1과목: 수학
1. 다항식 x3 - ax2 + bx - 6을 인수분해하면 (x – 1)(x – 2)(x + c)일 때, 상수 a, ,b, c의 합 a+b+c의 값은?
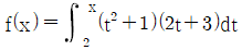
2.
일 때 2z2 - 2z + 5의 값은? (단, i = √-1)
3. 0이 아닌 두 실수 a, b에 대하여
일 때,
을 간단히 하면?
4. x에 대한 이차방정식 x2 + (a+1)x + 2 = 0의 한 근이 다른 근의 2배일 때 실수 a의 값은? (단, a<0)
5. x에 대한 삼차방정식 x3 + (3-a)x3 + ax – 4 = 0이 중근을 갖도록 하는 모든 실수 a의 값의 합은?
6. 이차함수 y = x2 - 2(a-2k)x + a2 - 2k + 4k2의 그래프가 실수 k의 값에 관계없이 항상 x축에 접할 때, 실수 2a의 값은?
7. 이차함수 y = x2 + px + 4의 그래프와 직선 y = -3x + q가 서로 다른 두 점에서 만나고 두 교점의 좌표가 각각 –1, 2일 때 p2 - q2의 값은? (단, p, q는 실수)
8. 이차부등식 ax2 + bx + c > 0의 해가 –1<x<2일 때, 이차부등식 cx2 - ax – b< 0의 해는 α<x<β 이다. 이때 α+β의 값은?


"이다.9. 원 (x-1)2 + y2 = 1을 x축의 방향으로 a만큼, y축의 방향으로 -1만큼 평행이동 하였더니 직선 3x + 4y = 5에 접했을 때, 모든 상수 a의 값의 합은?
11. x에 대한 다항함수 f(x)가 두 조건
,
을 만족시킬 때, f(2)의 값은?
12. 곡선 y = x3 - 3x2 + 2의 접선 중 기울기가 최소인 접선의 방정식이 y = mx + n일 때, 상수 m, n에 대하여 m-n의 값은?
13. 다항함수 f(x)에 대하여 곡선 = f(x)위의 점 (1, 5)에서의 접선의 기울기가 3이다. 곡선 y = x2f(x) 위의 x = 1인 점에서의 접선의 기울기는?
14. 닫힌 구간 [-2, 3]에서 함수 f(x) = -x3 + 3x2 - 6의 최댓값을 M, 최솟값을 m이라 할 때, M+n의 값은?
15.
일 때,
의 값은?
의 값은 (4 x 20) / 2 = 40이다. 따라서, 정답은 "20"이다.16. a>2일 때, 곡선 y = (x2 - 2x)(x – a)와 x축으로 둘러싸인 두 부분의 넓이가 같을 때, 상수 a의 값은?
17.
의 값은?
18. 방정식 x + y + z + w = 15를 만족시키는 x≥2, y≥2, z≥2, w≥2인 자연수 x, y, z, w의 순서쌍 (x, y, z, w)의 개수는?
19. 한 개의 주사위를 3번 던질 때, 1의 눈이 2번 나올 확률은?
20. 640명을 모집하는 어느 대학의 입학시험에 4000명이 응시하였다. 수험생의 시험 성적은 평균이 450점, 표준편차가 75점인 정규분포를 따른다고 할 때, 합격자의 최저 점수는? (단, Z가 표준정규분포를 따르는 확률변수일 때, P(0≤ Z ≤1) = 0.34로 계산한다.)