1과목: 과목 구분 없음
1. '어떤 화학 반응이 연속적으로 일어날 때, 그 반응의 엔탈피 변화값은 각 단계의 엔탈피 변화값의 합과 같다.'는 법칙은?
2. 옥탄가 100의 기준이 되는 물질의 구조식은?




3. 합성가스에 대한 설명으로 옳지 않은 것은?
4. 유지의 분자량 또는 불포화도와 관련이 없는 것은?
5. 괴상(bulk) 중합에서 급격한 중합 속도 증가와 온도 증가에 따른 자동가속화 현상은?
6. 페놀류에 대한 설명으로 옳지 않은 것은?
7. 고분자의 유리전이온도를 측정하는 분석법으로 옳지 않은 것은?
8. 1 당량의 1-hexyne (CH3CH2CH2CH2C≡CH)과 2 당량의 HBr을 반응시켰을 때 얻어지는 주 생성물은?




9. 카이랄 탄소의 절대 배열(absolute configuration)이 S 인 화합물은?




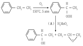
10. 다음 화학 반응식의 A에 가장 적합한 반응물은?




11. 다음 설명을 모두 만족하는 화합물은?
12. 고분자의 구조식이 옳은 것만을 모두 고르면?
13. 생체 의료용 고분자에 대한 설명으로 옳지 않은 것은?
14. 아민기보다 카르복실기의 개수가 더 많은 아미노산만을 모두 고르면?
15. 수용액에서 침전 반응이 일어나지 않는 화학 반응식은?




16.
착이온의 리간드장 안정화 에너지의 절대값은? (단, Fe는 8족 원소이며, △o는 팔면체 결정장 갈라짐 에너지이다)
17. 전이금속 원소의 바닥 상태 전자배치로 옳은 것은?




18. 다음 반응에서 얻어지는 주 비료는?
19. 양자점(quantum dot)에 대한 설명으로 옳지 않은 것은?
20. 전기화학 전지에 대한 설명으로 옳은 것은?