1과목: 과목구분없음
1. 그림과 같이 평원에서 사슴과 토끼가 점 P에서 동시에 출발하여 다른 경로를 따라 운동한 후, 점 Q에 동시에 도착한다. 
P에서 Q까지 사슴과 토끼의 운동에 대한 물리량 중 서로 같은 것만을 <보기>에서 있는 대로 고른 것은? (단, 사슴과 토끼의 크기는 무시한다.)
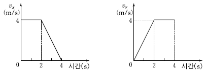
2. 그림은 xy 평면에서 운동하는 물체의 속도의 x성분 vx와 y 성분 vy를 시간에 따라 나타낸 것이다. 
이 물체의 운동에 대한 설명으로 옳은 것만을 <보기>에서 있는 대로 고른 것은? [3점]
3. 그림은 인공위성이 반지름 2r 인 궤도 A 를 따라 지구 주위를 등속 원운동 하다가 궤도를 수정한 후, 반지름 r인 궤도 B를 따라 등속 원운동하는 것을 나타낸 것이다. 
이 인공위성의 운동에 대한 설명으로 옳은 것만을 <보기>에서 있는 대로 고른 것은? (단, A 와 B 에서 인공위성의 질량은 같다.)
4. 그림 (가)와 같이 마찰이 없는 빗면에서 한쪽 끝이 고정된 용수철에 매달려 있는 물체를 평형 위치에서 A만큼 압축시켰다. 그림 (나)는 이 물체를 가만히 놓은 순간부터 물체의 가속도를 시간에 따라 나타낸 것이다. 
이 물체의 변위와 속도를 시간에 따라 개략적으로 나타낸 그래프로 가장 적절한 것을 <보기>에서 고른 것은? (순서대로 변위, 속도) [3점]
5. 충돌 전과 후 A에 작용하는 구심력의 크기를 각각 F전과 F후라 할 때, F전 : F후는? (5번 공통지문 문제)
6. 일정한 속도로 운동하던 대전 입자가 균일한 자기장이 있는 영역에 자기장에 수직인 방향으로 입사한다. 균일한 자기장 영역에서 이 입자의 운동에 대한 설명으로 옳은 것만을 <보기>에서 있는 대로 고른 것은? (단, 전자기파 발생은 무시하고, 자기장의 세기는 일정하다.)
7. 그림과 같이 피스톤에 의하여 실린더가 두 부분 A 와 B 로 나뉘어져 있다. A에는 분자의 질량이 m인 이상기체가 1몰 , B에는 분자의 질량이 2m 인 이상 기체가 1몰 들어 있다. A와 B에서 압력, 온도, 부피는 각각 P0, T0, V0으로 같다. 피스톤과 실린더를 통한 열의 출입은 없다. A 의 기체를 가열하였더니 A의 부피가 3/2 V0 이 되었다. 
A의 부피가 3/2 V0 으로 유지될 때, 이에 대한 설명으로 옳은 것만을 <보기>에서 있는 대로 고른 것은? (단, 피스톤과 실린더 사이의 마찰은 무시한다.)
8. 그림은 방사성 원소 A 가 B를 거쳐 C로 붕괴되는 과정을 나타낸 것이다. 
이에 대한 설명으로 옳은 것만을 <보기>에서 있는 대로 고른 것은?
9. 그림은 일정량의 이상 기체의 상태가 순환 과정 A→B→C→D→A를 따라 변화할 때 압력과 부피의 관계를 나타낸 것이다. A→B 과정과 B→C 과정에서 기체는 외부로부터 각각 Q1 과 Q2 의 열을 흡수한다. 
이 기체에 대한 설명으로 옳은 것만을 <보기>에서 있는 대로 고른 것은? [3점]
10. 그림 (가)는 세기가 E1인 균일한 전기장에서 질량 m, 전하량 q인 물체가 길이 l 인 실에 매달려 정지해 있는 것을 나타낸 것이다. 이때 전기장의 방향은 중력에 수직인 방향이고, 최저점에서 물체까지의 수직 거리는 l/5이다. 그림 (나)는 (가)에서 전기장의 세기만 E2 로 바꾸었을 때, 최저점에서부터 수직 거리가 2/5 l인 위치에 물체가 정지해 있는 것을 나타낸 것이다. 
는? (단, 물체의 크기는 무시한다.)
11. 다음은 미지 저항의 저항값을 측정하는 실험이다. 
이에 대한 설명으로 옳은 것만을 <보기>에서 있는 대로 고른 것은? [3점]
12. 그림과 같이 전기 용량이 C인 축전기, 저항값이 R인 저항 3 개, 전압이 V 로 일정한 전원 장치를 이용하여 회로를 구성하였다. 축전기는 완전히 충전되었다. 
이에 대한 설명으로 옳은 것만을 <보기>에서 있는 대로 고른 것은? [3점]
13. 그림은 진행하는 전자기파의 모식적인 그림을 보고 철수, 영희, 민수가 대화하는 모습을 나타낸 것이다. 
옳게 말한 사람만을 있는 대로 고른 것은?
14. 다음은 원자 모형에 대해 설명한 글이다. 
(가), (나)에 들어갈 물리학자로 가장 적절한 것은? (순서대로 가, 나)
15. 그림은 질량이 m인 대전된 기름 방울 A의 전하량을 측정하기 위하여 간격이 d 인 평행한 두 도체판에 전원을 연결한 것을 나타낸 것이다. 전원의 전압이 V1일 때 A는 정지해 있고, 전압이 V2일 때 A는 연직 위 방향으로 운동하며 속력이 증가한다. 
이에 대한 설명으로 옳은 것만을 <보기>에서 있는 대로 고른 것은? (단, 중력 가속도는 g 이다.)
16. 그림과 같이 등속 직선 운동 하던 수소 동위 원소의 원자핵 A, B가 균일한 전기장 영역에 동일한 속도로 각각 입사하여 포물선 궤도를 따라 운동하였다. 
이에 대한 설명으로 옳은 것만을 <보기>에서 있는 대로 고른 것은? (단, 전자기파의 발생은 무시한다.) [3점]
17. 다음은 보어의 수소 원자 모형에 대한 내용이다. 
(가)와 (나)에 들어갈 것으로 가장 적절한 것은? (순서대로 가, 나) [3점]
18. 그림과 같이 저항값이 R 인 저항, 자체 유도 계수가 각각 2L, L/2인 두 코일, 전기 용량이 각각 C/2, 2C인 두 축전기 A와 B, 스위치, 교류 전원을 이용하여 회로를 구성하였다. 교류 전원의 진동수는
이고 전압의 실효값은 V 이다. 
이에 대한 설명으로 옳은 것만을 <보기>에서 있는 대로 고른 것은? [3점]
19. 그림과 같이 수평인 지면 위의 점 P에서 물체 A가 지면과 45°의 각을 이루며 12m/s의 속력으로 던져진 순간, 물체 B는 수평면 위의 점 Q를 통과하며 등속 직선 운동한다. A와 B는 점 R에서 충돌한다. P와 Q 사이의 수평 거리는 16m이고, 지면으로부터 수평면까지의 높이는 2m이다. 
충돌 전 B의 속력은? (단, 중력 가속도는 10m/s2이고, P, Q, R는 동일한 연직면 상의 점이며, 물체의 크기와 공기 저항은 무시한다.) [3점]
ㄱ. 사슴과 토끼의 이동 거리는 같다.
- 사슴과 토끼가 동시에 출발하여 동시에 도착했으므로, 이동 거리는 같다.
ㄴ. 사슴과 토끼의 평균 속도는 같다.
- 평균 속도는 이동 거리를 이동 시간으로 나눈 값이므로, 이동 거리가 같고 출발과 도착 시간이 같으므로 평균 속도는 같다.
따라서, "ㄱ, ㄴ"이 정답이다.