1과목: 디지털전자회로
1. 그림과 같은 반파정류회로의 동작 설명과 관련이 없는 것은?
2. 다음 회로에서 그림과 같은 입력파에 대해 출력파형은? (단, 다이오드 D1, D2와 연산증폭기는 이상적이다.)




3. RS 플립-플롭 논리회로의 설명으로 틀린 것은?
를 갖는다.
는 전상태를 유지한다.
가 모두 저레벨로 된다.4. PM파와 FM파의 스펙트럼 분포의 관계 중 틀린 것은?
5. 플립플롭회로를 활용할 수 없는 것은?
6. 45[㎒]의 반송파를 최대 주파수편이 38[㎑]로 하고, 9[㎑]의 신호파로 주파수 변조를 했을 경우 주파수 대역은?
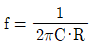
7. 그림과 같이 연산증폭기를 사용한 위인(Wien)브리지에서 이 발진회로의 발진주파수 f는?




8. 이미터 폴로워(emitter follower)의 특징을 설명한 것 중 옳지 않은 것은?
9. 아래 반전증폭회로의 출력전압은 얼마인가? (단, 연산증폭기의 개방이득은 ∞라고 본다.)
10. 다음 단일 구형파를 미분회로에 통과시키면 출력파형은?




11. 그림과 같은 CR회로에서 지수 함수적으로 증가하는 경우는 어느 것인가?
12. 다음과 같은 정보신호를 진폭변조할 때 가장 넓은 대역의 스펙트럼 분포를 차지하게 되는 것은?
13. 로가리즘 앰프(logarithm amp)는 어느 것인가? (단, OP amp는 이상적으로 간주한다.)




14. 에미터 저항을 가진 CE 증폭기의 특징에 관한 설명 중 옳지 않은 것은?
15. exclusive-OR와 exclusive-NOR에 해당하는 논리식을 상호 변환한 아래의 식 중에서 틀린 것은?




16. 비동기식 계수기(counter)와 관계가 없는 것은?
17. 이상적인 연산증폭기의 조건중 옳지 못한 것은?
18. 다음 회로의 출력은?



19. 집적회로(IC)에서 고주파 특성을 제한하는 요인은?
20. 1,024개의 입력 펄스가 들어올 때마다 한 개의 출력 펄스를 발생시키려고 한다. T플립플롭을 이용할 경우 몇 개가 필요한가?
2과목: 무선통신기기
21. 어떤 수신기의 고주파 증폭이득이 20 [dB], 주파수 변환 이득이 -5 [dB], 중간주파 이득이 60 [dB], 저주파 이득이 25 [dB]라면 입력에 1[㎶]의 전압을 가하면 출력은 몇 [V]인가?
22. 수정 발진회로에서 수정진동자의 전기적 직렬 공진 주파수를 fs, 병렬 공진 주파수를 fp라 하면 안정한 발진을 하기 위한 동작 출력 주파수 fo는 아래 어느 것인가?
23. 전압 정재파비가 3인 어떤 급전선에서 진행파 전압이 10[V]라면 반사파 전압은 몇 [V] 인가?
24. 파라메트릭(parametric Amp) 증폭기의 증폭에너지 주공급처는?
25. 스켈치(Squelch)회로의 입력은 어느 단에서 얻는가?
26. AM 송신기의 변조특성의 측정이 아닌 것은?
27. 다음 중 전원회로의 잡음대책에 속하지 않는 것은?
28. 간접 FM방식에서 사용되는 전치보상회로(pre-distorter)의 설명중 틀린 것은?
29. 다음중 FM 송신기의 보조회로가 아닌 것은?
30. 전계 강도를 측정하고자 할 때 가장 적당한 안테나는?
31. 송신기에서 스프리어스(Spurious) 발사를 억제하기 위한 대책으로 부적합한 것은?
32. 아래의 회로중 설명이 잘못된 것은?
33. 직선 검파기에서 Diagonal clipping현상이 발생하는 이유는?
34. 무선 송신기에서의 완충 증폭기와 관계없는 것은?
35. 단상 반파 정류회로에서 정류기의 내부저항과 부하저항이 같을 때 최대 정류 효율은 얼마인가?
36. 위성의 제어를 위하여 위성에 있는 각 장치의 전기적인 상태 및 센서로 감지한 열에 대한 데이터의 정보를 지구국에 송신하는 기능을 갖는 장치를 무엇이라고 하는가?
37. M/W 중계방식이 아닌 것은?
38. 위성통신의 다원접속방식중 위성의 주파수스펙트럼을 분할하여 각 지구국에 할당하는 방식을 무엇이라고 하는가?
39. 정류기의 부하단의 평균전압은 200V, 실효값 맥동율이 2%일 때 교류분 실효값은?
40. super-hetrodyne 수신기에서 중간주파수를 높게 할수록 수신기의 특성이 나빠지는 것은?
3과목: 안테나공학
41. 서울에서 송신된 FM 방송신호가 부산에서 어떤 시간동안에만 일시적으로 수신되었다면 다음 중에서 어떤 경로의 전파일 가능성이 제일 높은가?
42. 파장에 따라 크기를 달리하고 단파대에서 마이크로파대까지 사용할 수 있는 광대역 안테나는?
43. 안테나의 지향성을 높이는 방법이 아닌 것은?
44. λ /4 수직접지 안테나에서 안테나의 기전부 전류가 10[A]일 때, 60[㎞]떨어진 점의 전계강도 E 는? (단, 1[㎶/m]를 0 dB로 함)
45. 길이 0.5[m]의 미소 다이폴 안테나에 60[MHz], 전류를 10[A] 흘렸을 때 복사전력은 약 얼마인가?
46. 다음중 회절현상이 가장 심하게 일어나는 방송파는?
47. 전방 전계의 세기를 Ef, 후방전계의 세기를 Eb 라고 할 때 전후 전계비(front to back ratio)를 옳게 표현한 식은?
48. 안테나의 길이가 20[m], 사용 파장이 200[m]로서 λ /4 보다 상당히 짧은 수직접지형 안테나가 있다. 복사저항은 대략 얼마 정도인가?
49. 다음 임피던스 정합방법 중 평행 2선식 급전선에 사용할 수 없는 방법은?
50. 육상이동통신환경에서 가장 문제가 되는 페이딩은?
51. 복사저항이 35[Ω]이고 손실저항이 10[Ω] 및 도체 저항이 5[Ω]인 안테나의 효율은 몇 [%]인가?
52. 특성 임피던스 Z0=3+j2[Ω ]인 부하에 반사파 없이 최대전력을 전달하려면 다음 중 어떤 특징의 선로를 접속해야 하는가?
53. 관내의 유전체가 진공일 때 구형 도파관(TE10 mode)의 차단파장은? (단, 장변은 a, 단변은 b 이다.)
54. 태양의 폭발로 인하여 발생하는 강력한 자외선 방출에 의해 D, E 층의 전자 밀도가 급격히 증가하여 전파의 감쇠가 심하게 발생하는 현상은?
55. 평행2선식 급전선 중 특성임피던스가 가장 큰 것은?
56. 전압 정재파비가 S인 급전선에서 부하의 입사전력 Pi와 부하에 공급되는 전력 PL 과의 비 Pi/PL 는 얼마인가?
57. 접어진(folded) 안테나의 특징에 대한 설명으로 잘못된 것은?
58. 정관형 안테나에 관한 설명이다. 틀린 것은?
59. 박쥐날개형 안테나를 직각으로 교차시켜 구성한 것으로 여러 단 겹쳐서 사용하며, 단위 안테나의 표면적이 넓게 되므로 실효적으로 안테나의 Q 가 저하하여 광대역 특성을 갖게 되는 안테나는?
60. 지구의 반경을 6,370[km]라고 할 때 표준대기의 굴절률이 1.000313 이고 대류권내의 전파통로의 높이를 318.5[m]라 하면 M 단위 수정 굴절률은 얼마인가?
4과목: 통신영어 및 교통지리
61. 다음은 북태평양에 위치해 있는 항행경보 업무 취급국들 이다. 틀린 것은?
62. Choose the correct word for the blank.
63. Fill in the blank with the correct one.
64. 인천 갑문 항무통신국의 호출 부호는?
65. PERSIAN GULF에 위치해 있는 도서국가에 위치한 주요 해안국인 것은?
66. 다음중 Gulf of Mexico 연안에 있지 않은 항구는?
67. Choose the unconcerned one among the examples of the following glossary.
68. Choose the right one for the blank.
69. New Zealand의 수도에 위치한 해안국은?
70. Choose the correct one.
71. 다음은 INMARSAT 해안지구국과 그 소속 국가명을 짝지은 것이다. 틀린 것은?
72. Choose the suitable one in the blank and complete following sentence.
73. Select the wrong pronunciation among the following phonetic aplhabets.
74. Choose the right one for the blank of the following.
75. Choose the correct terminology and fill in the blank.
76. 인도양 위성에 제공하는 우리나라 금산해안지구국의 표준 A형 아이디 번호로 맞는 것은?
77. What is the right phrase in blank?
78. Choose the best translation of the following sentence.
79. Choose the different meaning for the explanation of the following converstation by readio telephone.
80. Choose the wrong one that is not suitable to express the meaning of the abbreviation.
...end of transmisson5과목: 전파관계법규
81. 다음 ITU 언어 중 해석상 오해나 분쟁이 있을 때 우선하는 언어는?
82. 통신보안의 목적과 관계가 먼 것은?
83. 이동국에 대하여 전파를 발사하여 그 전파발사위치에서의 방향 또는 방위를 그 이동국으로 하여금 결정하게 할 수 있도록 하는 업무를 행하는 무선국은?
84. 무선표지국의 재허가 신청시기가 맞는 것은?
85. 다음 중 형식등록을 하여야 하는 무선설비의 기기에 해당하지 아니한 것은?
86. 계속적인 정보를 이용할 수 있는 INMARSAT 정지위성의 통신범위내의 해역은?
87. 다음 중 전파법 시행령에서 규정하는 업무의 분류상 해상이동업무가 아닌 것은?
88. 해안국과 선박국이 제1침묵시간 중에 발사하여서는 아니되는 주파수는?
89. 다음 중 통신의 보안성이 높은 순으로 열거한 것으로 맞는 것은?
90. 국제전기통신 업무를 취급하는 선박국중 제3종국의 1일 의무운용시간은?
91. 다음중 공중선전력의 표시방법이 아닌 것은?
92. 통신 도청 방지와 관계가 먼 것은?
93. 상호 약정된 확인법을 사용할 필요가 없는 때는?
94. 암호의 사용 목적은?
95. 다음 중 국제전기통신연합 전권위원회의의 임무가 아닌 것은?
96. 다음중 주파수 분배시 고려되어야 하는 사항이 아닌 것은?
97. ITU의 RR에서는 주파수 분배를 위하여 세계를 여러 지역으로 나누었다 우리나라가 속하는 지역은?
98. 방향탐지에 대한 방어 방법으로 가장 옳은 것은?
99. "선박이 통상 조선되는 장소에서 행하는 선박 상호간의 안전에 관한통신"을 무엇이라고 하는가?
100. 전력선 반송설비 및 유도식 통신설비에서 발사되는 주파수 허용편차는?