D:실행, P:계획)
60. 다음 중 절차계획에서 다루어지는 주요한 내용으로 가장 관계가 먼 것은?