1과목: 조사방법론 I
1. 표본조사와 전수조사에 대한 설명으로 틀린 것은?
2. 다음 중 우편조사의 회수율을 높이기 위한 방법과 가장 거리가 먼 것은?
3. 김치의 상품화로부터 연상될 수 있는 배추, 각종 양념, 숙성 정도, 가격 등과 같은 시험단어들에 대하여 응답자들이 연상해 내는 단어들의 순서와 반응시간 등을 측정하여 조사에 활용되는 방법은?
4. 다음 중 실험설계의 특징이 아닌 것은?
5. 다음 중 관찰방법의 특징이 아닌 것은?
6. 다음과 같은 특성을 가진 자료수집방법은?
7. 다음 중 귀납법과 연역법에 관한 설명으로 옳은 것은?
8. 실험설계의 인과관계 분석을 위협하는 요소와 가장 거리가 먼 것은?
9. 다음의 사례에서 활용한 연구방법은?
10. 다음 중 어느 대학생 개인의 특성에 기초하여 소속대학교 학생집단의 전체 특성으로 규정하려는 분석상의 오류는?
11. 면접조사 시 유의해야 할 사항으로 틀린 것은?
12. 기술적 조사(descriptive research)와 설명적 조사(explanatory research)에 관한 설명으로 틀린 것은?
13. 가설설정시 유의해야 할 사항과 가장 거리가 먼 것은?
14. “최근 텔레비전 프로그램에 등장하고 있는 폭력적 장면과 선정적 장면에 대해서 어떻게 생각하십니까?” 라는 질문은 주로 어떤 오류를 범하고 있는가?
15. 관찰을 통한 자료수집 시 지각과정에서 나타나는 오류를 감소하기 위한 방안으로 틀린 것은?
16. 설문조사의 질문항목 배치에 대한 설명으로 틀린 것은?
17. 다음 중 조사자의 주관이 개입될 가능성이 가장 높은 자료수집방법은?
18. 다음 중 온라인(On-line) 조사의 장점과 가장 거리가 먼 것은?
19. 다음 중 폐쇄형 질문의 단점과 가장 거리 먼 것은?
20. 관찰법(observation method)의 분류기준에 관한 설명으로 틀린 것은?
21. 다음 중 전화조사의 장점과 가장 거리가 먼 것은?
22. 다음 중 집합단위의 자료를 바탕으로 개인의 특성을 추리할 때 저지를 수 있는 오류를 뜻하는 것은?
23. 소수의 집단을 대상으로 특정주제에 대하여 자유롭게 토론하여 필요한 정보를 얻는 방법을 무엇이라 하는가?
24. 조사하려고 하는 문제에 대한 잠정적 해답 또는 경험적으로 실증되지 않는 명제는?
25. 동시경험집단을 연구하는 것으로 일정한 기간 동안에 어떤 한정된 부분의 모집단을 연구하는 것은?
26. 양적연구와 질적연구에 대한 설명으로 틀린 것은?
27. 다음 중 표준화면접의 사용이 가장 적합한 경우는?
28. 사후실험설계(ex-post facto research design)의 특징으로 틀린 것은?
29. 집단조사법에 관한 설명으로 틀린 것은?
30. 다음 중 내용분석에 관한 설명을 틀린 것은?
2과목: 조사방법론 II
31. 온도계의 눈금을 나타내는 수치는 어느 척도인가?
32. 우리는 사회조사를 실시할 때 종종 여러 문항으로 이루어진 척도를 만든다. 다음 중 척도를 만드는 이유가 아닌 것은?
33. 표집틀(sampling frame)을 평가하는 주요요소와 가장 거리가 먼 것은?
34. 신뢰도는 과학적 연구의 요건 중 어느 것과 가장 관련이 깊은가?
35. 다음은 어떤 척도에 관한 설명인가?
36. 개념적 정의와 조작적 정의에 관한 설명으로 틀린 것은?
37. 할당표본추출법(quota sampling)에 관한 설명으로 틀린 것은?
38. 2년제 대학의 대학생 집단을 학년과 성별, 계열별(인문계, 자연계, 예체능계)로 구분하여 할당표본추출을 할 경우 할당표는 총 몇 개의 범주로 구분되는가?
39. 다음 3가지의 변수가 다음과 같은 순서로 영향을 미칠 때 사회적 통합을 무슨 변수라고 하는가?
40. 각 대학교의 졸업생들을 중심으로 취업률을 조사하였을 때 그 척도에 대한 설명으로 맞는 것은?
41. 표본추출과정을 바르게 나열한 것은?
42. 어느 교사가 50문항으로 구성된 독해력을 측정하기 위한 질문지를 만들었다. 자료수집 후 확인해 본 결과 10개의 문항은 독해력이 아닌 어휘력을 측정하는 것으로 나타났다. 따라서 이 10개의 문항을 제외하고 40문항으로 질문지를 재구성하였다. 이 교사는 어떤 결과를 기대할 수 있겠는가?
43. 다음 사례의 표본추출방법은?
44. 척도를 구성하는 가장 중요한 이유는?
45. 타당성 중에서 연구자가 설계한 측정도구 자체가 측정하려는 개념이나 속성을 제대로 대표하고 있는지 여부를 나타내는 것은?
46. 척도구성에서 척도의 일부를 이루는 개별문항들에 대한 기본적인 가정은?
47. 다음 중 소시오메트리 척도에 관한 설명으로 틀린 것은?
48. 다음 중 표집오차가 문제되는 표집방법은?
49. 실험에서 인과관계를 추론하기 위해서 서로 다른 값을 갖도록 처치를 하는 변수를 무엇이라고 하는가?
50. 표본추출의 대표성에 관한 설명으로 틀린 것은?
51. 다음 중 기준관련타당도(criterion-related validity)(문제 오류로 복원중입니다., 정확한 내용을 아시는 분 께서는 오류 신고를 통하여 내용 작성 부탁 드립니다.)
52. 측정에서 확률오차(혹은 비체계적 오차)와 체계오차를 신뢰도와 타당도의 개념과 연결시켜 생각할 때, 타당도는 높으나 신뢰도가 낮은 경우는 어디에 해당하는가?
53. 동일한 상황에서 동일한 측정도구를 사용하여 동일한 대상을 일정한 간격을 두고 두 번 이상 측정하여 그 결과를 비교하여 신뢰성을 측정하는 방법은?
54. 표집오차(sampling error)에 대한 설명으로 틀린 것은?
55. 다음에 나타나는 측정상의 문제점은?
56. 다음 중 비확률표본추출방법(non-probability sampling)에 해당하지 않는 것은?
57. 측정하고자 하는 것을 얼마나 정확히 측정했는가에 관한 것은?
58. 표본추출과 관계없이 자료를 수집하는 과정에서 발생하는 오차는?
59. 다음 중 비율척도로 측정하기 어려운 것은?
60. 외적 타당도를 저해하는 요소에 관한 설명이 아닌 것은?
3과목: 사회통계
61. 독립인 두 개의 정규분포 n(120, 64) 및 n(100, 36)에서 각각 50개의 표본을 추출하여 그 표본평균을 각각
이라 할 때
의 분포는?
62. A성형치과협회에 의하여 성인의 90%는 매력적이지 못한 미소는 직업적 성공을 저해한다고 믿는다. 25명의 성인을 임의로 선택했다고 하자. 이들 중에서 정확하게 20명이 이와 같은 주장에 정확하게 동의할 확률은?
63. 불량률이 0.05인 제품을 20개씩 한 box에 넣어서 포장하였다. 10개의 box를 구입했을 때, 기대되는 불량품의 총 개수는?
64. 세 집단의 평균이 서로 같은지 다른지를 검정하기 위하여 각 집단에서 크기가 6, 7, 11인 표본을 각각 추출하였다. 이 때, 작성되는 분산분석표의 평균오차 제곱합(MSE)의 자유도는?
65. 두 집단 자료의 단위가 다르거나 단위는 같지만 평균의 차이가 클 때 두 집단 자료의 산포를 비교하는데 변동계수(coefficient of variation)를 사용한다. 얻은 자료의 산술평균이 20이고 분산이 16일 때 변동계수는 얼마인가?
66. 다음 설명 중 옳은 것은?
67. 상관계수
에 대한 설명으로 틀린 것은?
는 두 변수 X와 Y의 산포의 정도를 나타낸다.
=0이면 두 변수는 선형이 아니거나 무상관이다.
=-1이면 두 변수는 완전상관관계에 있다.68. 다음 중 회귀분석에 관한 설명을 틀린 것은?
)에 대한 가정에서
이며, 오차는 서로 독립이다.69. 다음은 5년 동안 연도별로 실현된 투자수익률이다. 다음 중 5년 동안의 연평균 수익률을 가장 잘 나타낸 것은?(단, 수익률은 소수 3째 자리에서 반올림)
70. 어느 회사에 출퇴근하는 직원들 500명을 대상으로 이용하는 교통수단을 지하철, 자가용, 버스, 택시, 자하철과 택시, 지하철과 버스, 기타의 분야로 나누어 조사하였다. 이 자료를 정리하기에 적합하지 않은 것은?
71. 어느 회사의 마케팅부장은 제품 X에 대한 구매의사를 조사하였다. 남자 40명 여자 60명 모두 100명을 상대로 조사한 결과, 구매의사를 밝힌 남자는 20%이고 여자는 50%였다. 100명 중에서 임의로 한 사람을 뽑았을 때 여자인 조건 하에서 구매에 찬성할 확률은?
72. 모집단 회귀계수 β에 대한 표본 회귀계수가 0.23일 경우, 독립변수가 종속변수에 의미있는 영향을 미치는지를 알기 위해 모집단 회귀계수에 대해 가설검정하려고 할 때 귀무가설과 대립가설은?
73. 3개의 처리(treatment)를 각각 5번씩 반복하여 실험하였고, 이에 대해 분산 분석을 실시하고자 할 때의 설명으로 틀린 것은?
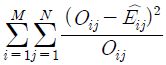
74. 평균이 μ이고 분산은
인 정규모집단에서 모평균μ를 추정하기 위해서 크기 3인 확률표본 X1, X2, X3를 추출하였다. 두 추정량
=(X1+X2+X3)/3 과
= (2X1+5X2+3X3)/10 에 대한 설명으로 옳은 것은?
은 불편추정량이고,
는 편향추정량이다.
은 일치추정량이고,
는 유효추정량이다.
은 유효추정량이고,
는 불편추정량이다.
는 유효추정량이고,
은 편향추정량이다.75. 모분산이 25인 정규모집단에서 추출한 표본평균(
)을 가지고 모평균(μ)을 추정하되 최대오차가 2를 넘지 않을 확률이 99%인 신뢰구간을 찾으려면 표본크기는 최소한 얼마가 되어야 하는가?(단, Z= 2.575, 99% 신뢰구간)
76. 다음 중 Type1 오류가 발생하는 경우는?
77. 다음 설명 중 틀린 것은?
78. 평균체중이 65kg이고 표준편차가 4kg인 C고등학교 1학년 학생들에서 임의로 뽑은 크기 100명 학생들의 평균체중
의 표준오차는?
79. “성과 정당지지도 사이에 관계가 있는가?”를 살펴보기 위하여 설문조사를 실시, 분석한 결과 Pearson 카이제곱값이 32.29, 자유도가 2, 유의확률이 0.000이었다. 이 분석에 근거할 때, 유의수준 0.05에서 “성과 정당지지도 사이의 관계”에 대한 결론은?
80. 어떤 교수는 수업시간에 학급에서 상위 15% 이내가 되면 A학점을 주게 될 것이라고 선언했다. 최종적으로 확인된 평균시험점수는 83점이었고, 표준편차는 6점이었다. 이 학급에서 학생들이 A학점을 받기 위해서는 최소한 몇 점 정도가 되어야 하는가? (단, 15%에 해당하는 Z점수는 1.03~1.04이다.)
81. 동전을 3회 던지는 실험에서 앞면이 나오는 횟수를 X라고 할 때, 확률변수 Y=(X-1)2의 기대값은?
82. 행변수가 M개의 범주를 갖고 열변수가 N개의 범주를 갖는 분할표에서 행변수와 열변수가 서로 독립인지를 검정하고자 한다.
셀의 관측도수를
, 귀무가설하에서의 기대도수의 추정치를
할 때, 이 검정을 위한 검정통계량은?




83. A고등학교 1학년 학생 1000명의 성적분포가 평균 80점, 표준편차 20점인 정규 분포로 나타났다. 이 경우에 60점 이상 100점 이하의 점수를 얻은 학생은 약 몇 명인가?(단, P(Z≤0.5)=0.68, P(Z≤1.0)=0.84, P(Z≤1.5)=0.93, P(Z≤2.0)=0.98)
84. 단순선형회귀모형
에서 오차항
의 분포가 평균이 0이고 분산이
인 정규분포를 따른다고 가정하자. 22개의 자료들로부터 회귀식을 추정하고 나서 잔차제곱합(SSE)을 구하였더니 그 값이 4000이었다. 이 때 분산
의 불편추정값은?
85. 평균이 50이고, 표준편차가 10인 어떤 분포에 점수가 10인 6개의 사례가 더 추가되는 경우, 표준편차는 어떻게 변하게 되는가?
86. 어떤 화학 반응에서 생성되는 반응량(Y)이 첨가제의 양(X)에 따라 어떻게 변화 하는지를 실험하여 다음과 같은 자료를 얻었다. 변화의 관계를 직선으로 가정하고 최소제곱법에 의하여 회귀직선을 추정할 때 추정된 회귀직선의 절편과 기울기는?
87. 기록에 의하면 어느 백화점 매장에서 물품을 구입 후 25%의 고객이 신용카드로 결제한다고 알려져 있다. 오늘 40명의 고객이 이 매장에서 물건을 구입하였 다면, 몇 명의 고객이 신용카드로 결제하였을 것이라고 기대되는가?
88. 모집단으로부터 추출된 크기 100의 랜덤표본에서 구한 표본 비율이
=0.42이다. 귀무가설 H0: P=0.4와 대립가설 H1 : P>0.3을 검정하기 위한 검정통계량은?




89.
을 정규분포
에서 추출한 표본 크기가 9인 확률표본이라 할 때,
의 확률분포는?
분포
분포90. 어느 부서의 사원들 중 대졸 직원은 60명이고, 고졸 직원은 40명이다. 이들 대졸 직원들의 월 평균 급여는 150만원이고, 고졸 직원들의 월 평균 급여는 120만원이다. 이 부서의 전체 사원 100명의 월 평균 급여는?
91. X 가
인 분포를 따를 경우 Y=aX+b의 분포는?



92. 도시지역과 시골지역의 가족 수의 평균에 차이가 있는지 알아보기 위해 도시지역과 시골지역 중 각각 몇 개의 지역을 골라 가족 수를 조사하였다. 이 사례에 알맞은 검증방법은?
93. 다음 회귀선의 분산분석표는 과외활동 정도가 특정과목의 선호정도에 어떻게 영향을 미치는가에 관한 것이다. 위의 분산분석표에서 결정계수(R2)는?
94. 서울에 거주하는 가구 중에서 명절에 귀향하려는 가구의 비율(p)을 알아보기 위해 500가구를 조사한 결과 100가구가 귀향하겠다고 응답하였다. 서울거주 가구의 귀향비율 p의 95% 신뢰구간은? (단,
=2.24)
95. 3×4 분할표 자료에 대한 독립성검정을 위한 카이제곱통계량의 자유도는?
96. 다음 중 상관분석의 적용을 위해 산점도에서 관찰해야 하는 자료의 특징이 아닌 것은?
97. 다음 일원배치법모형에서 분산분석을 이용한 분산분석표에 관한 설명으로 틀린 것은?
98. 다음 중 중심극한정리(central limit theorem)에 관한 설명으로 틀린 것은?
99. 크기가 10인 표본으로부터 얻은 회귀방정식은 y = 2 + 0.3x 이고, x의 표본평균이 2이고, 표본분산은 4, y의 표본평균은 2.6이고 표본분산은 9이다. 이 요약치로부터 x와 y의 상관계수는?
100. 다음은 중회귀식
= 36.689 + 3.372X1 + 0.532X2 의 회귀계수표이다. ( )안에 들어갈 알맞은 값은?