1과목: 과목 구분 없음
1. 축과 구멍의 끼워맞춤에 대한 설명으로 옳지 않은 것은?
2. 미터나사에 대한 설명으로 옳지 않은 것은?
3. 시간에 따라 크기가 변하는 동하중에 해당하는 것만을 모두 고르면?
4. 지름이 d, 길이가 l인 중실축과 동일한 비틀림각을 나타내는 지름이 2d인 중실축의 길이는? (단, 두 축에는 동일한 비틀림 모멘트가 작용하고, 재료는 동일하다)




5. 두 축의 중심선이 일직선상에 있지 않은 경우에 사용할 수 있는 커플링만을 모두 고르면?
6. 사각나사를 조일 때, 유효지름의 원주에서 접선방향으로 가해지는 회전력(P)이 축방향 하중(Q)을 받는 너트를 밀어 올리는 것으로 해석할 경우, P는? (단, 접촉면의 마찰계수는 μ, 리드각(나선각)은 α이다)




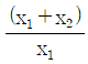
7. 그림과 같이 단면이 비대칭인 앵글(angle)의 측면필릿 용접이음에서, 앵글의 도심(G)으로부터 편위되어 부재에 인장하중(P)이 작용할 때 용접길이비(l1/l2)는? (단, 용접부 목두께는 같고, x1, x2에 비해 충분히 작다)




8. 잇수가 z인 헬리컬 기어의 축직각 모듈을 m1, 치직각 모듈을 m2라고 할 때, 상당 스퍼기어 잇수는?




9. 한쪽 덮개판 한줄 맞대기 이음과 양쪽 덮개판 두줄 맞대기 이음에서, 리벳 1피치당 허용 인장하중을 각각 W1, W2라고 할 때, 하중비(W2/W1)는? (단, 리벳의 전단만을 고려한다)
10. 마찰면의 수가 6개인 다판 브레이크에서 원판 마찰면의 평균 지름이 100mm일 때, 제동 토크 75Nㆍm를 발생시키는 축방향으로 미는 힘[N]은? (단, 마찰면은 균일마모조건이고, 마찰계수는 0.25이다)
11. 그림과 같이 90kN의 하중 P를 받는 피벗(pivot) 베어링의 안지름 d1이 100mm일 때, 베어링의 바깥지름 d2[mm]는? (단, 평균 베어링 압력은 4MPa, π=3이다)
12. 회전 중인 엔진의 출력은 30PS이고 토크는 50kgfㆍm일 때, 엔진 회전수[rpm]는? (단, π=3이다)
13. 고정용 치공구 중 클램프(clamp)의 설계 조건으로 옳지 않은 것은?
14. 원통 코일 스프링에 작용하는 하중 1,750N에 의한 스프링 소선의 최대 전단응력이 800N/mm2일 때, 소선의 지름[mm]은? (단, 스프링 지수는 7, Wahl의 응력수정계수는 1.2, π=3이다)
15. 원추각이 15°, 원추 접촉면의 평균지름이 200mm인 원추 클러치에 축방향 힘 440N이 작용할 때, 원추 클러치의 최대 전달토크[Nㆍm]는? (단, 접촉면은 균일마모조건이고, 마찰계수는 0.2이며, sin15°=0.25, cos15°=0.95이다)
16. 일정한 내부 압력 p를 받는 얇은 벽의 원통형 압력용기에서, 원주방향 응력(hoop stress) σ1, 길이방향 응력(axial stress) σ2, 원통용기 바깥 표면에서 최대 면내(in-plane) 전단응력 τ로 옳은 것은? (단, 압력용기 안쪽 반지름은 r, 벽 두께는 t이다)
17. 현가장치로 이용되는 토션 바 스프링에서 비틀림 스프링 상수[Nㆍm/rad]를 구하는 식은? (단, 토션 바의 길이 L[mm], 봉의 지름 d[mm], 봉과 하중 사이 거리 R[mm], 가로 탄성계수는 G[GPa]이다)




18. 엔드 저널 베어링에서 저널의 지름이 30mm, 저널면에 작용하는 평균압력이 3MPa, 허용굽힘응력이 64MPa일 때, 베어링 폭[mm]은? (단, 저널을 외팔보 구조로 가정하여 베어링의 폭 길이에 걸쳐 균일 분포하중이 작용하는 것으로 설계하고, π=3이다)
19. 잇수가 30개인 스프로킷 휠이 500rpm으로 회전할 때, 피치가 20mm인 롤러 체인의 평균속도[m/s]는?
20. 온도변화에 따른 관의 신축을 허용하는 관이음에 해당하지 않는 것은?