1과목: 에너지관리
1. 다음 온열환경지표 중 복사의 영향을 고려하지 않는 것은?
2. 주간 피크(peak)전력을 줄이기 위한 냉방시스템 방식으로 가장 거리가 먼 것은?
3. 실내 공기 상태에 대한 설명으로 옳은 것은?
4. 열교환기에서 냉수코일 입구 측의 공기와 물의 온도차가 16℃, 냉수코일 출구 측의 공기와 물이 온도차가 6℃이면 대수평균온도차(℃)는 얼마인가?
5. 습공기를 단열 가습하는 경우 열수분비(u)는 얼마인가?
6. 습공기선도(t-x선도)상에서 알 수 없는 것은?
7. 다음 중 풍량조절 댐퍼의 설치위치로 가장 적절하지 않은 곳은?
8. 수냉식 응축기에서 냉각수 입·출구 온도차가 5℃, 냉각수량이 300 LPM인 경우 이 냉각수에서 1시간에 흡수하는 열량은 1시간당 LNG 몇 N·m3을 연소한 열량과 같은가? (단, 냉각수의 비열은 4.2 kJ/kg·℃, LNG 발열량은 43961.4 kJ/N·m3, 열손실은 무시한다.)
9. 덕트의 분기점에서 풍량을 조절하기 위하여 설치하는 댐퍼로 가장 적절한 것은?
10. 증기난방 방식에 대한 설명으로 틀린 것은?
11. 공기 중의 수증기가 응축하기 시작할 때의 온도 즉, 공기가 포화상태로 될 때의 온도를 무엇이라고 하는가?
12. 다음 중 일반 사무용 건물의 난방부하 계산 결과에 가장 작은 영향을 미치는 것은?
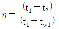
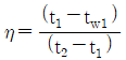
13. 에어와셔 단열 가습시 포화효율(η)은 어떻게 표시하는가? (단, 입구공기의 건구온도 t1, 출구공기의 건구온도 t2, 입구공기의 습구온도 tw1, 출구공기의 습구온도 tw2 이다.)




" 이다. 포화효율(η)은 출구공기의 상대습도(RH2)와 입구공기의 상대습도(RH1)를 이용하여 계산된다. 따라서 "
"과 "
"은 상대습도와 관련이 없으므로 포화효율을 표시할 수 없다. "
"는 포화효율과 관련이 있지만, 식이 복잡하고 계산이 어려우므로 일반적으로 사용되지 않는다.14. 정방실에 35kW의 모터에 의해 구동되는 정방기가 12대 있을 때 전력에 의한 취득열량(kW)은 얼마인가? (단, 전동기와 이것에 의해 구동되는 기계가 같은 방에 있으며, 전동기의 가동율은 0.74 이고, 전동기 효율은 0.87, 전동기 부하율은 0.92 이다.)
15. 보일러의 시운전 보고서에 관한 내용으로 가장 관련이 없는 것은?
16. 다음 용어에 대한 설명으로 틀린 것은?
17. 증기난방과 온수난방의 비교 설명으로 틀린 것은?
18. 공기조화 시스템에 사용되는 댐퍼의 특성에 대한 설명으로 틀린 것은?
19. 공기조화시 T.A.B 측정 절차 중 측정요건으로 틀린 것은?
20. 강제순환식 온수난방에서 개방형 팽창탱크를 설치하려고 할 때, 적당한 온수의 온도는?
2과목: 공조냉동설계
21. 부피가 0.4m3인 밀폐된 용기에 압력 3MPa, 온도 100℃의 이상기체가 들어있다. 기체의 정압비열 5 kJ/kg·K, 정적비열 3 kJ/kg·K 일 때 기체의 질량(kg)은 얼마인가?
22. 온도 100℃, 압력 200kPa의 이상기체 0.4kg이 가역단열과정으로 압력이 100kPa로 변화하였다면, 기체가 한 일(kJ)은 얼마인가? (단, 기체 비열비 1.4, 정적비열 0.7 kJ/kg·K 이다.)
23. 70kPa에서 어떤 기체의 체적이 12m3이었다. 이 기체를 800kPa 까지 폴리트로픽 과정으로 압축했을 때 체적이 2m3으로 변화했다면, 이 기체의 폴리트로픽 지수는 약 얼마인가?
24. 공기 정압비열(CP, kJ/kg·℃)이 다음과 같을 때 공기 5kg을 0℃에서 100℃까지 일정한 압력하에서 가열하는데 필요한 열량(kJ)은 약 얼마인가? (단, 다음 식에서 t는 섭씨온도를 나타낸다.)
25. 흡수식 냉동기의 냉매의 순환 과정으로 옳은 것은?
26. 이상기체 1kg이 초기에 압력 2kPa, 부피 0.1m3를 차지하고 있다. 가역등온과정에 따라 부피가 0.3m3로 변화했을 때 기체가 한 일(J)은 얼마인가?
27. 증기터빈에서 질량유량이 1.5kg/s 이고, 열손실율이 8.5kW이다. 터빈으로 출입하는 수증기에 대하여 그림에 표시한 바와 같은 데이터가 주어진다면 터빈의 출력(kW)은 약 얼마인가?
28. 냉동사이클에서 응축온도 47℃, 증발온도 –10℃이면 이론적인 최대 성적계수는 얼마인가?
29. 압축기의 체적효율에 대한 설명으로 옳은 것은?
30. 냉동장치에서 플래쉬 가스의 발생원인으로 틀린 것은?
31. 프레온 냉동장치에서 가용전에 대한 설명으로 틀린 것은?
32. 흡수식 냉동기에 사용되는 흡수제의 구비조건으로 틀린 것은?
33. 클리어런스 포켓이 설치된 압축기에서 클리어런스가 커질 경우에 대한 설명으로 틀린 것은?
34. 이상기체 1kg을 일정 체적 하에 20℃로부터 100℃로 가열하는데 836kJ의 열량이 소요되었다면 정압비열(kJ/kg·K)은 약 얼마인가? (단, 해당가스의 분자량은 2이다.)
35. 20℃의 물로부터 0℃의 얼음을 매 시간당 90kg을 만드는 냉동기의 냉동능력(kW)은 얼마인가? (단, 물의 비열 4.2kJ/kg·K, 물의 응고 잠열 335kJ/kg이다.)
36. 2차유체로 사용되는 브라인의 구비 조건으로 틀린 것은?
37. 카르노 사이클로 작동되는 기관의 실린더 내에서 1kg의 공기가 온도 120℃에서 열량 40kJ를 받아 등온팽창 한다면 엔트로피의 변화(kJ/kg·K)는 약 얼마인가?
38. 표준냉동사이클의 단열 교축과정에서 입구 상태와 출구 상태의 엔탈피는 어떻게 되는가?
39. 온도식 자동팽창밸브에 대한 설명으로 틀린 것은?
40. 다음 중 검사질량의 가역 열전달 과정에 관한 설명으로 옳은 것은?
와 같다.
보다 크다.
와 같다.
보다 크다.
와 같다.3과목: 시운전 및 안전관리
41. 고압가스 안전관리법령에 따라 ( ) 안의 내용으로 옳은 것은?
42. 기계설비법령에 따라 기계설비 발전 기본계획은 몇 년마다 수립·시행하여야 하는가?
43. 기계설비법령에 따라 기계설비 유지관리교육에 관한 업무를 위탁받아 시행하는 기관은?
44. 고압가스 안전관리법령에서 규정하는 냉동기 제조 등록을 해야 하는 냉동기의 기준은 얼마인가?
45. 다음 중 고압가스 안전관리법령에 따라 500만원 이하의 벌금 기준에 해당하는 경우는?
46. 전류의 측정 범위를 확대하기 위하여 사용되는 것은?
47. 절연저항 측정 시 가장 적당한 방법은?
48. 저항 100Ω의 전열기에 5A의 전류를 흘렀을 때 소비되는 전력은 몇 W 인가?
49. 유도전동기에서 슬립이 “0”이라고 하는 것은?
50. 논리식 중 동일한 값을 나타내지 않는 것은?




" 이 정답이 아닌 이유는, 다른 보기들과 달리 모든 변수가 참일 때 결과가 거짓이기 때문이다. 즉, A와 B가 모두 참이어도 C가 거짓이면 전체 식의 결과는 거짓이 된다. 이러한 논리식을 "반대로"라고 부르며, 다른 보기들은 모든 변수가 참일 때 결과가 참이거나 거짓이므로 동일한 값을 나타내지만, "
"는 다른 보기들과는 다른 값을 나타낸다.51. it = Im sinwt 인 정현파 교류가 있다. 이 전류보다 90° 앞선 전류를 표시하는 식은?
52. i = Im1 sinwt + Im2 sin(2wt+θ)의 실효값은?




"와 같다.53. 그림과 같은 브리지 정류회로는 어느 점에 교류입력을 연결하여야 하는가?
54. 추종제어에 속하지 않는 제어량은?
55. 직류·교류 양용에 만능으로 사용할 수 있는 전동기는?
56. 배율기의 저항이 50kΩ, 전압계의 내부 저항이 25kΩ이다. 전압계가 100v를 지시하였을 때, 측정한 전압(V)은?
57. 아래 그림의 논리회로와 같은 진리값을 NAND소자만으로 구성하여 나타내려면 NAND소자는 최소 몇 개가 필요한가?
58. 궤환제어계에 속하지 않는 신호로서 외부에서 제어량이 그 값에 맞도록 제어계에 주어지는 신호를 무엇이라 하는가?
59. 그림과 같은 전자릴레이회로는 어떤 게이트 회로인가?
60. 제어량에 따른 분류 중 프로세스 제어에 속하지 않는 것은?
4과목: 유지보수 공사관리
61. 급수배관 시공 시 수격작용의 방지 대책으로 틀린 것은?
62. 다음 중 사용압력이 가장 높은 동관은?
63. 공조설비 중 덕트설계시 주의사항으로 틀린 것은?
64. 가스배관 시공에 대한 설명으로 틀린 것은?
65. 증기배관 중 냉각 레그(cooling leg)에 관한 내용으로 옳은 것은?
66. 보온재의 구비조건으로 틀린 것은?
67. 신축 이음쇠의 종류에 해당하지 않는 것은?
68. 고압 증기관에서 권장하는 유속기준으로 가장 적합한 것은?
69. 증기난방의 환수방법 중 증기의 순환이 가장 빠르며 방열기의 설치위치에 제한을 받지 않고 대규모 난방에 주로 채택되는 방식은?
70. 온수난방 배관 시 유의사항으로 틀린 것은?
71. 강관에서 호칭관경의 연결로 틀린 것은?




"입니다.
"은 틀린 것입니다.72. 펌프주위 배관에 관한 설명으로 옳은 것은?(문제 오류로 가답안 발표시 3번으로 발표되었지만 확정답안 발표시 2, 3번 정답 처리 되었습니다. 여기서는 가답안인 3번을 누르면 정답 처리 됩니다.)
73. 중·고압 가스배관의 유량(Q)을 구하는 계산식으로 옳은 것은? (단, P1 : 처음압력, P2 : 최종압력, d : 관 내경, l : 관 길이, s : 가스비중, K : 유량계수 이다.)




"이다. 이유는 유량(Q)은 압력차(P1-P2)와 관 내경(d), 관 길이(l), 가스비중(s), 유량계수(K)에 비례하기 때문이다. 따라서, 유량(Q)을 구하는 계산식은 Q=Kd2l(P1-P2)s이다.74. 보온재의 열전도율이 작아지는 조건으로 틀린 것은?
75. 다음 중 증기사용 간접가열식 온수공급 탱크의 가열관으로 가장 적절한 관은?
76. 펌프의 양수량이 60m3/min이고 전양정이 20m일 때, 벌류트 펌프로 구동할 경우 필요한 동력(kW)은 얼마인가? (단, 물의 비중량은 9800 N/m3이고, 펌프의 효율은 60%로 한다.)
77. 다음 중 주철관 이음에 해당되는 것은?
78. 전기가 정전되어도 계속하여 급수를 할 수 있으며 급수오염 가능성이 적은 급수방식은?
79. 도시가스의 공급설비 중 가스 홀더의 종류가 아닌 것은?
80. 강관의 두께를 선정할 때 기준이 되는 것은?
유효온도(ET)는 인체가 느끼는 온도를 나타내는 지표로, 온도와 상대습도, 바람의 속도 등을 고려하여 계산됩니다. 복사의 영향은 고려하지 않습니다.
수정유효온도(CET)는 유효온도(ET)에서 복사의 영향을 고려하여 계산한 지표입니다.
작용온도(OT)는 인체의 신체적 활동 수준에 따라 변화하는 온도를 나타내는 지표입니다. 복사의 영향은 고려하지 않습니다.
따라서, 복사의 영향을 고려하지 않는 온열환경지표는 유효온도(ET)입니다.