1과목: 조사방법론 I
1. 면접조사에 대한 설명과 가장 거리가 먼 것은?
2. 조사 연구를 하는 주요 목적과 가장 거리가 먼 것은?
3. 실험설계에서 측정이 반복되면서 섞여지는 학습효과로 인해 실험대상자의 반응에 영향을 미치게 되는 것은?
4. 표면적으로 인과관계인 것처럼 보이던 두 변수 X와 Y가 검정요인 Z를 도입한 후 두 변사 사이의 관계가 사라졌다. X와 Y의 관계는?
5. 2차 자료의 특징이 아닌 것은?
6. 가설설정시 유의해야 할 사항으로 틀린 것은?
7. 다음 질문문항과 가장 관련이 없는 것은?
8. 우편조사를 실시할 때 설문지의 회수율을 높이기 위해 사용하는 방법으로 틀린 것은?
9. 가설이 갖추어야 할 요건이 아닌 것은?
10. 설문지 문항 배열에서 앞의 질문과 응답내용이 뒤의 질문에 대한 응답에 영향을 미치는 것은?
11. 생태학적인 오류(ecological fallacy)가 뜻하는 것은?
12. 우편조사의 응답률에 영향을 미치는 주요요인과 가장 거리가 먼 것은?
13. 관찰법(observation method)의 분류기준에 대한 설명으로 틀린 것은?
14. 인간의 무의식 속에 내재되어 있는 동기, 가치, 태도 등을 알아내기 위하여 모호한 자극을 응답자에게 제시하여 반응을 알아보는 자료수집 방법은?
15. 일반적인 과학적 조사의 절차로 가장 적합한 것은?
16. 질문지 초안이 작성된 후 마지막 단계에서 질문지의 문제점을 찾아내기 위한 작업은?
17. 조사연구의 설계방안 중에서 동일한 전집으로부터 여러 시기에 걸쳐 표본을 추출하여 응답자들의 경향을 파악하는 설계는?
18. 전화조사의 장점과 가장 거리가 먼 것은?
19. 다음은 과학적 방법의 특징 중 무엇에 관한 설명인가?
20. 사전검사(pretest)의 목적과 가장 거리가 먼 것은?
21. 실험설계에서 무작위화(randomization)를 사용하는 이유와 가장 거리가 먼 것은?
22. 과학적 조사에 대한 설명과 가장 거리가 먼 것은?
23. 이론의 개념적 정의에 가장 적합한 내용은?
24. 다음 질문문항이 가지고 있는 가장 큰 문제점은?
25. 솔로몬 연구설계에 대한 옳은 설명을 모두 고른 것은?
26. 개방형 질문의 장점으로 옳은 것은?
27. 기술적(descriptive) 연구의 목적으로 가장 적합한 것은?
28. 비표준화(비구조화) 면접의 장점으로 짝지어진 것은?
29. 수집된 자료의 편집과정에서 주의해야 할 사항과 가장 거리가 먼 것은?
30. 개별적인 사실들로부터 일반적인 원리를 이끌어내는 방법은?
2과목: 조사방법론 II
31. 표본에 대한 설명으로 옳은 것은?
32. 측정시 발생하는 오차에 대한 설명으로 틀린 것은?
33. 단순무작위표집에 대한 설명으로 틀린 것은?
34. 동정심을 측정하기 위해 ‘지하도 입구의 거지에게 자선을 베푸는 정도’로 이를 정의하였다면 이러한 정의는?
35. 단순무작위표집법 대신에 집략표집법을 사용하는 가장 중요한 이유는?
36. 측정의 신뢰도에 영향을 미치는 주요 요인과 가장 거리가 먼 것은?
37. 연구하고자 하는 대상에 대해 일정한 규칙에 따라 수치를 부여하는 것은?
38. 조사결과의 타당성을 확보하기 위한 방법과 가장 거리가 먼 것은?
39. 사회계층간 사회적 거리(social distance)의 측정변수로 가장 부적합한 것은?
40. 다음 중 측정수준이 다른 하나는?
41. 신뢰도와 타당도에 대한 설명으로 틀린 것은?
42. 표본추출과 관련된 용어 설명으로 틀린 것은?
43. 안정성계수(coefficient of stability)가 사용되는 검사 신뢰도는?
44. 모집단을 여러 가지 이질적인 구성요소를 포함하는 여러 개의 집단으로 구분한 다음, 이를 표집단위로 표집하는 방법은?
45. 두 변수간의 사실적인 관계를 약화시키거나 소멸시켜 버리는 검정변수는?
46. 표본추출법(sampling method)에 대한 설명과 가장 거리가 먼 것은?
47. 확률표집에 대한 설명으로 틀린 것은?
48. 판단표본추출에 대한 설명으로 틀린 것은?
49. 개념적 정의에 대한 설명으로 틀린 것은?
50. A후보와 B후보의 이미지 비교 프로파일을 보여주는 아래의 그림에서 사용된 척도는?
51. 총화평정척도에 대한 설명과 가장 거리가 먼 것은?
52. 신뢰도 평가와 관련되는 개념이 아닌 것은?
53. 표집 대상이 되는 소수의 응답자들을 찾아내어 면접하고, 이들을 정보원으로 다른 응답자를 소개 받는 절차를 반복하는 표집방법은?
54. 집략표집(Cluster Sampling)에 대한 설명으로 옳은 것은?
55. 다음 표본추출 방법 중 성격이 다른 하나는?
56. 다음은 어떤 척도에 대한 설명인가?
57. 다음에서 설명하고 있는 표본추출방법은?
58. 측정오차의 원인에 대한 설명과 가장 거리가 먼 것은?
59. 연구주제와 관련된 가능한 많은 진술들을 수집하여 평가자들로 하여금 판단토록 한 다음 그 결과를 바탕으로 문항을 선정하는 척도는?
60. 측정(measurement)에 대한 설명과 가장 거리가 먼 것은?
3과목: 사회통계
61. 다음과 같이 주어졌을 때 편차 제곱함은?
62. 어느 공장에서 생산되는 나사못의 10%가 불량품이라고 한다. 이 공장에서 만든 나사못 중 400개를 임의로 뽑았을 때 불량품 개수 X의 평균과 표준편차는?
63. 다음은 단순회귀분석에서의 분산분석결과이다. 결정계수를 구하면?
64. 어느 대학교 학생들의 흡연율을 조사하고자 한다. 실제 흡연율과 추정치의 차이가 5% 이내라고 90% 정도의 확신을 갖기 위해서는 표본의 크기를 최소 얼마 이상으로 하여야 하는가? (단 Z0.1=1.282, Z0.05=1.645, Z0.025=1.960)
65. 중회귀모형에서 결정계수에 대한 설명으로 옳은 것은?
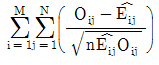
66. 통계적 가설검정에 대한 설명으로 옳지 않은 것은?
67. 확률변수 X는 평균이 μ이고 표준편차가 σ(≠0)인 정규분포를 따른다. 아래 설명 중 틀린 것은?
68. 행변수가 M개인 범주를 갖고 열변수가 N개의 범주를 갖는 분할표에서 행변수와 열변수가 서로 독립인지를 검정하고자 한다. (i, j) 셀의 관측도수를 Oij , 귀무가설 하에서의 기대도수의 추정치를
라 할 때 이 검정을 위한 검정통계량은?




69. A도시에서는 실업률이 5.5%라고 발표하였다. 관련민간단체에서는 실업률 5.5%가 너무 낮게 추정된 값이라고 여겨 이를 확인하고자 노동력 인구 중 520명을 임의로 추출하여 조사한 결과 39명이 무직임을 알게 되었다. 이를 확인하기 위한 검정을 수행할 때 검정통계량의 값은?
70. 5개의 동전을 던져서 앞면이 나타날 개수를 X라 할 때 X의 평균과 분산은?
71. 모평균의 신뢰구간에 대한 설명으로 틀린 것은?
이다.72. 통계학 과목의 기말고사 성적 평균(mean)이 40점, 중위값(median)이 38점이었다. 점수가 너무 낮아서 담당 교수는 12점의 기본점수를 더해 주었다. 새로 산정한 점수의 중위값은?
73. 처리별 반복수가 다른 일원배치법 실험에 의하여 얻어진 분산분석표가 다음과 같다. 이때 ㉣와 ㉤의 값을 순서대로 열거하면?
74. 일원분산분석 모형에서 오차항에 대한 가정에 해당되지 않는 것은?
75. 표준정규분표에서 오른쪽 꼬리부분의 면적 a가 되는 점을 za라 하고, 자유도가 v인 t분포에서 오른쪽 꼬리부분의 면적이 a가 되는 점을 t(v,a)라 하고, Z는 표준정규분포, r은 자유도가 v인 t분포를 따른다고 할 때 다음 설명 중 틀린 것은? (단, P > za=a , P(T > t(v,a)=a 이다.)
76. 어느 기업의 작년도 대졸 신입사원 임금의 평균이 200만원이라고 한다. 금년도 대졸 신입사원 중 100명을 조사하였더니 평균이 209만원이고 표준편차가 50만원이었다. 금년도 대졸 신입사원의 임금이 올랐는지를 유의수준 5%에서 검정한다면, 검정통계량의 값과 검정결과는? (단, P(|Z|>1.64)=0.10. P(|Z|>1.96=0.05, P(|Z|>2.58)=0.01이다.)
77. 4지 택일형 문제 10개가 있다. 각 문제에 임의로 답을 써 넣을 때 정답을 맞힌 개수 X의 분포는?
78. 평균이 μ이고, 표준편차가 σ인 모집단으로부터 크기가 n인 확률표본을 취할 때, 표본평균
의 분포에 대한 설명으로 옳은 것은?
79. 두 개의 정규모집단으로부터 추출한 독립인 확률표본에 기초하여 모분산에 대한 가설
을 검정하고자 한다. 검정방법으로 옳은 것은?
80. 분산분석에 대한 설명으로 옳은 것은?
81. 어느 회사는 4개의 철강공급업체로부터 철판을 공급받는다. 각 공급업체들이 납품하는 철판의 품질을 평가하기 위해 인장강도(kg/psi)를 각 3회씩 측정하여 다음의 중간결과를 얻었다. 4개의 공급업체들이 납품하는 철강의 품질에 차이가 없다는 가설을 검정하기 위한 F-비는? (단,
)
82. 확률변수 X의 확률분포가 평균의 μ이고 표준편차가 σ인 정규분포일 때 다음 설명 중 틀린 것은?
는 표준정규분포를 따른다.83. 검정력(power)에 대한 설명으로 옳은 것은?
84. 공정한 동전을 5회 던질 때, 앞면이 적어도 1회 이상 나타날 확률은?
85. 두 사건, A,B 에 대해 P(A)>0, P(B)>0, P(Bc)>0 일 때 다음 중 성립하지 않는 것은?
86. 다음 분산분석표에 대응하는 통계적 모형으로 적합한 것은?
87. 크기 n의 표본에 근거한 모수 θ 의 추정량을
이라 할 때 다음 설명으로 틀린 것은?
일 때
을 불편추정량이라 한다.
일 때
이
보다 유효하다고 한다.
일 때
을 편의 추정량이라 한다.
일 때
을 일치추정량이라 한다.88. 어느 학교에서 A반과 B반의 영어점수는 평균과 범위가 모두 동일하고 표준편차는 A반이 15점, B반이 5점이었다. 이 자료에 근거하여 내릴 수 있는 결론으로 옳은 것은?
89. 자동차부품을 생산하는 회사에서 품질을 관리하기 위하여 생산된 제품 가운데 100개를 추출하여 조사하였다. 그 중 불량품의 개수를 X라 할 때, X의 기댓값이 5이면 X의 분산은?
90. 서로 독립인 확률변수 X와 Y의 분산이 각각 2와 1일 때, X+5Y의 분산은?
91. (x, y)의 상관계수가 0.5일 때,(2x+3, -3y-4)와 (-3x+4, -2x-2)의 상관계수는?
92. 분산을 모르는 정규모집단으로부터의 확률표본에 기초하여 모평균에 대한 신뢰구간을 구하고자 한다. 표본크기가 충분히 크지 않을 때 신뢰구간을 구하기 위해 사용되는 분포는?
93. 모 상관계수가 μ인 이변량 정규분포를 따르는 두 변수에 대한 자료 (xi, yi)(i=1,2,∙∙∙, n) 에 대하여 표본상관계수
을 이용하여 귀무가설
을 검정하고자 한다. 이때 사용되는 검정통계량과 그 자유도는?




94. 두 명목범주형 변수 사이의 연관성을 보고자 할 때 가장 적합한 것은?
95. 크기가 10인 (x, y) 자료로부터 단순선형회귀분석을 수행한 결과
를 얻었다. a의 값은?
96. 다음과 같은 자료가 주어져 있다. 최소제곱법에 의한 회귀직선은?




97. 정규모집단 N(μ, 25)로부터 크기 25인 확률 표본에 근거하여 구한 평균이 110이었다. 모집단 평균의 95% 신뢰구간은? (단,
이다.)(오류 신고가 접수된 문제입니다. 반드시 정답과 해설을 확인하시기 바랍니다.)
98. 단순회귀분석에서 회귀직선의 추정식이
와 같이 주어졌을 때 다음 설명 중 틀린 것은?
99. 어느 포장기계를 이용하여 생산한 제품의 무게는 평균이 240g, 표준편차는 8g인 정규분포를 따른다고 한다. 이 기계에서 생산한 제품 25개의 평균무게가 242g 이하일 확률은? (단, Z는 표준정규분포를 따르는 확률변수이다.)




100. 대표값에 대한 설명으로 옳은 것은?