1과목: 과목 구분 없음
1. 안테나 이득의 단위로 사용할 수 있는 것은?
2. 무선 근거리 통신망(WLAN, wireless local area network) 기술을 규정하고 있는 국제 표준은?
3. 자유공간에서 전파되는 주파수가 100[Hz]인 전자파 A와 1,000[Hz]인 전자파 B에 대한 설명으로 옳은 것은?
4. 그림 (가)와 같은 아날로그 신호를 펄스 변조한 신호가 그림 (나)와 같을 때, 사용한 변조 방식은?
5. 전송선로와 안테나 사이의 반사계수가 0.5일 때, 전압정재파비(VSWR, voltage standing wave ratio)는?
6. 디지털 변조 방식에 대한 설명으로 옳지 않은 것은?
7. 반송파 억압 양측파대(DSB-SC, double sideband-suppressed carrier) 방식으로 변조된 신호 m(t)cos(2πfct)를 복조하여 메시지 신호 m(t)를 얻었을 때, 복조 과정에서 사용된 반송파는? (단, m(t)의 주파수는 fc보다 매우 작고, 복조 시 통과대역의 이득이 1인 이상적인 저역통과필터를 사용한다)




8. 다음 메시지 신호 m(t)를 변조할 때, 신호 파형 (가)~(다)와 신호 명칭 A~C를 바르게 연결한 것은?
9. 펄스부호변조(PCM, pulse code modulation)의 입출력 신호와 과정을 순서대로 바르게 나열한 것은?
10. 안테나에 대한 설명으로 옳지 않은 것은?
11. 다음 주파수 값 중 가장 큰 것은?
12. 20[dB] 증폭된 신호전력이 2.4[W]일 때, 증폭되기 전의 신호전력 [mW]은?
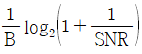
13. 대역폭이 B[Hz]인 AWGN 채널을 통해 수신된 신호의 신호대 잡음비를 이라고 할 때, 이 전송 채널을 통해 오류 없이 수신될 수 있는 섀넌(Shannon)의 최대 채널 용량[bps]은?




14. OFDM(orthogonal frequency division multiplexing)에 대한 설명으로 옳지 않은 것은?
15. 다음 설명에 해당하는 소규모 페이딩은?
16. 정지궤도 위성에 대한 설명으로 옳지 않은 것은?
17. 자유공간에서 이상적인 두 개의 등방성 안테나 사이의 거리가 1.25[km]이고 전파의 주파수가 1[GHz]일 때, 경로손실[dB]은? (단, π=3.0, log5=0.7, 전파의 속도는 3×108[m/s]이다)
18. 위성통신 시스템의 주파수 대역에 대한 설명으로 옳은 것은?
19. 레이더에서 발사된 펄스가 발사 직후부터 목표물에 반사되어 돌아오기까지 300[μs]의 시간이 걸렸을 때, 레이더에서 목표물까지의 거리 [km]는? (단, 전파의 속도는 3×108[m/s]이다)
20. GPS(global positioning system)에 대한 설명으로 옳지 않은 것은?