1과목: 임의 구분
1. 다음 중 Al합금의 질별기호에서 T6란 어떠한 열처리인가?
2. 탄소의 함량이 0.42∼0.48%인 SM45C 재질의 담금질(quenching) 온도로 가장 적당한 것은?
3. 로 내 분위기 가스 중 환원성 가스로 옳은 것은?
4. 다음 소결한 복합합금 중 초경합금이 아닌 것은?
5. 다음 중 Ni 합금이 아닌 것은?
6. 자분탐상시험에 대한 설명 중 옳은 것은?
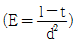
7. 방사선투과검사시 노출인자를 구하는 식으로 옳은 것은? (단, I: 관전류[mA] 또는 선원의 강도[Bq], t: 노출 시간[s], d: 선원 필름사이의 거리[m])




8. 초음파탐상시험에서 사용되는 탐촉자 중 위상 배열탐촉자에 대한 설명으로 옳은 것은?
9. 용접 내부의 블로우홀(blow hole)을 검출하는데 있어서 가장 적합한 비파괴시험법은?
10. 고주파 열처리 작업 중 조업안전에 대한 설명으로 틀린 것은?
11. 염욕 열처리작업시 주의해야 할 사항으로 틀린 것은?
12. 비파괴시험의 안전관리 사항으로 틀린 것은?
13. 고속도 공구강의 담금질 온도의 범위로 가장 옳은 것은?
14. 저탄소강을 침탄하여 침탄층의 경도를 측정하고자 할 때 사용하는 가장 적합한 경도계는?
15. 오스테나이트 상태에서 Ar‘와 Ar'' 사이에 유지된 염욕에 담금질하여 과냉 오스테나이트가 염욕 중에서 항온변태가 종료할 때 까지 항온유지시키고, 공기 중으로 냉각하는 열처리 방법은?
16. 침투탐상검사에 사용되는 현상제가 갖추어야 할 특성으로 틀린 것은?
17. 약 0.77% 탄소강을 일정온도에서 오스테나이트화 한 후 약 300℃의 염욕에서 담금질 하여 15분 유지한 다음 수냉하였을 때 나타나는 조직으로 옳은 것은?
18. 재료의 결함검사 중 데시벨(dB)이 사용되는 비파괴시험으로 옳은 것은?
19. 순철에서 나타나는 동소체와 그에 따른 결정격자를 올바르게 나타낸 것은?
20. 다음의 실용황동 중 문쯔 메탈(Muntz metal)의 조성으로 옳은 것은?
2과목: 임의 구분
21. 침투탐상검사법의 특징으로 틀린 것은?
22. 실루민(Silumin)의 개량처리에 사용되는 것이 아닌 것은?
23. 주철의 ASTM 기준 형태에서 미세한 공정상 흑연이 나타나는 형태로 냉각속도가 아주 빠르고 규소가 많이 함유된 것은?
24. 강을 분류할 때 공석강의 탄소함량은 약 몇 %인가?
25. 강 중에 포함되어 쾌삭성을 높이기 위한 첨가 원소가 아닌 것은?
26. 현미경 배율 100배에서 강의 페라이트 결정립의 수를 측정한 결과 1평방인치(25.4mm)2 중에 256개 였을 때 페라이트 결정입도 번호는?
27. 다음 중 질화법에 대한 설명으로 틀린 것은?
28. 고속도 공구강의 대표적인 18-4-1 형의 조성으로 옳은 것은?
29. 직경 25mm의 봉재를 A3+30℃까지 가열한 후 수냉을 실시할 때 냉각의 3단계 순서로 옳은 것은?
30. 알루미늄 및 알루미늄 합금의 현미경 조직 검사용 부식액으로 옳은 것은?
31. 다음 중 금속계 복합재료가 아닌 것은?
32. 같은 크기의 결함이 존재할 경우, 초음파탐상시험에 의하여 찾아내기 가장 쉬운 결함은?
33. 공학적 설계를 지원하기 위한 컴퓨터 지원 설계(CAD)시스템을 사용하는 중요한 이유가 아닌 것은?
34. 되먹임 제어에서 서보기구의 구성방식 중 높은 정밀도를 얻을 수 있으며, 출력의 일부를 입력 방향으로 피드백(feed back)을 행하는 방식은?
35. 다음 중 CNC 머시닝센터의 특징으로 틀린 것은?
36. 다음 용적형펌프 중 회전펌프가 아닌 것은?
37. 다음 중 내력을 구하는 방법이 아닌 것은?
38. 다음 중 순철의 A3 변태에 대한 설명으로 옳은 것은?
39. 다음 중 두랄루민에 대한 설명으로 가장 관계가 먼 것은?
40. 그림은 고주파담금질에서 주파수에 따른 기어의 경화층 변화를 나타낸 것이다. 다음 중 적당한 주파수의 경우를 나타낸 것은?(오류 신고가 접수된 문제입니다. 반드시 정답과 해설을 확인하시기 바랍니다.)




3과목: 임의 구분
41. 다음 중 강의 담금질성을 시험하는 방법은?
42. 황이 강의 외주로부터 중심부로 향하여 증가하여 분포되고 외주부보다 중심부의 방향에 짙은 농도로 착색되는 편석은?
43. 다음 중 확산이 빠른 것부터 나열된 것은?
44. 응력을 완전히 제거하였을 때 재료에 영구변형을 남기지 않는 최대 응력은?
45. 안전업무분담 중 경영자의 의무가 아닌 것은?
46. 다음 중 베인 펌프에 대한 설명으로 옳은 것은?
47. 다음 중 강의 담금질성을 증가시키는 원소로 옳은 것은?
48. 침투탐상시험에서 후유화제법의 유화제 적용시점은 언제인가?
49. 비틀림 모멘트를 측정하는 방법이 아닌 것은?
50. 인장시험에서 응력과 변형율이 서로 비례한다는 것은 어떤 법칙인가?
51. 서브제로(Sub Zero) 처리에 대한 설명으로 틀린 것은?
52. 해수용 복수기용관, 유정관재료, 각종화학공업용 장치로 사용되는 2 상계 스테인리스강에 대한 설명으로 틀린 것은?
53. 다음 중 X-선 회절법으로 알수 없는 것은?
54. 다음 중 C-Si의 함량에 따른 주철의 조직분포도를 나타내는 것은?
55. 이항분포(Binomial distribution)의 특징으로 가장 옳은 것은?
56. 연간 소요량 4000개인 어떤 부품의 발주비용은 매회 200원 이며, 부품단가는 100원, 연간 재고유지비율이 10%일 때 F. W. Harris 식에 의한 경제적 주문량은 얼마인가?
57. 제품공정 분석표(Product Process Chart) 작성시 가공시간 기입법으로 가장 올바른 것은?




58. 다음 중 검사를 판정의 대상에 의한 분류가 아닌 것은?
59. “무결점 운동”이라고 불리우는 것으로 품질개선을 위한 동기부여 프로그램은 어느 것인가?
60. M 타입의 자동차 또는 LCD TV를 조립, 완성한 후 부적합수(결점수)를 점검한 데이터에는 어떤 관리도를 사용하는가?
관리도