1과목: 과목구분없음
1. 그림은 인터넷으로 대화를 나누는 장면이다. (가), (나) 지역의 일사량 분포를 <보기>에서 고른 것은? (순서대로 가, 나)
2. 다음 글의 밑줄 친 (가)에 들어갈 기후 현상과 관련된 내용으로 적절하지 않은 것은?
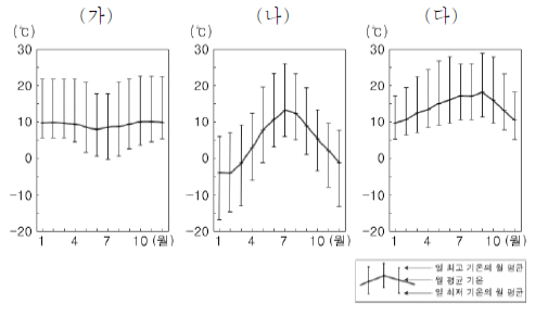
3. 그래프의 (가) ~ (다) 지역에 대한 설명으로 옳은 것은? [3점]
4. 표는 북아메리카 여러 지역의 기후 자료이다. (가) ~ (마) 지역에 대한 설명으로 옳은 것은? [3점]
5. 지도는 어느 인종이 각 국가에서 차지하는 비율을 나타낸 것이다. 이 인종에 대한 설명으로 옳은 것은? [3점]
6. 자료의 (가) 국가에 비해 (나) 국가에서 뚜렷이 나타나는 특징으로 옳은 것은
7. 다음 글의 밑줄 친 지형 형성 작용의 결과 나타나는 지형의 사례로 가장 적절한 것은?





8. 자료의 ㉠ ~ ㉢에 들어갈 내용으로 옳은 것은? (순서대로㉠, ㉡, ㉢) [3점]
9. 표는 주요 에너지 자원의 국가별 생산 비중을 나타낸 것이다. (가) ~ (다) 자원의 특징을 비교하여 바르게 표현한 것은? [3점]
10. 다음 (가) ~ (다) 국가의 이산화탄소 배출량을 그래프에서 고른 것은? (순서대로 가, 나, 다) [3점]
11. (가) ~ (마) 지역의 관광 홍보 내용으로 적절하지 않은 것은?
12. 그림은 어느 국가에 대한 지리 수업 장면이다. 발표 내용이 옳지 않은 학생은?
13. 자료는 세계 지리 서술형 시험 문제와 학생이 작성한 답안이다. 이 학생이 감점을 받은 항목은?
14. 자료는 동남 아시아 국가 연합의 무역에 관한 것이다. 이를 분석한 내용으로 옳지 않은 것은? [3점]
15. 자료의 밑줄 친 (가)에 들어갈 내용으로 옳은 것을 <보기>에서 고른 것은?
16. 다음 글의 ㉠ ~ ㉤에 관한 설명으로 옳지 않은 것은?
17. 다음 글의 밑줄 친 ‘이곳’에 해당하는 도시는? (단, 우리나라의 표준시는 135°E를 기준으로 함.) [3점]
18. 자료는 학생들이 제출한 지리 조사 계획이다. (가), (나) 모둠에서 조사하고자 하는 지역을 지도에서 고른 것은? (순서대로 가, 나)
19. 교사가 학생들에게 제시한 학습지의 일부이다. 밑줄 친 (가)에 들어갈 내용으로 옳은 것은? [3점]
20. 지도의 빗금 친 지역을 여행하면서 메모한 내용이다. 이 지역의 지형에 대한 옳은 설명을 <보기>에서 고른 것은? [3점]
따라서, 보기에서 (가) 지역과 (나) 지역이 모두 포함된 "A, C"가 정답이다.
그 외의 보기들은 (가) 지역과 (나) 지역 중 하나만을 선택한 경우이거나, (가) 지역과 (나) 지역의 순서가 바뀐 경우이므로 정답이 될 수 없다.