1과목: 과목구분없음
1. 다음은 공기의 성분 기체 A~D에 관한 설명이다. A~D는 각각 질소, 산소, 이산화탄소, 아르곤 중 하나이다. 
A~D에 대한 설명으로 옳은 것만을 <보기>에서 있는 대로 고른 것은?
2. 다음은 물과 액체 A의 성질을 알아보기 위한 3 가지 실험이다. 
이에 대한 설명으로 옳은 것만을 <보기>에서 있는 대로 고른 것은?
3. 그림은 금속 A~C의 3 가지 성질을 나타낸 것이다. A~C는 각각 철, 구리, 알루미늄 중 하나이다. 
이에 대한 설명으로 옳은 것만을 <보기>에서 있는 대로 고른 것은?
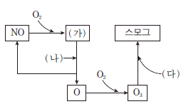
4. 그림은 광화학 스모그 생성과 관련된 화학 반응을 모식적으로 나타낸 것이다. 
(가)~(다)에 해당하는 것으로 가장 적절한 것은? (순서대로 가, 나, 다)
5. 다음은 화합물 A의 성질을 알아보기 위한 실험이다. 
A로 사용될 수 있는 화합물만을 <보기>에서 있는 대로 고른 것은?
6. 다음은 금속 나트륨(Na)의 보관 방법에 대한 설명이다. 
이 자료에 제시된 방법을 이용하여 금속 Na을 보관하는 이유로 가장 적절한 것은?
7. 그림은 공기의 성분 기체 A와 B를 발생시키는 실험을 나타낸 것이다. 
이에 대한 설명으로 옳은 것만을 <보기>에서 있는 대로 고른 것은? [3점]
8. 다음은 물의 성질을 알아보기 위한 실험이다. 
이 실험에 나타난 물의 성질로 설명할 수 있는 것만을 <보기>에서 있는 대로 고른 것은?
9. 그림은 칼슘 이온(Ca2+)이 포함된 센물을 3 가지 방법을 사용하여 단물로 바꾼 것을 나타낸 것이다. 
이에 대한 설명으로 옳은 것만을 <보기>에서 있는 대로 고른 것은?
10. 그림 (가)는 철(Fe)의 부식 과정을 모식적으로 나타낸 것이며, (나)는 금속 M으로 도금한 철의 표면에 생긴 흠집에 물방울이 맺힌 모습을 나타낸 것이다. 
이에 대한 설명으로 옳은 것만을 <보기>에서 있는 대로 고른 것은? [3점]
11. 그림은 4 가지 고분자 화합물의 구조식이다. 
이에 대한 설명으로 옳은 것만을 <보기>에서 있는 대로 고른 것은? [3점]
12. 그림은 헥산(C6H14), 시클로헥산(C6H12), 시클로헥센(C6H10), 벤젠(C6H6)을 주어진 기준에 따라 분류한 것이다. 
(가)~(라)에 대한 설명으로 옳은 것만을 <보기>에서 있는 대로 고른 것은?
13. 둥근 바닥 플라스크에 에탄올 20mL를 넣고 그림과 같이 장치 한 후, 160~180℃로 가열하면서 발생하는 기체 A를 수상 치환으로 모았다. 기체 A는 브롬수 탈색 반응을 한다. 
기체 A에 대한 설명으로 옳은 것은? [3점]
14. 그림은 대표적 해열 진통제인 아스피린, 아세트아미노펜, 이부프로펜의 구조식이다. 
이에 대한 설명으로 옳은 것만을 <보기>에서 있는 대로 고른 것은? [3점]
15. 다음은 수용액 속에 포함된 양이온(A+, B+, C+, D2+)과 음이온 (E-, F-, G2-)의 앙금 생성에 관한 실험이다. 
이에 대한 설명으로 옳은 것만을 <보기>에서 있는 대로 고른 것은? (단, A~G 이온은 각각 Ag+, Na+, K+, Ca2+,
, Cl-,
중 하나이다.) [3점]
16. 그림 (가)는 금속 A 막대를 금속 B이온 수용액에, (나)는 금속 B 막대를 금속 C이온 수용액에 담근 것을 나타낸 것이다. 그림 (다)와 (라)는 용액의 전체 이온 수와 금속 A 막대의 질량을 시간에 따라 각각 나타낸 것이다. 
이에 대한 설명으로 옳은 것만을 <보기>에서 있는 대로 고른 것은? (단, 용액의 음이온 수는 일정하다.) [3점]
17. 그림은 1 기압에서 기체 X와 Y의 질량에 따른 부피를 나타낸 것이다. 기체 X와 Y의 온도는 각각 450K와 300K이다. 
1 기압에서 기체 X의 온도를 변화시킬 때, 기체 X와 Y에 대한 설명으로 옳은 것만을 <보기>에서 있는 대로 고른 것은?
18. 다음은 할로겐의 반응성을 알아보는 실험이다. X~Z는 각각 Cl, Br, I 중 하나이다. 
이에 대한 설명으로 옳은 것만을 <보기>에서 있는 대로 고른 것은? [3점]
19. 다음은 일정한 온도에서 기체 X와 Y의 성질을 알아보기 위한 실험이다. 
이에 대한 설명으로 옳은 것만을 <보기>에서 있는 대로 고른 것은? (단, 연결관의 부피와 피스톤의 질량 및 마찰은 무시한다.) [3점]
20. 염기 XOH 수용액과 Y(OH)2 수용액을 섞은 용액 20mL를 산 H2A 수용액 20mL에 첨가하여 혼합 용액을 만들었다. 그림은 사용한 두 염기 수용액의 부피에 따른 혼합 용액의 전체 양이온 수를 나타낸 것이다. 단위 부피당 양이온 수는 H2A(aq)와 XOH(aq)가 같다. 
이에 대한 설명으로 옳은 것만을 <보기>에서 있는 대로 고른 것은? (단, 사용한 산과 염기는 완전히 이온화한다.) [3점]