1과목: 소방원론
1. 270℃에서 제1종 분말 소화약제의 열분해 반응식은?
2. 질산에 대한 설명으로 틀린 것은?
3. 위험물안전관리법령상 제1류 위험물의 성질을 옳게 나타낸 것은?
4. 목탄의 주된 연소형태에 해당하는 것은?
5. 내화구조의 기준에서 바닥의 경우 철근콘크리트조로서 두께가 몇cm 이상인 것이 내화구조에 해당하는가?
6. 이황화탄소 연소시 발생하는 유독성의 가스는?
7. 소화(消火)를 하기 위한 방법으로 틀린 것은?
8. 적린의 착화온도는 약 몇 ℃ 인가?
9. 화재종류 중 A급 화재에 속하지 않는 것은?
10. 연소의 3요소에 해당하지 않는 것은?
11. 다음 물질의 연소 중 자기연소에 해당하는 것은?
12. 프로판가스의 특성에 대한 설명으로 옳은 것은?
13. 질소가 가연물이 될 수 없는 이유를 가장 옳게 설명한 것은?
14. 화재 시 발생할 수 있는 유해한 가스로 혈액 중의 산소운반 물질인 헤모글로빈과 결합하여 헤모글로빈에 의한 산소 운반을 방해하는 작용을 하는 것은?
15. 유류화재 시 주수소화하게 되면 소화약제인 물이 갑작스럽게 증기화되면서 화재면을 확대시키는 현상은?
16. 불연성 기체나 고체 등으로 연소물을 감싸서 산소 공급을 차단하는 소화의 원리는?
17. 백 드래프트(back draft)에 관한 설명으로 가장 거리가 먼 것은?
18. 일반적인 열의 전달형태가 아닌 것은?
19. 다음 중 물의 소화효과로 가장 거리가 먼 것은?
20. 등유 또는 경유 화재에 해당하는 것은?
2과목: 소방전기회로
21. 다음 진리표의 논리회로는?
22. 굴곡이 많은 장소나 승강기 배선에 적당한 옥내배선 방법은?
23. 그림과 같은 회로의 역률은?



24. 변압기에서 1차 및 2차 유기기전력의 표기로 옳은 것은? (단, n1: 1차 권수, n2:2차 권수,
25. 교류전류 I(A)를 어떤 저항(R)에 임의의 시간동안 흘렀을 때의 발열량이 같은 저항(R)에 직류전류 I(A)를 같은 시간동안 흘렸을 때의 발열량과 같을 때 그 교류전류의 값은?
26. 다음에서 리미트스위치 a 접점은?




27. 그림과 같은 회로에서 합성저항 Rab (Ω)는? (단, 저항의 단위는 Ω 이다.)
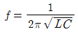
28. LC 직렬공진회로에서 공진주파수는?




29. 브리지 정류회로에서 다이오드 1개가 개방되었을 때 출력 전압은?
30. 다음 중 문자기호와 명칭이 서로 다른 것은?
31. 배선공사를 하기 위하여 설치하는 풀박스에 대한 설명으로 틀린 것은?
32. 자동제어계에서 조절부와 조작부로 이루어진 것을 무엇 이라 하는가?
33. △결선한 변압기의 1대가 고장으로 V결선 할 때 공급할 수 있는 전력과 고장 전의 전력에 대한 비(%)는?
34. 인버터(inverter)에 대한 설명으로 옳은 것은?
35. 연료의 유량과 공기의 유량 사이의 비율을 연소에 적합한 것으로 유지하고자 하는 제어방식은?
36. 4Ω의 저항을 가진 100㎃의 전류계에 2Ω의 분류기를 접속한 경우 최대 몇 ㎃ 까지 측정이 가능한가?
37. 전기소자 및 전류 등에 관한 설명으로 틀린 것은?
38. 제어신호로 펄스나 디지털 코드를 사용하는 제어는?
39. 전기회로의 전압 E, 전류 I일 때
에서 무료전력 Pr<0 이다. 이회로는 어떤 부하인가?
40. 공기 중의 한 점에 양의 점전하 4nC 이 놓여 있다. 이 점으로부터 3m 떨어진 곳의 전기장의 세기는 몇 V/m 인가?
3과목: 소방관계법규
41. 소방시설설치유지 및 안전관리에 관한 법령에서 정하고 있는 소화용으로 사용하는 제품 또는 기기에 속하는 것은?
42. 스프링클러설비가 설치된 소방시설 등의 자체점검에서 종합정밀점검을 받아야 하는 아파트 대상 규모의 기준 으로 옳은 것은?(관련 규정 개정전 문제로 여기서는 기존 정답인 3번을 누르면 정답 처리됩니다. 자세한 내용은 해설을 참고하세요.)
43. 인화성 액체 위험물 옥외탱크저장소의 탱크 주위에는 방유제를 설치하여야 한다. 방유제의 설치높이 기준으로 옳은 것은?
44. 1급 소방안전관리대상물의 관계인이 소방안전관리자로 선임할 수 없는 사람은?
45. 소방대상물이 있는 장소 및 인근지역으로서 화재의 예방, 경계, 진압, 구조, 구급 등의 소방 활동상 필요한 지역을 무엇이라 하는가?
46. 자동화재탐지설비의 설치를 면제할 수 있는 기준으로 옳은 것은?
47. 방염처리업 등록신청서에 첨부하지 않아도 되는 것은?
48. 위험물제조소 등의 정기점검 대상의 기준이 아닌 것은?
49. 소방방재청장, 소방본부장 또는 소방서장은 관할구역에 있는 소방대상물, 관계지역 또는 관계인에 대하여 소방시설 등이 소방관계 법령에 적합하게 설치, 유지, 관리되고 있는지 등을 확인하기 위하여 관계 공무원으로 하여금 소방안전관리에 관한 소방특별조사를 하게 할 수 있다. 소방특별조사의 항목이 아닌 것은?
50. 소방방재청장이 실시하는 소방안전교육사 시험에 응시할 수 없는 사람은?(관련 규정 개정전 문제로 여기서는 기존 정답인 2번을 누르면 정답 처리됩니다. 자세한 내용은 해설을 참고하세요.)
51. 소방기본법의 목적과 거리가 먼 것은?
52. 소방시설의 종류 중 피난설비에 속하지 않는 것은?
53. 소방시설공사업자가 착공신고서에 첨부하여야 할 서류가 아닌 것은?
54. 위험물 안전관리자에 대한 설명으로 틀린 것은?
55. 제4류 위험물을 저장. 취급하는 제조소에 “화기엄금”이란 주의사항을 표시하는 게시판을 설치할 경우 게시판의 색상은?
56. 보일러 등의 위치.구조 및 관리와 화재예방을 위하여 불의 사용에 있어서 지켜야 하는 사항 중 일반음식점에서 조리를 위하여 불을 사용하는 설비를 설치하는 경우 주방설비에 부속된 배기닥트는 몇 mm 이상의 아연도금강판의 내식성 불연재료로 설치하여야 하는가?
57. 소방시설설계업의 보조기술인력으로 등록할 수 없는 사람은?
58. 건축허가 등의 동의요구 시 동의요구서에 첨부하여야 할 서류가 아닌 것은?
59. 다음 중 유별을 달리하는 위험물을 혼재하여 저장할 수 있는 것으로 짝지어진 것은?
60. 소방기계⦁기구에 대하여 우수품질인증을 할 수 있는 사람은?(관련규정 개정전 문제로 여기서는 기존 정답인 4번을 누르면 정답 처리 됩니다. 자세한 내용은 해설을 참고하세요.)
4과목: 소방전기시설의 구조 및 원리
61. 비상조명등은 비상점등을 위하여 비상전원으로 전환되는 경우 비상점등 회로로 정격전류의 1.2배 이상의 전류가 흐르거나 램프가 없는 경우에는 몇 초 이내에 예비전원으 로부터의 비상전원 공급을 차단하여야 하는가?
62. 내화배선으로 시공하기 위해 450V/750V 저독성 난연 가교 폴리올레핀 절연전선을 합성수지관에 수납하여 내화구조로 된 벽 또는 바닥에 매설하고자 한다. 표면으로부터 얼마 이상의 깊이로 매설하여야 하는가?
63. 비상벨설비 또는 자동식사이렌설비에는 그 설비에 대한 감시상태를 60분간 지속한 후 유효하게 몇 분 이상 경보 할 수 있는 축전지설비를 설치하여야 하는가?
64. 연기감지기의 일반적인 설치기준에 관한 다음 설명 중 옳은 것은?
65. 무선통신보조설비에서 신호의 전송로가 분기되는 장소에 설치하는 것으로 임피던스 매칭과 신호균등분배를 위해 사용하는 장치는?
66. 부착 높이가 4m 미만으로 연기감지기 2종을 설치하는 경우 바닥면적 몇 m2 마다 1개 이상을 설치하여야 하는가?
67. 자동화재탐지설비의 구성요소에 해당하지 않는 것은?
68. 각 층에 설치된 비상방송설비의 확성기는 그 층의 각 부분으로부터 하나의 확성기까지의 수평거리가 몇 m 이하가 되도록 하여야 하는가?
69. 비상방송설비는 기동장치에 따른 화재신고를 수신한 후 필요한 음량으로 화재발생 상황 및 피난에 유효한 방송이 자동으로 개시될 때까지의 소요시간에 대한 기준은?
70. 보행거리 25m 이내 마다 휴대용 비상조명들을 3개 이상 설치하여야 하는 곳은?
71. 비상콘센트설비의 전원회로의 기준으로 틀린 것은?
72. 유도표지의 설치기준으로 틀린 것은?
73. 자동화재탐지설비의 수신기 조자스위치 설치 높이의 기준으로 옳은 것은?
74. 바닥면적 250m2 의 주방에 정온식스포트형감지기 1종을 설치하려고 한다. 최소 몇 개 이상을 설치하여야 하는가? (단, 주방은 내화구조이며 부착높이는 4.2m 이다)
75. 누전경보기의 전원에 관한 설명으로 틀린 것은?
76. 통로유도표지의 설치위치 기준으로 옳은 것은?
77. 자동화재속보설비의 속보기는 자동화재탐지설비로부터 작동신호를 수신하는 경우 20초 이내에 소방관서에 자동적으로 신호를 발하여 통보하되 몇 회 이상 속보할 수 있어야 하는가?
78. 경계전로의 정격전류가 몇 A를 초과하는 전로에 1급 누전경보기를 설치하여야 하는가?
79. 비상콘센트를 보호하기 위한 보호함 설치기준으로 틀린것은?
80. 무선통신보조설비 증폭기의 설치기준으로 틀린 것은?