1과목: 과목 구분 없음
1. 다음 중 수용액에서 산의 세기가 가장 약한 화합물은?
2. 다음 석유 제품 중 구성 성분의 평균 탄소 수가 가장 많은 것은?
3. DNA와 RNA에 대한 설명으로 옳지 않은 것은?
4. 섬유 식물 또는 목재를 기계적, 화학적으로 처리하여 얻은 셀룰로오스(cellulose) 섬유의 집합체는?
5. 원유의 상압 증류(distillation) 공정에 대한 설명으로 옳지 않은 것은?
6. 미국석유협회(American Petroleum Institute)가 제정한 API도에 따른 원유 분류법에 대한 설명으로 옳지 않은 것은?
7. 원자가 껍질 전자쌍 반발(VSEPR) 이론에 근거할 때, 분자의 성질에 대한 설명으로 옳은 것은?
8. 다음에서 설명하는 고분자는?
9. 다음 중 포화 지방산은?
10. 탄소, 수소, 산소 원소로만 구성된 고분자만을 나열한 것은?
11. 다음 중 고분자의 구조와 명칭을 바르게 연결한 것은?
12. 다음 (가), (나)에 들어갈 용어를 바르게 연결한 것은?
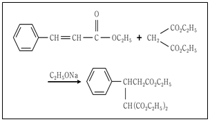
13. 다음 반응의 명칭은?
14. 다음 반응의 주 생성물은?




15. 암모니아 소다법(Solvay process)의 반응물 또는 생성물이 아닌 것은?
16. 수소 제조법으로 옳지 않은 것은?
17. 천연가스의 수증기 개질 반응으로 생성된 혼합물에서 이산화탄소를 포집ㆍ저장하고 얻은 수소는?
18. 25°C 수용액에서 다음의 표준환원전위(E°red)를 갖는 전극 A, B로 구성된 전지의 기전력[V]은? (단, SHE는 표준수소전극의 전위이다)
19. 계면활성제에 대한 설명으로 옳지 않은 것은?
20. 다음 주기율표를 참고하여 p형 반도체만을 모두 고르면?