1과목: 과목구분없음
1. 다음 헌법 내용에 나타난 우리 헌법의 기본 원리로 옳은 것은?
2. 그림은 이혼의 유형 A, B를 나타낸 것이다. 이에 대한 설명으로 옳지 않은 것은?
3. 표는 두 정당의 공천 방식을 나타낸 것이다. A 당과 비교한 B 당 공천 방식의 특징을 <보기>에서 고른 것은? [3점]
4. 다음은 근대 사상가 갑, 을의 가상 대화이다. 이에 대한 설명으로 옳은 것은? [3점]
5. 표는 A국~ C국 정치 권력의 성격을 비교한 것이다. 이에 대한 옳은 분석을 <보기>에서 고른 것은?
6. 자료에 나타난 법률 관계에 대한 옳은 분석을 <보기>에서 고른 것은? [3점]
7. (가)에 들어갈 내용으로 가장 적절한 것은?
8. 위 갑국의 정치 상황에 대한 설명으로 옳은 것은? [3점](8번 공통지문 문제)
9. 다음 사례의 A에 해당하는 국가 기관으로 옳은 것은?
10. 우리나라 대통령의 권한 (가)~(마)에 대한 설명으로 옳지 않은 것은?
11. 다음 사례에 대한 옳은 법적 분석을 <보기>에서 고른 것은? [3점]
12. 다음 사례에 대한 옳은 법적 판단을 <보기>에서 고른 것은? [3점]
13. 다음은 어느 정치학자의 주장이다. 이와 관련한 옳은 진술을 <보기>에서 고른 것은? [3점]
14. 다음 사례에서 갑이 취할 수 있는 법적 구제 수단으로 옳은 것은?
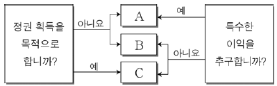
15. 그림은 정치 참여 집단을 세 가지 유형으로 분류한 것이다. A ~ C에 대한 설명으로 옳은 것은? (단, A ~ C는 각각 정당, 시민 단체, 이익 집단 중 하나이다.) [3점]
16. (가)∼(다)에 대한 옳은 설명을 <보기>에서 고른 것은? [3점]
17. A에 해당하는 법 원칙으로 가장 적절한 것은?
18. 밑줄 친 ㉠~㉢에 대한 옳은 설명을 <보기>에서 고른 것은?
19. 그림에서 법원이 내린 판결의 근거가 될 수 있는 것은? [3점]