1과목: 소방원론
1. 다음 물질 중 연소범위가 가장 넓은 것은?
2. 피난시설의 안전구획 중 2차 안전구획으로 옳은 것은?
3. 감광계수에 따른 가시거리 및 상황에 설명으로 틀린 것은?
4. 메탄의 공기 중 연소범위(vol/%)로 옳은 것은?
5. 분말소화설비의 소화약제 중 차고 또는 주차장에 사용할 수 있는 것은?
6. 연료설비의 착화방지 대책 중 틀린 것은?
7. 제3류 위험물의 물리∙화학적 성질에 대한 설명으로 옳은 것은?
8. 물이 다른 액상의 소화약제에 비해 비점이 높은 이유로 옳은 것은?
9. 내화구조의 기준 중 바닥의 경우 철근콘크리트조로서 두께가 몇 cm 이상인 것이 내화구조에 해당하는가?
10. 단백포 소화약제의 안정제로 철염을 첨가하였을 때 나타나는 현상이 아닌 것은?
11. 상태의 변화 없이 물질의 온도를 변화시키기 위해서 가해진 열을 무엇이라 하는가?
12. 20℃의 물 1g을 100℃의 수증기로 변화시키는데 필요한 열량은 몇 cal 인가?
13. 다음 중 증기비중이 가장 큰 물질은?
14. 자신은 불연성 물질이지만 산소공급원 역할을 하는 물질은?
15. 화재의 분류방법 중 전기화재의 표시색은?
16. 물의 주수 형태에 대한 설명으로 틀린 것은?
17. 할론 1301 소화약제와 이산화탄소 소화약제의 각 주된 소화효과가 순서 대로 나열된 것은?
18. 햇볕에 장시간 노출된 기름 걸레가 자연발화한 경우 그 원인으로 옳은 것은?
19. 청정소화약제 중 HCFC BLEND A를 구성하는 성분이 아닌 것은?
20. 화재를 발생시키는 열원 중 물리적인 열원이 아닌 것은?
2과목: 소방전기회로
21. 전기계측기의 지시계기의 구비조건이 아닌 것은?
22. 내압과 용량이 각각 300V 4μF, 400V 5μF, 500V 6μF인 3개의 콘덴서를 직렬 연결하였을 때 전체 내압은 몇 V인가? (단, 3개의 콘덴서의 재질이나 형태는 동일한 것으로 간주한다.)
23. 단상 유도전동기의 기동방식으로 틀린 것은?
24. 직류 전용으로 눈금이 균등하고 감도가 높으며, 정밀용으로 적합한 계기는?
25. 3상 불평형 전압에서 불평형이란 무엇인가?
26. N형 반도체에 첨가한 불순물이 아닌 것은?
27. 서로 결합하고 있는 두 코일의 자기인덕턴스가 5mH, 8mH이다. 가극성일 때의 합성인덕턴스가 L이고, 감극성 일때의 합성인덕턴스 L은 L의 30% 였다. 두 코일간의 결합 계수는 약 얼마인가?
28. 그림과 같은 논리회로의 명칭은?
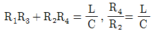
29. 열팽창식 온도계의 종류가 아닌 것은?
30. 그림과 같은 브리지 회로의 평형 조건은? (단, 전원 주파수가 일정하다.)




31. DC 출력전압을 일정하게 유지하기 위해서 주로 사용되는 다이오드는?
32. 자동제어의 추치제어의 종류가 아닌 것은?
33. 전압 200V, 주파수 60Hz, 4극, 10HP인 3상 유도전동기의 동기속도는 몇 rpm 인가? (단, 이때 전동기의 역률은 0.85 라고 한다.)
34. 최대눈금 200mA, 내부저항 0.8Ω인 전류계가 있다. 8mΩ의 분류기를 사용하여 전류계의 측정범위를 넓히면 몇 A까지 측정할 수 있는가?
35. 증폭기기의 종류 중 정지기에 쓸 수 있는 요소가 아닌 것은?
36. 100W의 정구에 대지간의 전압 100V를 가했을 때 선로의 절연 불량으로 0.2A가 누설 되었다. 이때 전구에서 소비되는 전력은 몇 W 인가?
37. 3상 교류 전원과 부하가 모두 △결선된 3상 평형 회로에서 전원 전압이 200V, 부하 임피던스가 6+j8Ω 인 경우 선전류(A)는?
38. 목표값이 시간에 대하여 변화하지 않는 제어는?
39. 압력→변위의 변환 장치는?
40. 다음 그림과 같은 논리회로는?
3과목: 소방관계법규
41. 소방기술자의 배치기준 중 중급기술자 이상의 소방기술자(기계분야 및 전기분야) 소방시설공사 현장의 기준으로 틀린 것은?
42. 위험물안전관리법상 위험물 제조소등의 관계인은 당해 제조소등의 용도를 폐지한 날부터 며칠 이내에 시∙도지사에게 신고하여야 하는가?
43. 소방기본법상 벌칙 기준 중 100만원 이하의 벌금에 해당하는 자가 아닌것은?
44. 소방시설 중 경보설비가 아닌 것은?
45. 지진이 발생할 경우 소방시설이 정상적으로 작동할 수 있도록 대통령령으로 정하는 소방시설의 내진설계 대상이 아닌 것은?
46. 과태료의 부과기준 중 특수가연물의 저장 및 취급 기준을 2회 위반한 경우의 과태료 금액으로 옳은 것은?
47. 위험물안전관리법령상 위험물 및 지정수량에 대한 기준 중 다음 ( ) 안에 알맞은 것은?
48. 연소우려가 있는 건축물의 구조에 대한 기준으로 다음 ( ) 안에 알맞은 것은?
49. 보일러 등의 위치∙구조 및 관리와 화재 예방을 위하여 불의 사용에 있어서 지켜야 하는 사항 중 난로의 연통은 천장으로부터 최소 몇 m이상 떨어지게 설치하여야 하는가?
50. 국민안전처장관 또는 시∙도지사가 처분을 실시하기 위한 청문대상이 아닌 것은?(관련 규정 개정전 문제로 여기서는 기존 정답인 2번을 누르면 정답 처리 됩니다. 자세한 내용은 해설을 참고하세요.)
51. 위험물안전관리법령상 자체소방대를 설치하는 제조소 또는 일반취급소에서 취급하는 제4류 위험물의 최대수량의 합이 지정수량의 24만배 이상 48만배 미만인 사업소의 관계인이 두어야 하는 화학소방자동차와 자체소방대원의 수의 기준으로 옳은 것은? (단, 화재 그 밖의 재난발생시 다른 사업소 등과 상호응원에 관한 협정을 체결하고 있는 사업소는 제외한다.)
52. 분말형태의 소화약제를 사용하는 소화기의 내용연수로 옳은 것은? (단, 소방용품의 성능을 확인받아 그 사용기한을 연장하는 경우는 제외한다.)
53. 소방특별조사 결과 소방대상물의 개수∙이전∙제거 명령으로 인하여 손실을 입은 자가 있는 경우, 손실을 보상하여야 하는 자는?(관련 규정 개정전 문제로 기존 정답은 1번입니다. 여기서는 1번을 누르면 정답 처리 됩니다. 자세한 내용은 해설을 참고하세요.)
54. 특정소방대상물의 건축∙대수선∙용도변경 또는 설치 등을 위한 공사를 시공하는 자가 공사현장에서 인화성 물품을 취급하는 작업 등 대통령령으로 정하는 작업을 하기 전에 설치하고 유지∙관리하는 임시소방시설의 종류가 아닌 것은? (단, 용접∙용단 등 불꽃을 발생시키거나 화기를 취급하는 작업이다.)
55. 대통령령으로 정하는 화재경계지구의 지정대상지역이 아닌 것은?
56. 제조소등의 설치허가 등에 있어서 최저의 기준이 되는 위험물의 지정수량이 100kg인 위험물의 품명이 바르게 연결 된 것은?
57. 소방기본법령상 대통령령으로 정하는 특수 가연물의 품명별 수량기준이 옳은 것은?
58. 화재예방, 소방시설 설치 • 유지 및 관리에 관한 법률상 1년 이하의 징역 또는 1000만원 이하의 벌금에 처하는 경우는?
59. 소방본부 종합상황실의 실장이 서면•모사전송 또는 컴퓨터통신 등으로 국민안전처 종합상황실에 보고하여야 하는 화재의 기준이 아닌 것은?
60. 하자를 보수하여야 하는 소방시설과 소방시설별 하자보수 보증기간이 틀린 것은?
4과목: 소방전기시설의 구조 및 원리
61. 축광유도표지 및 축광위치표지의 표시면의 두께는 최소 몇 mm 이상이어야 하는가? (단, 금속재질인 경우는 제외한다.)
62. 휴대용비상조명등을 설치하지 아니할 수 있는 경우는?
63. 비상방송설비 음향장치의 설치기준 중 확성기 음성입력의 기준으로 옳은 것은?
64. 청각장애인용 시각경보장치의 설치높이 기준으로 옳은 것은? (단, 천장의 높이가 2m를 초과하는 장소이다.)
65. 공기관식 차동식 분포형 감지기의 설치 기준 중 틀린 것은?
66. 비상콘센트설비의 비상전원 설치기준 중 다음 ( ) 안에 알맞은 것은? (단, 둘 이상의 변전소에서 전력을 동시에 공급받을 수 있거나 하나의 변전소로부터 전력의 공급이 중단되는 때에는 자동으로 다른 변전소로부터 전력을 공급받을 수 있도록 상용전원을 설치한 경우는 제외한다.)
67. 피난사다리의 형식승인 및 제품검사의 기술 기준에 따른 피난사다리의 구조 중 틀린 것은?
68. 누전경보기 수신부는 그 정격전압에서 몇 회의 누전작동시험을 실시하는 경우 그 구조 또는 기능에 이상이 생기지 않아야 하는가?
69. 단독경보형감지기의 설치기준 중 다음 ( )안에 알맞은 것은?
70. 공칭작동온도가 80℃ 이상 120℃ 이하인 정온식 기능을 가진 감지기의 외피에 표시하는 색상은?
71. 누전경보기의 화재안전기준 중 누전경보기의 설치방법 및 전원 기준으로 틀린 것은?
72. 비상콘센트설비의 전원회로의 설치기준 중 틀린 것은?
73. 자동화재속보설비 속보기의 기능에 대한 기준으로 틀린 것은?
74. 비상조명등 표시등의 구조에 대한 기준 중 다음 ( ) 안에 알맞은 것은?
75. 비상벨설비 또는 자동식사이렌설비 발신기의 설치기준 중 다음 ( ) 안에 알맞은 것은? (단, 지하구의 경우는 제외한다.)
76. 무선통신보조설비 증폭기의 전면에 주회로의 전원이 정상인지의 여부를 확인하기 위하여 설치하여야 하는 것으로 옳은 것은?
77. 외기에 면하여 상시 개방된 부분이 있는 차고•주차장•창고 등에 있어서는 외기에 면하는 각 부분으로부터 몇m 미만의 범위안에 있는 부분은 경계구역의 면적에 산입하지 아니 하는가?
78. 무선통신보조설비의 누설 동축케이블 설치기준 중 다음 ( ) 안에 알맞은 것은?
79. 연기가 다량으로 유입할 우려가 있는 환경의 음식물 배급실에 적응성이 없는 감지기는? (단, 연기감지기를 설치할 수 없다.)
80. 완광기 및 간이완강기의 강도에 관한 기준 중 다음 ( )안에 알맞은 것은?