1과목: 조사방법론 I
1. 다음 중 가설로서 가장 적합한 형태는?
2. 다음 중 과학적 연구의 특징에 해당하지 않는 것은?
3. 통계적 회귀(statistical regression)에 관한 설명으로 옳은 것은?
4. 다음 사례에서 가장 적합한 연구방법은?
5. On-line 조사에 대한 설명으로 틀린 것은?
6. 관찰자의 유형에 관한 설명으로 틀린 것은?
7. 우편조사와 비교했을 때, 면접조사가 가지는 장점이 아닌 것은?
8. 실험설계를 위한 필수요건이 아닌 것은?
9. 다음 중 관찰방법의 특징이 아닌 것은?
10. 개념의조작화 과정에 관한 설명으로 옳은 것은?
11. 다음의 조사유형으로 옳은 것은?
12. 다음 중 분석단위와 연구내용이 틀리게 짝지어진 것은?
13. 응답자의 대답이 불충분하거나 모호할 때 추가질문을 통해 정확한 대답을 이끌어내는 면접조사상의 기술은?
14. 자기기입식 설문조사와 비교한 면접설문조사의 장점으로 옳은 것은?
15. 가설에 관한 설명으로 틀린 것은?
16. 질적조사방법과 양적조사방법의 차이점에 관한 설명으로 틀린 것은?
17. 다음 사례에서 영향을 미칠 수 있는 대표적인 내적 타당도 저해요인은?
18. 다음 중 우편조사의 회수율을 높이기 위한 방법과 가장 거리가 먼 것은?
19. 다음 ( )안에 알맞은 것은?
20. 다음 질문문항에서 가장 문제시 될 수 있는 것은?
21. 내용분석법에 관한 설명으로 틀린 것은?
22. 다음 중 개방형 질문의 장점이 아닌 것은?
23. 순수실험설계(true experimental design)의 특징이 아닌 것은?
24. 개방형 질문의 특성과 가장 거리가 먼 것은?
25. 논리적 연관성 도출방법 중 연역적 방법과 귀납적 방법에 관한 설명으로 틀린 것은?
26. 학술지에 “비행의 결정요인에 대한 연구: 소년원 재소자를 중심으로”라는 제목의 논문이 실렸다. 제목을 보고 알 수 있는 것은?
27. 조사연구의 목적과 그 예가 잘못 짝지어진 것은?
28. 사회과학연구에서 인과관계를 규명하는 내용에 관한 설명으로 틀린 것은?
29. 다음 중 조사자의 주관이 개입될 가능성이 가장 높은 자료수집방법은?
30. 다음 중 사례조사에 관한 설명으로 옳은 것은?
2과목: 조사방법론 II
31. 확률표집(probability sampling)에 관한 설명으로 옳은 것은?
32. 다음 중 확률표집에 해당하는 것은?
33. 연속변수(continuous variable)와 이산변수(discrete variable)에 관한 설명으로 틀린 것은?
34. 다음에 해당하는 표집방법은?
35. 표본추출에 관한 용어의 설명으로 틀린 것은?
36. 개념적 정의의 특성으로 틀린 것은?
37. 타당성에 관한 설명으로 틀린 것은?
38. 표본의 크기에 관한 설명으로 옳은 것은?
39. 다음은 무엇에 관한 설명인가?
40. 용수철이 고장 난 체중계가 있어서 체중을 잴 때마다 항상 실제와 다르게 체중이 일정하게 나타난다면, 이 체중계의 타당도와 신뢰도는?
41. 조작적 정의에 관한 설명으로 옳은 것은?
42. 암기력을 측정하기 위해 암기 한 것들을 모두 종이 위에 쓰도록 하는 벙법과 암기한 것을 모두 말하도록 하는 방법을 사용하는 경우, 서로 다른 두 가지의 측정방법을 측정한 결과 값들 간에 상관관계의 정도를 나타내는 타당성은 무엇인가?
43. 변수의 종류에 관한 설명으로 옳게 짝지어진 것은?
44. 신뢰도 추정방법 중 동일측정도구를 동일상황에서 동일대상에게 서로 다른 시간에 측정한 측정결과를 비교하는 것은?
45. 거트만척도(Guttman scale)에 관한 설명으로 틀린 것은?
46. 표본추출오차와 비표본추출오차에 관한 설명으로 틀린 것은?
47. 측정오류에 관한 설명으로 틀린 것은?
48. 다음 표본조사 설계절차 중 가장 먼저 해야 할 것은?
49. 다음 중 사회조사에서의 측정에 관한 설명으로 옳은 것은?
50. 체계적 오류의 주요 발생 원인에 해당하는 것은?
51. 현직 대통령에 대한 인기도를 0점에서 100점까지의 값 가운데 하나를 선택하도록 했다. (높은 수치일수록 높은 지지) 갑은 30점을 준 반면 을은 60점을 주었다. 갑과 을의 평가에 대한 설명으로 옳은 것은?
52. 척도구성방법 중 인종, 사회계급과 같은 여러 가지 형태의 사회집단에 대한 사회적 거리를 측정하기 위한 척도는?
53. 2년제 대학의 대학생 집단을 학년과 성별, 계열별(인문계, 자연계, 예체능계)로 구분하여 할당표본추출을 할 경우 할당표는 총 몇 개의 범주로 구분되는가?
54. 조사대상자들의 종료를 불교, 기독교, 가톨릭, 기타의 범주로 나누어 관찰한 경우 측정수준은?
55. 판단표본추출법(judgement samplint)에 관한 설명으로 옳은 것은?
56. 다음에 사용된 표집방법은?
57. 제공되는 정보와 자료 분석에 이용할 수 있는 통계적 방법의 수준에 따라 척도를 순서대로 나열한 것은?
58. 다음 사례의 표본추출방법은?
59. 다음 중 신뢰성을 눂일 수 있는 방법으로 틀린 것은?
60. 측정의 타당도에 관한 설명으로 틀린 것은?
3과목: 사회통계
61. 다음 회귀선의 분산분석표는 과외활동 정도가 특정과목의 선호정도에 어떻게 영향을 미치는가에 관한 것이다. 아래 분산분석표에서 결정계수(R2)는? 
62. 표본크기가 3인 자료 x1, x2, x3의 평균
=10, 분산 s2=100 이다. 관측값 10이 추가되었을 때, 4개 자료의 분산 s2은? (단, 처음 3개 자료의
,
)
63. 정규분포를 따르는 모집단의 모평균에 대한 가설 H0 : μ = 50 VS H1 : μ < 50을 검정하고자 한다. 크기 n=100의 임의표본을 취하여 표본평균을 구한 결과
=49.02를 얻었다. 모집단의 표준편차가 5라면 유의확률은 얼마인가? (단, P(Z≤-1.96)=0.025, P(Z≤-1.645)=0.05)
64. 일정기간 공사장지대에서 방목한 가축 소변의 불소농도에 변화가 있는가를 조사하고자 한다. 랜덤하게 추출한 10마리의 가축 소변의 불소농도를 방목 초기에 조사하고 일정기간 방목한 후 다시 소변의 불소 농도를 조사하였다. 방목 전후의 불소농도에 차이가 있는가에 대한 분석방법으로 적합한 것은?
65. P(A)=P(B)=1/2, P(A.B)= 2/3 일 때, P(A∪B)를 구하면?
66. 표준편차가 10인 모집단에서 임의추출한 25개의 표본을 이용하여 모 평균이 70보다 크다는 주장을 검정하고자 한다. 기각역이 R:
≥ c 인 검정의 유의수준이 α=0.025가 되도록 c를 구하면? (단, Z가 표준정규분포를 따르는 확률변수일 때, P(Z>1.96)=0.025)
67. 두 변수 가족수와 생활비간의 상관계수가 0.6이라면, 생활비 변동의며 %가 가족수로 설명되어진다고 할 수 있는가?
68. 단순회귀모형 Yi=α + βxi + εi(i=1, 2, …, n)에서 잔차 ei=yi-
의 성질을 모두 짝지은 것은?
69. 정규분포에 관한 설명으로 옳은 것은?
70. 상관계수에 관한 설명으로 옳은 것은?
71. 평균이 μ이고 분산은 σ2인 정규모집단에서 모평균 μ를 추정하기 위해서 크기 3인 확률표본 X1, X2, X3를 추출하였다. 두 추정량
1=(X1 + X2 + X3)/3과
2=(2X1 + 5X2 + 3X3)/10에 관한 설명으로 옳은 것은?
1은 불편추정량이고,
2는 편향추정량이다.
1은 일치추정량이고,
2는 유효추정량이다.
1은 유효추정량이고,
2는 불편추정량이다.
1은 유효추정량이고,
2는 편향추정량이다.72. 모집단의 표준편차의 값이 작을 때의 표본평균 값은?
73. 어떤 대학 사회학과 학생들의 통계학 성적분포가 근사적으로 N(70,102)을 따른다고 한다. 50점 이하인 학생에게 F학점을 준다고 할 때 F학점을 받게 될 학생들의 비율을 구할 수 있는 것은?
74. 어느 지역의 청년취업률을 알아보기 위해 조사한 500명 중 400명이 취업을 한 것으로 나타냈다. 이 지역의 청년취업률에 대한 95% 신뢰 구간은? (단, Z가 표준정규분포를 따르는 확률변수일 때, P(Z>1.96)=0.025)




75. I개 그룹의 평균을 비교하고자 한다. 다음 일원분산분석모형에 대한 가설 H0 : α1 = α2 = … = αI = 0을 유의수준 0.05에서 F-검정 결과 p-값이 0.07이었을 때의 추론 결과로 옳은 것은?
76. 다음 중 바람직한 추정량(estimator)의 선정기준이 아닌 것은?
77. 앞면과 윗면이 나올 확률이 동일한 동전을 10번 독립적으로 던질 때 앞면이 나오는 횟수를 X라 하면 X의 기댓값과 분산은?


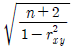
78. n개의 범주로 된 변수를 가변수(dummy variable)로 만들어 회귀분석에 이용할 경우 몇 개의 가변수가 회귀분석모형에 포함되어야 하는가?
79. 어느 지역 고등학교 학생 중 안경을 착용한 학생들의 비율을 추정하기 위해 이 지역 고등학생 성별 구성비에 따라 남학생 600명, 여학생 400명을 각각 무작위로 추출하여 조사하였더니 남학생 중 240명, 여학생 중 60명이 안경을 착용한다는 조사결과를 얻었다. 이 지역 전체 고등학생 중 안경을 착용한 학생들의 비율에 대한 가장 적절한 추정값은?
80. 일원배치법에 관한 설명으로 가장 적합한 것은?
81. 어느 공공기관의 민원서비스 만족도에 대한 여론조사를 하기 위하여 적절한 표본크기를 결정하고자 한다. 95% 신뢰수준에서 모비율에 대한 추정오차의 한계가 ±4% 이내에 있게 하려면 표본크기는 최소 얼마가 되어야 하는가? (단, 표준화 정규분포에서 P(Z≥1.96)=0.025)
82. 다음 단순회귀모형에 대한 설명으로 틀린 것은?(단, 오차항 εi는 서로 독립이며 동일한 분포 N(0, σ2)을 따른다.)
일 경우 Y의 반응량을 나타낸다.83. 평균이 40, 중앙값이 38, 표준편차가 400일 때 변이계수는?
84. 노사문제에 대한 여론을 조사하기 위하여 전국의 사업장에서 조합원 1200명을 임의로 추출하여 찬반을 조사한 결과 960명이 찬성하였다. 찬성률에 대한 표준오차는?
85. 환자군과 대조군의 혈압을 비교하고자 한다. 각 집단에서 헐압은 정규분포를 따른다고 한다. 환자군 12명, 대조군 12명을 추출하여 평균을 조사하였다. 두 표본 t-검정을 실시할 때 적절한 자유도는 얼마인가?
86. 다음 6개 자료의 통계량에 대한 설명으로 틀린 것은?
87. 다음 확률분포 중 확률변수의 성질상 다른 분포와 구별되는 것은?
88. 주사위를 120번 던져서 얻은 결과가 다음과 같다. 주사위가 공정하다는 가정 하에서 1 × 6 분할표에 대한 X<sup>2</sup>-통계량 값은?(문제오류로 정답은 4번입니다. 추후 기출문제를 다시 복원하여 두겠습니다.)
89. 크기 n인 표본으로 신뢰수준 95%를 갖도록 모평균을 추정하였더니 신뢰구간의 길이가 10이었다. 동일한 조건하에서 표본의 크기만을 4배로 늘이면 신뢰구간의 길이는?
90. 이산형 확률변수 (X, Y)의 결합확률분포표가 다음과 같이 주어진 경우, X, Y의 상관계수에 대한 설명으로 옳은 것은?
91. Y는 20세 이상의 한국국적을 가지고 있는 성인의 신장이 160cm와 180cm 사이에 있으면 1, 그렇지 않으면 0의 값을 갖는 성인 집단에서 크기가 20인 확률표본 y1, y2, ..., y20을 추출하여 얻은 통계량 Z=
의 분포는?
92. 다중회귀분석에 관한 설명으로 틀린 것은?
93. 독립변수가 5개(절편항 제외)인 100개의 자료로 회귀분석을 추정할 때 표준오차의 자유도는?
94. 5점 척도의 만족도 설문조사를 한 결과가 다음과 같을 때 만족도 평균은? (단, 1점은 매우 불만족, 5점은 매우 만족)
95. 두 변수 X, Y의 상관계수에 대한 유의성 검정(H0:ρxy=0)을 t-검정으로 하고자 한다. 이 때 올바른 검정통계량은? (단, rxy : 표본 상관 계수)




96. 중량이 50g으로 표기된 제품 10개를 랜덤추출하니 평균
=49g, 표준편차 s=0.6g이었다. 제품의 중량이 정규분포를 따를 때, 평균중량 μ에 대한 귀무가 설 H0 : μ=50 대 대립가설 H1 : μ<50을 검정하고자 한다. 이에 적합한 가설검정법과 검정통계량은?




97. 다음 표는 새로운 복지정책에 대해 성별에 따른 찬성여부의 차이를 알아보기 위해 남녀 100명씩을 랜덤하게 추출하여 조사한 결과이다. 이 자료로부터 남녀 간의 차이 검정을 위해서는 카이제곱검정이 이용 될 수 있다. 이에 대한 설명으로 틀린 것은?
=
= 0.444 로 구해진다.98. 어느 공정에서 생산된 제품 10개 중 평균적으로 2개가 불량품이라고 알려져 있다. 그 공정에서 임의로 제품 7개를 선택하여 검사한다고 할 때 불량품의 수를 Y라고 하자. Y의 분산은?
99. 표본 분포에 관한 설명으로 틀린 것은?

100. 새로운 상품을 개발한 회사에서는 이 상품에 대한 선호도를 조사하려고 한다. 400명의 조사 대상자 중에서 이 상품을 선호한 사람은 220명이었다. 이 때, 다음 가설에 대한 p-값과 같은 것은? (단, Z는 표준정규분포를 따르는 확률변수이다.)