1과목: 과목구분없음
1. 그림 (가)는 소금쟁이가 떠 있는 물에 비눗물을 떨어뜨렸을 때 가라앉는 모습을, (나)는 물 분자의 배열을 모형으로 나타낸 것이다. 
이에 대한 설명으로 옳은 것만을 <보기>에서 있는 대로 고른 것은?
2. 다음은 어느 지역에서 사용되고 있는 하수 처리 과정에 관한 자료이다. 
이에 대한 설명으로 옳은 것만을 <보기>에서 있는 대로 고른 것은?
3. 다음은 묽은 염산(HCl)을 이용하여 발생된 기체를 알아보기 위한 실험이다. 
이에 대한 설명으로 옳은 것만을 <보기>에서 있는 대로 고른 것은? [3점]
4. 다음은 일정한 온도에서 기체의 성질을 알아보기 위한 실험 과정이다. 
이에 대한 설명으로 옳은 것만을 <보기>에서 있는 대로 고른 것은? (단, 실험에서 온도 변화는 없고, 연결관의 부피는 무시하며, 대기압은 76cmHg이다.) [3점]
5. 다음은 주기율표의 일부이며, A ~ E는 임의의 원소 기호를 나타낸 것이다. 
이에 대한 설명으로 옳은 것만을 <보기>에서 있는 대로 고른 것은?
6. 일정량의 기체 X에 대해 서로 다른 절대 온도(T1, T2), 압력(P1, P2), 부피(V1, V2)와의 관계를 그래프 (가), (나)로 나타낸 것이다. 
이에 대한 설명으로 옳은 것만을 <보기>에서 있는 대로 고른 것은? [3점]
7. 그림 (가)는 Na의 결정 모형을, (나)는 충분한 양의 물에 소량의 Na 조각을 넣어 반응시킨 수용액 속의 입자 모형을 나타낸 것이다. 
(가)와 (나)에 대한 공통점으로 옳은 것만을 <보기>에서 있는 대로 고른 것은?
8. 그림은 분자식이 C3H6O2인 화합물의 화학 반응을 나타낸 것이다. 
화합물 A ~ C에 대한 설명으로 옳은 것만을 <보기>에서 있는 대로 고른 것은? [3점]
9. 표는 세 가지 금속의 녹는점과 용도를 나타낸 것이다. (단, 금속은 수은, 납, 크롬 중의 하나이다.) 
금속 A ~ C에 대한 설명으로 옳은 것만을 <보기>에서 있는 대로 고른 것은?
10. 다음은 임의의 금속 A ~ C의 반응성을 알아보기 위한 실험이다. 
이에 대한 설명으로 옳은 것만을 <보기>에서 있는 대로 고른 것은? [3점]
11. 그림에서 (가)와 (나)는 질소 산화물에 의해 발생된 오염 현상을, (다)는 촉매 변환기의 모습을 나타낸 것이다. 
이에 대한 설명으로 옳은 것만을 <보기>에서 있는 대로 고른 것은?
12. 다음은 어떤 운동복에 부착된 라벨의 일부와 라벨에 표시된 섬유의 구조식을 나타낸 것이다. 
이에 대한 설명으로 옳은 것만을 <보기>에서 있는 대로 고른 것은? [3점]
13. 표는 탄소수가 3개인 탄화수소에 대한 자료를 나타낸 것이다. 
이에 대한 설명으로 옳은 것만을 <보기>에서 있는 대로 고른 것은? [3점]
14. 다음은 철의 부식을 방지하기 위해 만든 세 가지 물질을 구분하기 위한 과정이다. 
A ~ C에 대한 설명으로 옳은 것만을 <보기>에서 있는 대로 고른 것은?
15. 그림은 살리실산(C6H4(OH)(COOH))과 관련된 여러 가지 반응을 나타낸 것이다. 
이에 대한 설명으로 옳은 것만을 <보기>에서 있는 대로 고른 것은? [3점]
16. 다음은 몇 가지 세제의 구조식을 나타낸 것이다. 
이에 대한 설명으로 옳은 것만을 <보기>에서 있는 대로 고른 것은?
17. 그림 (가)~(다)는 같은 농도의 묽은 황산(H2SO4) 10mL에 A, B, C 수용액 10mL를 각각 넣어 반응시켰을 때의 혼합 용액을 입자 모형으로 나타낸 것이다. 
이에 대한 설명으로 옳은 것만을 <보기>에서 있는 대로 고른 것은? (단, A와 C 수용액의 양이온은 모두 2가이다.) [3점]
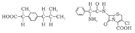
18. 그림은 두 가지 의약품의 구조식을 나타낸 것이다. 
두 의약품의 공통적인 성질로 옳은 것만을 <보기>에서 있는 대로 고른 것은?
19. 다음은 세 가지 고분자 화합물의 구조식을 나타낸 것이다. 
이에 대한 설명으로 옳은 것만을 <보기>에서 있는 대로 고른 것은?
20. 그래프는 탄산나트륨(Na2CO4) 수용액 10mL와 질산은(AgNO3)수용액 10mL가 각각 담긴 두 개의 비커에 염화칼슘(CaCl2)수용액을 조금씩 가할 때, 각각의 혼합 용액에 녹아 있는 양이온수를 상대적으로 나타낸 것이다. 
이에 대한 설명으로 옳은 것만을 <보기>에서 있는 대로 고른 것은? [3점]