1과목: 기계경비개론
1. 경비업법령상 다음 내용의 업무는?
2. 2진수 (10)2 과 (11)2 을 덧셈한 결과는?
3. 다음 디지털 논리회로에서 출력신호 C 값이 0이 되게 하는 입력신호 A, B 값은?
4. 주기억장치의 용량이 16 바이트(byte)인 경우 전체 비트(bit) 수는?
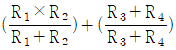
5. 다음과 같이 저항을 접속할 경우 합성저항은?




6. 다음 중 주파수가 가장 낮은 것은?
7. 기계경비시스템의 용어에 관한 설명으로 옳지 않은 것은?
8. 기계경비시스템의 구성요소가 아닌 것은?
9. 기계경비시스템의 전원 공급에 관한 설명으로 옳은 것은?
10. 인터넷 프로토콜 IPv4의 IP 주소 길이(bit)는?
11. 기계경비시스템에서 주장치에 관한 설명으로 옳지 않은 것은?
12. 2개의 감지기가 동시에 감지할 때에만 경보를 발생시키는 결선방식은?
13. 자동화재탐지설비 및 시각경보장치의 화재안전성능기준(NFPC 203)상 감지기의 정의를 나타낸 것이다. ( )에 들어갈 내용으로 옳은 것은?
14. 감지기의 구비조건에 해당하는 것을 나열한 것은?
15. 열전효과에 해당하는 것을 나열한 것은?
16. 감지 구역에 따른 점 경계 감지기에 해당하는 것은?
17. 능동형 감지기에 해당하는 것은?
18. 적외선 감지기의 감지 원리는?
19. 일국소의 주위온도가 일정온도 이상으로 될 때 바이메탈을 이용하여 작동하는 감지기는?
20. 자동화재탐지설비 및 시각경보장치의 화재안전성능기준(NFPC 203)상 공기관식 차동식분포형감지기의 설치기준으로 옳지 않은 것은?
21. CCTV 시스템의 용어에 관한 설명으로 옳지 않은 것은?
22. CCTV 시스템의 주변기기에 관한 설명으로 옳은 것은?
23. 동영상 압축방식이 아닌 것은?
24. NVR에 관한 설명으로 옳지 않은 것은?
25. 화면을 구성하는 최소 단위는?
26. 클라우드 서비스에 관한 설명으로 옳지 않은 것은?
27. 해상도가 높아지는 순서로 나열한 것은?
28. 상품도난방지시스템(EAS)의 종류가 아닌 것은?
29. 개인정보보호법령상 ( )에 들어가는 용어로 옳은 것은?
30. 출입통제시스템의 생체인식에서 요구하는 특성이 아닌 것은?
31. PVC 카드의 특정위치에 자화 할 수 있는 자기 테이프를 부착하여 데이터를 입력한 카드는?
32. 출입통제시스템에서 전기적 자성에 의해 문틀의 장치와 문의 플레이트가 붙고 떨어지는 형태의 장치는?
33. 출입통제시스템에서 컴퓨터가 터미널에 전송할 데이터가 있는지 여부를 물어보는 방식은?
34. 출입통제시스템에 관한 설명으로 옳지 않은 것은?
35. 외곽감지시스템에서 빛을 감지방식으로 이용하지 않는 감지기는?
36. 외곽감지시스템의 감지방식으로 옳지 않은 것은?
37. 외곽감지시스템의 장력 감지기를 구성하는 요소가 아닌 것은?
38. 외곽감지시스템의 운영에 관한 설명으로 옳은 것은?
39. 정보보호에 필요한 요건 중 기밀성에 관한 내용이 아닌 것은?
40. 인터넷 프로토콜에 관한 설명으로 옳지 않은 것은?