1과목: 전기전자공학(대략구분)
1. 회로의 전원 Vs가 최대전력을 전달하기 위한 부하 저항 RL의 값은?
2. 이상적인 다이오드를 사용하여 그림에 나타낸 기능을 수행할 수 있는 클램프회로를 만들 수 있는 것은?(단, Vi= 입력파형, Vo = 출력파형이다.)




"가 정답이다.3. 평활회로에서 리플율을 줄이는 방법은?
4. 슈미트 트리거(schmitt trigger)회로는?
5. PLL회로에서 전압의 변화를 주파수로 변화하는 회로를 무엇이라 하는가?
6. 실리콘 제어 정류기(SCR)의 게이트는 어떤 형의 반도체인가?
7. 전류와 전압이 비례 관계를 갖는 법칙은?
8. 쌍안정 멀티바이브레이터에 관한 설명으로 틀린 것은?
9. 다음 중 정현파 발진기가 아닌 것은?
10. 다음 회로의 설명 중 틀린 것은?
11. 단측파대(single side band) 통신에 사용되는 변조 회로는?
12. 전계효과트랜지스터(FET)에 대한 설명으로 틀린 것은?
13. 베이스 접지 시 전류증폭률이 0.89인 트랜지스터를 이미터 접지회로에 사용할 때 전류증폭률은?
14. 연산증폭기의 응용회로가 아닌 것은?
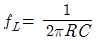
15. 그림(a)의 회로에서 출력전압 V2와 입력전압 V1과의 비와 주파수의 관계를 조사하면 그림(b)와 같을 경우에 저역차단주파수 fL은?




"이다.2과목: 전자계산기일반(대략구분)
16. 전압 증폭도가 30[dB]와 50[dB]인 증폭기를 직렬로 연결시켰을 때 종합이득은?
17. 어셈블리어(Assembly Language)의 설명 중 틀린 것은?
18. 16진수 1B7을 10진수로 변환하면?
19. 논리식
와 같은 기능을 갖는 논리식은?
20. 반도체 기반 저장장치가 아닌 것은?
21. 2진수 10111을 그레이코드(Gray Code)로 변환하면 그 결과는?
22. R/W, Reset, INT와 같은 신호는 마이크로컴퓨터의 어느 부분에 내장되어있는가?
23. 데이터를 스택에 일시 저장하거나 스택으로부터 데이터를 불러내는 명령은?
24. ALU(Arithmetic and Logical Unit)의 기능은?
25. 여러 하드디스크 드라이브를 하나의 저장장치처럼 사용가능하게 하는 기술은?
26. 기억장치의 계층 구조에서 캐시 메모리(cache memory)가 위치하는 곳은?
27. C언어에서 사용되는 관계 연산자가 아닌 것은?
28. 2n 개의 입력 중에 선택 입력 n 개를 이용하여 하나의 정보를 출력하는 조합회로는?
29. 배선 알고리즘에서 하나의 기판상에서 종ㆍ횡의 버스를 결선하는 방법을 무엇이라 하는가?
30. PCB의 종류가 아닌 것은?
3과목: 전자제도(CAD) 이론(대략구분)
31. 다음 중 도면을 그리는 척도의 구분에 대한 설명으로 옳은 것은?
32. PCB 사양 및 규격에 해당되지 않는 것은?
33. 다음 그림과 같이 전자 제품의 전체적인 동작이나 기능을 간단한 기호나 직사각형과 문자로 그린 도면의 명칭은?
34. PCB 설계 시 보드 규격이 3200x2500[mil]일 때, 이를 [mm]로 환산하면?
35. 회로설계 자동화의 순서로 옳게 나열된 것은?
36. 다음은 CAD 시스템에 관한 안전 및 유의 사항이다. 잘못된 것은?
37. 인쇄회로기판 상의 패턴의 전기적 특성 요소 중 임피던스에 대한 설명으로 옳지 않은 것은?
38. 표준 도형을 등록해 놓고 변동 부분의 수치를 입력하면 도형이 수치에 맞도록 변하게 하는 것은?
39. 컴퓨터 시스템과 주변장치 사이에 2진 직렬 데이터 통신을 행하기 위한 인터페이스는?
40. 다음 중 설계 진행 과정을 눈으로 바로 확인 가능한 장치는?
41. 허용오차의 문자기호에 대한 설명 중 옳지 않은 것은?
42. 유리섬유에 열경화성 수지를 침투시켜 반경화 상태로 만든 것으로 MLB에서 동박과 내층기판을 접착하는 원자재로 사용되는 것은?
43. 인쇄회로기판(PCB)의 제조 공정 중 비스루홀 도금, 인쇄 배선판을 사용한 제조 공정 순서가 옳은 것은?
44. 새시에 부품을 배치 할 때 고려사항 중 옳지 않은 것은?
45. 전자CAD로 회로를 작성할 경우 부품의 종류에 따라 별도의 라이브러리를 가지고 있다. 일반적으로 부품의 군을 분리할 경우 다음 중 다른 하나는?
46. PCB 도면을 그래픽 출력장치로 인쇄할 경우 프린트 기판에 천공할 hole 크기 및 수량의 정보를 나타내는 것은?
47. 도면에 치수를 기입할 경우 유의사항으로 옳지 않은 것은?
48. 세라믹 콘덴서의 표면에 105J로 표기되었을 때 정전 용량의 값은?
49. 다음 중 솔리드 모델링의 특징이라고 보기 어려운 것은?
50. 다음 그림의 명칭으로 맞는 것은?
51. 인쇄회로기판에서 패턴의 저항을 구하는 식으로 올바른 것은?(단, 패턴의 폭 W(mm), 두께 T(mm), 패턴길이 L(cm), p: 고유저항)




"이 정답인 이유는 이 식이 올바르기 때문입니다.52. 다음 중 장치ㆍ물품 등에 사용하는 그림 기호는?
53. 그림과 같이 저항 띠가 표시되어 있을 때 저항 값은?
54. 다음 중 일반적으로 전자 CAD을 이용하여 할 수 없는 기능은?
55. 기업 또는 공장에서 심의 규정하여 기업 또는 공장 내에서 적용하는 규격으로 맞는 것은?
56. 도면의 종류에 대해 설명 중 옳지 않은 것은?
57. 여러 나라의 공업규격에 대한 설명 중 옳은 것은?
58. 논리합(OR) 게이트의 기호는?




"는 "+" 기호로 표시된 OR 게이트의 기호입니다.59. 다음 그림에서 콘덴서 용량과 오차값으로 옳은 것은?
60. 다음 중 CAD 시스템의 출력장치에 해당하는 것은?