1과목: 수처리공정
1. 수처리제에 관한 설명으로 옳은 것을 모두 고른 것은?
2. 응집제의 저장에 관한 설명으로 ( )에 들어갈 내용을 순서대로 나열한 것은?
3. 플록형성지에 관한 설명으로 옳지 않은 것은?
4. 계획정수량이 180,000 m3/day인 정수장에서 여과속도를 150 m/day로 할 경우 필요한 여과지의 수는? (단, 1지의 여과면적은 100 m2로 하고 예비지 설치는 고려하지 않는다.)
5. 급속여과지에서 여재 입경을 작게 할수록 나타나는 특징에 관한 설명으로 옳은 것은?
6. 여과사의 균등계수가 1에 가까울 경우에 관한 설명으로 옳은 것은?
7. 랑게리아지수(LI)를 증가시킬 수 있는 방법으로 옳지 않은 것은?
8. 염소소독에 관한 설명으로 옳지 않은 것은?
9. 전염소처리 및 중간염소처리의 목적에 관한 설명으로 옳은 것을 모두 고른 것은?
10. 염소제에 관한 설명으로 옳은 것을 모두 고른 것은?
11. 액화염소의 주입설비에 관한 설명으로 옳지 않은 것은?
12. 차아염소산나트륨의 저장설비가 갖추어야 할 조건으로 옳지 않은 것은?
13. 염소누출에 대비한 제해설비에 관한 설명으로 옳은 것은?
14. 슬러지의 탈수성에 관한 설명으로 옳은 것은?
15. 함수율 97 %인 슬러지 210 m3을 탈수하여 함수율을 79 %로 하였을 때, 탈수케이크의 부피(m3)는? (단, 슬러지의 비중은 1로 한다.)
16. 수돗물에서 흑수 발생에 관한 설명으로 ( )에 들어갈 내용을 순서대로 나열한 것은?
17. 입상활성탄 처리공정에 관한 설명으로 옳지 않은 것은?
18. 고도산화법(AOP)에서 오존과 함께 사용할 수 있는 약품이나 방법으로 옳은 것은?
19. 오존접촉지에 관한 설명으로 옳지 않은 것은?
20. 수도용 막의 여과법과 제거가능 물질 간의 연결로 옳지 않은 것은?
2과목: 수질분석 및 관리
21. 먹는물수질공정시험기준상 시험용 시료 중 폴리에틸렌 병에 채취해야 하는 항목은?
22. 먹는물수질공정시험기준상 미생물 시험방법과 사용되는 배지의 종류를 연결한 것으로 옳지 않은 것은?
23. 먹는물수질공정시험기준상 pH 범위로 옳지 않은 것은?
24. 먹는물수질공정시험기준상 증발잔류물 시험방법에 관한 설명으로 옳지 않은 것은?
25. 먹는물수질공정시험기준상 시료의 보존방법 중 4 ℃ 냉암소에서 보관하였을 때 최대 보존기간이 가장 긴 항목은?
26. 먹는물의 병원성 생물체 존재를 확인하기 위한 지표미생물의 선정기준에 관한 설명으로 옳지 않은 것은?
27. 수질오염공정시험기준상 총 유기탄소-고온연소산화법에 관한 설명으로 옳은 것을 모두 고른 것은?
28. 먹는물 수질감시항목 운영 등에 관한 고시상 정수에서의 수질 검사주기가 가장 짧은 항목은?
29. 먹는물 수질기준 및 검사 등에 관한 규칙상 먹는물 수질기준 중 건강상 유해영향 무기물질에 관한 기준이 옳지 않은 것은?
30. 물환경보전법령상 수질오염경보 중 상수원 구간의 조류경보 단계 중 “경계” 단계의 발령기준은?
31. 먹는물관리법령상 수질개선부담금의 용도에 해당하지 않는 것은?
32. 먹는물 수질기준 및 검사 등에 관한 규칙상 소독제 및 소독부산물질에 관한 기준(mg/L)의 값이 낮은 것부터 높은 것 순으로 바르게 나열된 것은?
33. 우리나라 정수처리기준의 특징에 해당하지 않는 것은?
34. 수도법령상 50,000 m3 이상 100,000 m3 미만 시설규모(일 기준)의 일반수도사업자가 배치해야 할 정수시설운영관리사 배치기준은?
35. 상수도 정수시설의 배오존처리 등에 관한 설명으로 옳지 않은 것은?
36. 불활성화비 계산방법 및 정수처리 인증 등에 관한 규정상 정수시설의 여과방식 중 소독공정에서 요구되는 바이러스의 불활성화율이 큰 순서대로 바르게 나열된 것은?
37. 정수장 일일유량이 45,000 m3/day인 정수시설에서 배수구역 수도꼭지수의 잔류염소를 0.5 mg/L로 유지하고자 한다. 다음 조건에서 정수장에 일일 투입되는 염소량(kg/day)은?
38. 막여과 정수시설의 설치기준상 수도용 막모듈의 성능기준 중 여과성능 0.05 m3/m2 ㆍ 일 이상 및 염화나트륨 제거성능 93 % 이상에 해당되는 막모듈은?
39. 먹는물수질공정시험기준상 이온크로마토그래피 방법으로 측정할 수 있는 수질 항목은?
40. 상수도 정수시설의 활성탄흡착시설에서 입상활성탄처리의 장점에 해당하는 것은?
3과목: 설비운영(기계·장치 또는 계측기 등)
41. 정수장 탈수설비에 관한 내용으로 옳은 것은?
42. 수도시설에 사용되는 밸브 중에서 구조가 간단하며 개폐토크가 작고 유량특성이 우수하여 제어용으로 가장 널리 사용되는 밸브는?
43. 배출수 및 슬러지 처리 시설과 해당 운영 설비의 연결이 옳지 않은 것은?
44. 펌프의 유지관리를 위한 점검항목과 그 판정기준에 관한 내용으로 옳지 않은 것은?
45. 다음에서 설명하고 있는 침전설비는?
46. 정수장에 사용되는 약품주입설비의 운영에 관한 내용으로 옳은 것을 모두 고른 것은?
47. 변압기의 병렬운전 조건으로 옳지 않은 것은?
48. 상수도설계기준상 비상용 전원설비에 관한 설명이다. ( )에 들어갈 내용으로 옳은 것은?
49. 상수도설계기준상 상수도시설의 계측제어설비가 이상적인 제 기능을 충분히 발휘하기 위하여 기준에서 정하고 있는 현장 설치시 고려해야 할 주요사항이 아닌 것은?
50. 직류전동기 중에서 복권전동기의 특성으로 옳지 않은 것은?
51. 역률 80 %(지상)인 100 kW의 부하를 역률 95 %로 개선하기 위해 필요한 콘덴서의 용량(kVA)은 약 얼마인가? (단, 소수점 이하는 버린다.)
52. 수ㆍ변전설비용 기기 및 계기용 변성기와 주요기능의 연결이 옳지 않은 것은?
53. 상수도설계기준상 전기설비에 관한 설명으로 옳은 것은?
54. 산업안전보건법령상 안전보건표지의 종류와 형태에서 “위험장소 경고”에 해당하는 것은?




55. 산업안전보건법에서 정하고 있는 산업재해 예방을 위해 설치ㆍ운영하는 시설이 아닌 것은?
56. 상수도설계기준상 자외선(UV) 소독작용의 주파장(nm)은?
57. 오존처리에서 유의해야 할 사항으로 옳지 않은 것은?
58. 수도용 막의 종류와 분리경의 연결이 옳지 않은 것은?
59. 상수도설계기준상 다음에서 설명하고 있는 여과방식은?
60. 급속여과지의 여과면적과 지수 및 형상에 관한 설명으로 옳지 않은 것은?
4과목: 정수시설 수리학
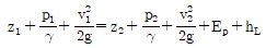
61. [MLT]계로 나타낸 물리량의 차원표시로 옳지 않은 것은? (단, [M]은 질량, [L]은 길이, [T]는 시간을 표시하는 차원이다.)
62. 다음 중 무차원에 해당하는 것을 모두 고른 것은?
63. 뉴턴(Newton)의 점성법칙에 관한 설명으로 옳지 않은 것은?
64. 베르누이 방정식에 관한 설명으로 옳지 않은 것은?




65. 모세관 현상에 관한 설명으로 옳지 않은 것은?
66. 직경 1 cm의 원형관에 10 °C의 물이 흐를 때 한계 레이놀즈수(Re)가 2,320이면 한계유속(cm/sec)는 약 얼마인가? (단, 10 °C일 때 밀도 =0.9997 g/cm3, 점성 계수 =0.0131 g/cmㆍsec이다.)
67. 다음 그림의 A수조에서 손실수두가 3V2일 때 관을 통한 유량(m3/sec)은 약 얼마인가? (단, 접근유속은 무시하며, 수면은 변하지 않는다.)
68. 삼각위어(weir)에 월류수심을 측정할 때 2 %의 오차가 있었다면 유량의 오차(%)는?
69. 다음 사다리꼴 인공수로의 단면적(A)과 경심(R)은 약 얼마인가?
70. Darcy-Weisbach의 마찰손실 공식으로부터 Chezy의 평균유속을 정의한 것으로 옳은 것은? (단, D는 원형관로의 직경, R은 경심, I는 동수경사이다.)




71. 수면차가 3 m인 2개의 수조를 연결하는 길이 1,500 m의 주철관에 유량 1.1 m3/sec를 송수하려면 관경(m)은 약 얼마인가? (단, Manning 공식을 이용하고, 마찰 이외의 손실은 무시하며 조도계수 n = 0.014이다.)
72. A정수장 모래여과지의 최소 여사층 높이는 60 cm 이상이며, 충진 여사량의 높이는 0 cm일 경우, 역류 세정 시 여사층 높이가 1,040 mm로 상승하면 여사층의 팽창률(%)은?
73. 급속여과지의 여과유량 조절 방법 중 정속여과방식에 해당하지 않는 것은?
74. 정수장 횡류식 침전지의 침전제거율을 향상시키기 위한 방법으로 옳지 않은 것은?
75. 정수장 플록형성지에 관한 설명으로 옳지 않은 것은?
76. 동력 20,000 kW, 효율 88 %인 펌프를 이용하여 150 m 위의 수조로 물을 양수할 때, 유량(m3/sec)은 약 얼마인가? (단, 손실수두는 10 m이다.)
77. A관로의 관경 200 mm, 길이 100 m 주철관으로 유량 0.1 m3/sec의 물을 40 m 높이까지 양수할 때 펌프의 동력(HP)은 약 얼마인가? (단, 펌프효율 100 %, 마찰손실 계수 0.03, 유출 및 유입손실계수는 각각 1.0과 0.5이다.)
78. 펌프의 공동현상(cavitation)을 방지하기 위한 방법으로 옳은 것은?
79. A저수지의 총낙차가 75 m이고 발전유량이 8 m3/sec인 경우, 발전기의 이론출력은 얼마인가? (단, 총손실수두는 1.5 m이다.)
80. A정수장의 응집침전처리 공정에서 속도경사 G는 300 s-1, 조의 용적 100 m3일 때 교반기의 축동력(kW)은 약 얼마인가? (단, 점성계수는 1.31×10-2 g/cm·sec, 효율은 60 %이다.)